| Συνδεθείτε στην Υπηρεσία Νομοσκόπιο | | | | | Νέοι χρήστες | | Εάν είστε νέος χρήστης, θα πρέπει να δημιουργήσετε ένα ΔΩΡΕΑΝ λογαριασμό προκειμένου να φύγει το παράθυρο αυτό και να αποκτήσετε πλήρη πρόσβαση στην υπηρεσία Νομοσκόπιο. | | Δημιουργία νέου λογαριασμού | | |
Απόφαση 181053/4722/1981: Καθορισμός αμοιβών αναδόχων μελετητών εκπονήσεως μελετών δασοτεχνικής διευθετήσεως ορεινών λεκανών, χειμάρρων και των σχετικών μ' αυτήν τοπογραφικών εργασιών, (ΦΕΚ 750/Β/1981), 17-12-1981.
Ο Υπουργός Γεωργίας
Έχοντας υπόψη:
1. Τις διατάξεις του άρθρου 16 του νόμου 998/1979 περί προστασίας των δασών και των δασικών εκτάσεων της Χώρας (ΦΕΚ 289/Α/1979) και ειδικότερα του άρθρου 3 παράγραφος 2 του εκτελεστικού προεδρικού διατάγματος 437/1981 περί μελέτης και εκτελέσεως δασοτεχνικών έργων (ΦΕΚ 120/Α/1981).
2. Τις διατάξεις των άρθρων 5 (παράγραφοι 1)α και 2), 6 (παράγραφος 5), 7 του νομοθετικού διατάγματος [Ν] 3881/1958 περί έργων εγγείων βελτιώσεων (ΦΕΚ 181/Α/1958) όπως τροποποιήθηκε μεταγενέστερα.
3. Τις διατάξεις των άρθρων 222 και 224 του νομοθετικού διατάγματος [Ν] 86/1969 περί Δασικού Κώδικα (ΦΕΚ 7/Α/1969).
4. Τις διατάξεις του προεδρικού διατάγματος 696/1974 (ΦΕΚ 301/Α/1974) περί αμοιβής μηχανικών δια σύνταξιν μελετών κ.λ.π. Υδραυλικών και λοιπών έργων, καθώς και τοπογραφικών και λοιπών εργασιών.
5. Τον Κανονισμό Εκπονήσεως Μελετών δασοτεχνικής διευθετήσεως ορεινών λεκανών Χειμάρρων (ΚΕΜΧ) με: α) Τις Τεχνικές Προδιαγραφές και τα Διαγράμματα Ύλης των μελετών του αντικειμένου αυτού και β) τις Προδιαγραφές των τοπογραφικών εργασιών των σχετικών με τη διευθέτηση ορεινών ρευμάτων (αριθμός εγκριτικής απόφασης 247722/4375/1978 Υπουργείου Γεωργίας) και
6. Την 334/1981 γνωμοδότηση του Τεχνικού Συμβουλίου Δασών, ληφθείσα κατόπιν εισηγήσεως της Υπηρεσίας, σύμφωνα με τη διάταξη της παραγράφου 2 του άρθρου 3 του προεδρικού διατάγματος 437/1981 περί μελέτης και εκτελέσεως δασοτεχνικών έργων, αποφασίζουμε:
Ι. Ορίζουμε, κατά τις περιπτώσεις αναθέσεως από τη Γενική Διεύθυνση Δασών του Υπουργείου Γεωργίας και τις περιφερειακές Δασικές Αρχές, που είναι γι' αυτό εξουσιοδοτημένες, της εκπονήσεως μελετών δασοτεχνικής διευθετήσεως χειμάρρων και εκτελέσεως των σχετικών προς αυτήν τοπογραφικών εργασιών σε ιδιώτες επιστήμονες, σύμφωνα προς τις οικείες, ως άνω, τεχνικές προδιαγραφές και κατά τις διατάξεις του νόμου 716/1977 περί μητρώου μελετητών και αναθέσεως και εκπονήσεως μελετών (ΦΕΚ 295/Α/1977), να εφαρμόζονται, ως προς την αμοιβή τους οι διατάξεις του προεδρικού διατάγματος 696/1974 Βιβλίο Πρώτο περί αμοιβών κ.λ.π. με τις κάτωθι παρατηρήσεις και προσαρμογές προς τις απαιτήσεις της δασικής πράξεως και τις ως άνω υπό στοιχείο 5 του σκεπτικού Τεχνικές Προδιαγραφές του αντικειμένου αυτού:
Τμήμα Α: Γενικά
1. Οι διατάξεις των άρθρων 1 έως 3 εφαρμόζονται όπως έχουν, των έργων και εργασιών δασικής διευθετήσεως υπαγομένων, σύμφωνα με τα της παραγράφου 2 του ως άνω σκεπτικού, στην περίπτωση της παραγράφου 2)γ)α του άρθρου 1 του προεδρικού διατάγματος τούτου.
Τμήμα Β: Αμοιβές τοπογραφικών εργασιών)
2. Εφαρμόζονται οι διατάξεις των άρθρων 4 (παράγραφος 2), 6, 7, 8 και 12 όπως έχουν, πλην των τιμών του άρθρου 6, που ορίζονται στο 75% εκείνων, εφ' όσον οι αντίστοιχες δασικές οδεύσεις γίνονται ανεξάρτητες ανοικτές.
Τμήμα Δ: Αμοιβές μελετών, επιβλέψεως και παραλαβής
3. Εφαρμόζονται οι διατάξεις των άρθρων 64 (κατηγορία έργων 1) έως 79 με τις κάτωθι παρατηρήσεις και προσαρμογές προς τις απαιτήσεις των τεχνικών προδιαγραφών δασοτεχνικής διευθετήσεως χειμάρρων.
3.1. Τα έργα και εργασίες δασοτεχνικής διευθετήσεως χειμάρρων υπάγονται στην Κατηγορία 1 των υδραυλικών εγγειοβελτιωτικών έργων του άρθρου 64.
3.2. Το άρθρο 65 προσαρμόζεται ως εξής:
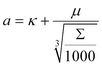
Παράγραφος 1. Η ολική αμοιβή Α (των τριών σταδίων) της μελέτης δασοτεχνικής διευθετήσεως ορεινών λεκανών χειμάρρων δηλαδή της Προκαταρκτικής Εκθέσεως, της Προμελέτης και της Οριστικής μελέτης, αποτελεί άθροισμα των επί μέρους αμοιβών ΑΤ και ΑΦ, που αναφέρονται στη μελέτη των τεχνικών έργων και των φυτοκομικών εργασιών διευθετήσεως αντίστοιχα. Οι αμοιβές αυτές υπολογίζονται σε ποσοστά αΤ και αΦ τοις εκατό των αντιστοίχων εγκεκριμένων προϋπολογισμών των τεχνικών έργων Στ και φυτοκομικών εργασιών ΣΦ δηλαδή:
Α = ΑΤ + ΑΦ = αΤΣΤ + αΦΣΦ.
Οι συντελεστές κ και μ του εφαρμοζομένου τύπου:

λαμβάνουν τις τιμές:
| • | Για τεχνικά έργα, προϋπολογισμού ΣΤ μέχρι και 100.000.000 δραχμές κ = 1,00 και μ = 39. |
| • | Για φυτοκομικές εργασίες προϋπολογισμού ΣΦ μέχρι και 100.000.000 δραχμές κ = 0,000 και μ = 40. |
| • | Για το υπέρ τα 100.000.000 δραχμών μέρος του προϋπολογισμού, τα ποσοστά αΤ και αΦ ορίζονται σταθερά και ίσα προς 1,84% για τα τεχνικά έργα διευθετήσεως και 0,863% για τη φυτοκομική διευθέτηση. |
Παράγραφος 3: Δεν έχει εφαρμογή στη δασική διευθέτηση ορεινών λεκανών χειμάρρων.
Παράγραφος 4: Σε περιπτώσεις κατά τις οποίες επαναλαμβανόμενα τεχνικά έργα της ίδιας εγκάρσιας διατομής και όμοιας μορφής, μελετώνται βάσει τύπων (της Υπηρεσίας ή του μελετητή) η αμοιβή για τη μελέτη καθενός απ' αυτούς πλην του πρώτου, μειώνεται στο 30% της αμοιβής του πρώτου.
Παράγραφος 5: Εφαρμόζεται όπως έχει:
3.3. Οι διατάξεις του άρθρου 66 εφαρμόζονται με τις κάτωθι προσαρμογές στις Τεχνικές προδιαγραφές των μελετών δασοτεχνικής διευθετήσεως χειμάρρων.
α) Η ολική αμοιβή Α του μελετητή, όπως ανωτέρω καθορίζεται, αναφέρεται στα τρία στάδια μελέτης και κατανέμεται μεταξύ τους ως εξής:
| • | για την Προκαταρκτική μελέτη αναλογεί ποσοστό 10% της Α. |
| • | για την Προμελέτη (ή Γενικό Σχέδιο) αναλογεί ποσοστό 40% της Α. |
| • | για την Οριστική μελέτη αναλογεί ποσοστό 50% της Α. |
β) Σε περίπτωση αναθέσεως της εκπονήσεως της Οριστικής μελέτης σε μελετητή διάφορο εκείνου της προσυνταχθείσης Προμελέτης, η αμοιβή του μελετητή του σταδίου αυτού της Οριστικής, ορίζεται σε ποσοστό 65% της Α, ή εκείνης που αντιστοιχεί στην Οριστική μελέτη της, κατόπιν εντολής του εργοδότη, ανατεθείσας υπολεκάνης, ή μέρους μόνον της λεκάνης του χειμάρρου ή και συγκεκριμένων έργων διευθετήσεώς της.
γ) Σε περίπτωση αναθέσεως εκπονήσεως μόνο του σταδίου της Προμελέτης, η αμοιβή του μελετητή για το στάδιο αυτό, ορίζεται σε ποσοστό 45% της Α, εάν υπάρχει προκαταρκτική μελέτη άλλου μελετητή, ή 50% εάν δεν υπάρχει τοιαύτη.
δ) Σε περίπτωση αναθέσεως της εκπονήσεως της Προμελέτης, με εντολή συμπληρώσεώς της με στοιχεία της Οριστικής μελέτης, ώστε αυτή (η Προμελέτη) να αποκτήσει πληρότητα εφαρμογής, ή αναθέσεως της εκπονήσεως της οριστικής κατευθείαν μελέτης, παραλειπομένου του σταδίου της προμελέτης, με εντολή συμπληρώσεώς της με στοιχεία του παραλειπομένου τούτου σταδίου, η αμοιβή για καθεμιά περίπτωση ορίζεται σε ποσοστό 70% της Α.
ε) Σε περίπτωση αναθέσεως της εκπονήσεως της Οριστικής κατευθείαν μελέτης, με πληρότητα εφαρμογής, χωρίς συμπλήρωσή τους με στοιχεία των παραλειπομένων σταδίων της Προκαταρκτικής μελέτης και Προμελέτης, η αμοιβή αυτής ορίζεται σε ποσοστό 55% της Α.
3.4. Εκτός από τις περιπτώσεις που αναφέρονται στην παράγραφο 2 του άρθρου 68 του προεδρικού διατάγματος στην αμοιβή της μελέτης δεν περιλαμβάνεται η αμοιβή για τις πάσης φύσεως υδρολογικές γεωλογικές πετρογραφικές και εδαφολογικές εργασίες, έρευνες και μελέτες που αφορούν στη δασική διευθέτηση του χειμάρρου, πλην εκείνων που καθορίζονται από τις σχετικές απαιτήσεις των οικείων τεχνικών προδιαγραφών. Επίσης, η διάταξη της περίπτωσης (ι)δ) της ίδιας παραγράφου, ισχύει και προκειμένου και περί δαπάνης για τη λήψη και εμφάνιση φωτογραφιών και την κατάρτιση από το μελετητή του λευκώματος, που απαιτείται από τις τεχνικές προδιαγραφές.
3.5. Οι διατάξεις των άρθρων 67, 69 έως και 79 εφαρμόζονται όπως έχουν.
Τμήμα ΣΤ: Διατάξεις γενικής εφαρμογής
4. Οι διατάξεις των άρθρων 100 και 102 εφαρμόζονται επίσης και στις μελέτες δασοτεχνικής διευθετήσεως χειμάρρων όπως έχουν.
5. Αντί του άρθρου 104 εφαρμόζονται οι διατάξεις του νόμου 716/1977 περί μητρώου μελετητών και αναθέσεως και εκπονήσεως μελετών (ΦΕΚ 295/Α/1977).
ΙΙ. Στις ανωτέρω καθοριζόμενες αμοιβές πλην της περιπτώσεως του άρθρου 102, περιλαμβάνονται και οι ημερήσιες αποζημιώσεις και τα οδοιπορικά έξοδα για τις εκτός έδρας του μελετητή απαιτούμενες μετακινήσεις για τη λήψη των στοιχείων υπαίθρου που είναι αναγκαία για την εκπόνηση της μελέτης.
ΙΙΙ. Η αμοιβή για κάθε εργασία μελέτης δασοτεχνικής διευθετήσεως χειμάρρων που, χωρίς να περιλαμβάνονται στις διατάξεις της αποφάσεώς μας αυτής, ήθελε τυχόν εφαρμοσθεί στη δασική πράξη, ρυθμίζεται κατά τα διαλαμβανόμενα γενικότερα στο προεδρικό διάταγμα 696/1974.
IV. Τα υπολογιζόμενα ως άνω ελάχιστα όρια αμοιβών μειώνονται προκειμένου περί μελετών έργων του Δημοσίου και Νομικών Προσώπων Δημοσίου Δικαίου, ως εν προκειμένω, σύμφωνα με τη διάταξη της παραγράφου 3 του νομοθετικού διατάγματος 2726/1953 περί τροποποιήσεως του άρθρου 59 του από 17-07-1923 νομοθετικού διατάγματος περί σχεδίων πόλεων, κωμών και συνοικισμών κ.λ.π. (ΦΕΚ 325/Α/1953) και με τις βάσει τούτου εκδοθείσες Γ/20/1/161/1975 (ΦΕΚ 1253/Β/1975) και Α3E/03/267/1974 (ΦΕΚ 1155/Β/1974) αποφάσεις των Υπουργών Οικονομικών και Δημοσίων Έργων.
V. Κάθε σχετική προηγούμενη καταργείται.
Η απόφαση αυτή να δημοσιευθεί στην Εφημερίδα της Κυβερνήσεως.
Αθήναι, 07-12-1981
Ο Υπουργός
ΣΗΜΕΙΩΣΗ: Η παρούσα απόφαση καταργήθηκε με την υπ' αριθμόν 107128/984/2003 απόφαση (ΦΕΚ 1181/Β/2003).
|