| Συνδεθείτε στην Υπηρεσία Νομοσκόπιο | | | | | Νέοι χρήστες | | Εάν είστε νέος χρήστης, θα πρέπει να δημιουργήσετε ένα ΔΩΡΕΑΝ λογαριασμό προκειμένου να φύγει το παράθυρο αυτό και να αποκτήσετε πλήρη πρόσβαση στην υπηρεσία Νομοσκόπιο. | | Δημιουργία νέου λογαριασμού | | |
Υπολογισμός αμοιβών μελετών και επιβλέψεων κτιριακών έργων και εγκαταστάσεων για την έκδοση οικοδομικών αδειών, σύμφωνα με το προεδρικό διάταγμα 696/1974, όπως τροποποιήθηκε με το προεδρικό διάταγμα 515/1989.
Α. Μελέτες
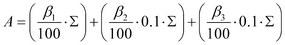
Η αμοιβή Α κάθε μιας από τις συντασσόμενες μελέτες ενός κτιριακού έργου προκύπτει από τον τύπο:

όπου:
Σ: ο προϋπολογισμός της αντίστοιχης μελέτης.
β1, β2, β3: συντελεστές που υπολογίζονται με βάση τον γενικό τύπο:
ΣΗΜΕΙΩΣΗ: Για τον υπολογισμό των αμοιβών μελετών ιδιωτικών έργων για την έκδοση οικοδομικής άδειας οι συντελεστές λ και λ' της παραγράφου 2 του άρθρου 2 του προεδρικού διατάγματος 696/1974 όπως τροποποιήθηκε και ισχύει λαμβάνονται ίσοι και άρα λ' / λ=1.
|
Ειδικότερα εφαρμόζονται:
Αρχιτεκτονική μελέτη
1. Για τον υπολογισμό του συντελεστή β1:
(Άρθρο 83 παράγραφος 1 του προεδρικού διατάγματος 696/1974 όπως τροποποιήθηκε και ισχύει)
Κατηγορία έργου
|
Κ
|
μ
|
Ι
|
0.80
|
29.00
|
ΙΙ
|
1.00
|
36.00
|
ΙΙΙ
|
1.80
|
48.00
|
IV
|
2.40
|
43.00
|
V
|
2.90
|
63.00
|
2. Για τον υπολογισμό του συντελεστή β2:
(ποσοστό αμοιβής υπολογισμού χρονικών απαιτήσεων του έργου άρθρου 53 του προεδρικού διατάγματος 515/1989).
Κ = 2.30, μ = 45.00
3. Για τον υπολογισμό του συντελεστή β3:
(ποσοστό αμοιβής σύνταξης τεχνικής περιγραφής και προϋπολογισμού άρθρου 100 του προεδρικού διατάγματος 696/1974 όπως ισχύει).
Κ = 0.5, μ = 10.00
4. Σ: ο ολικός προϋπολογισμός του έργου όπως προκύπτει σύμφωνα με την ανάπτυξη του Κεφαλαίου 1. Ειδικά για τον υπολογισμό του β2 αντί Σ λαμβάνονται 0.1 Σ.
5. λ: ο συντελεστής του άρθρου 4 παράγραφος 2 του προεδρικού διατάγματος 696/1974 στη χρονική περίοδο σύνταξης του προϋπολογισμού της μελέτης. Για την έκδοση οικοδομικής άδειας λαμβάνεται ο χρόνος υποβολής του φακέλλου σε αρμόδια υπηρεσία. (Κατά το δεύτερο εξάμηνο του 89 λ = 18)
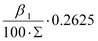
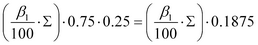
6. Στις περιπτώσεις προσθηκών, επεκτάσεων ή επισκευών σε υφιστάμενο κτιριακό έργο, ο συντελεστής β1 πολλαπλασιάζεται επί 1,3. Στις περιπτώσεις διαρρυθμίσεων ή μεταρρυθμίσεων υφιστάμενου κτιριακού έργου ο συντελεστής β1 πολλαπλασιάζεται επί 1,5 (Άρθρο 88 του προεδρικού διατάγματος 696/1974).
7. Στις περιπτώσεις αυτές, όπως και σε κάθε άλλη σχετική, η αμοιβή αποτύπωσης υπάρχοντος κτιρίου, που δεν είναι χαρακτηρισμένο ως μνημείο ή διατηρητέο, είναι ίση με το 75% της αμοιβής προμελέτης που αντιστοιχεί στο υπόψη κτίριο, θεωρούμενο ως νέο, ήτοι:

(0,75 x 0,35 + 0,2625) (άρθρο 88, παράγραφος 2 του προεδρικού διατάγματος 696/1974).
8. Στην περίπτωση μελέτης κτιρίου που βρίσκεται εκτός της πόλης της έδρας του μελετητή και απέχει πλέον των 40 km από το κέντρο της πόλης αυτής η αμοιβή προσαυξάνεται κατά:

(Άρθρο 85 παράγραφος 1 του προεδρικού διατάγματος 696/1974 όπως ισχύει)
Μελέτη φέρουσας κατασκευής
1. Για τον υπολογισμό του συντελεστή β1:
Κατηγορία έργου
|
Κ
|
μ
|
Ι
|
2.00
|
26.00
|
ΙΙ
|
2.40
|
28.00
|
ΙΙΙ
|
3.00
|
37.00
|
IV
|
3.70
|
35.00
|
(Άρθρο 83 παράγραφος 1)β του προεδρικού διατάγματος 696/1974 όπως ισχύει)
Σε περιπτώσεις έργων που απαιτούν υπολογισμούς σε δυναμικές ενέργειες, ο συντελεστής β1 πολλαπλασιάζεται επί 1,8. Στις ίδιες περιπτώσεις για έργα κατηγορίας Ι και ΙΙ εφαρμόζονται οι συντελεστές Κ και μ της Κατηγορίας ΙΙΙ.
(Άρθρο 83 παράγραφος 7 του προεδρικού διατάγματος 696/1974 όπως ισχύει σε συνδυασμό με το προεδρικό διάταγμα 152/1987 τροποποίησης διατάξεων του προεδρικού διατάγματος 696/1974).
2. Για τον υπολογισμό του συντελεστή β2:
(ποσοστό αμοιβής υπολογισμού χρονικών απαιτήσεων)
Κ = 2.30 μ = 45
(Άρθρο 53 του προεδρικού διατάγματος 696/1974 όπως ισχύει)
3. Για τον υπολογισμό του συντελεστή β3:
(ποσοστό αμοιβής σύνταξης τεχνικής περιγραφής και προϋπολογισμού)
Κ = 0.5 μ = 10.0
(Άρθρο 100 του προεδρικού διατάγματος 696/1974 όπως ισχύει)
4. Σ = Ο προϋπολογισμός των έργων της φέρουσας κατασκευής, αν ο προϋπολογισμός του έργου γίνεται με αναλυτική προμέτρηση και τιμές μονάδας εργασιών του αναλυτικού τιμολογίου, είτε ποσοστό 30% του ολικού προϋπολογισμού του έργου αν αυτός εξάγεται σύμφωνα με τις τιμές μονάδας επιφάνειας που προκύπτουν από την εφαρμογή της Απόφασης. (παράγραφος 9)α, του άρθρου 1 της απόφασης 81304/1989)
Ειδικά για τον υπολογισμό του β2 αντί του προϋπολογισμού Σ της φέρουσας κατασκευής λαμβάνεται το ένα δέκατο αυτού ήτοι 0.1.Σ.
(Άρθρο 53 του προεδρικού διατάγματος 515/1989)
5. λ = Ο συντελεστής του άρθρου 4 παράγραφος 2 του προεδρικού διατάγματος 696/1974 στη χρονική περίοδο σύνταξης του προϋπολογισμού της μελέτης.
6. Στις περιπτώσεις προσθηκών, επεκτάσεων ή επισκευών σε υφιστάμενο κτιριακό έργο, ο συντελεστής β1 πολλαπλασιάζεται επί 1,3.
Στις περιπτώσεις διαρρυθμίσεων ή μεταρρυθμίσεων υφιστάμενου κτιριακού έργου ο συντελεστής β1 πολλαπλασιάζεται επί 1,5.
(Άρθρο 88 του προεδρικού διατάγματος 696/1974 όπως ισχύει)
7. Στις περιπτώσεις αυτές, όπως και σε κάθε άλλη, σχετική, η αμοιβή αποτύπωσης του φέροντος οργανισμού του παρόντος κτιρίου, που δεν είναι χαρακτηρισμένο ως μνημείο ή διατηρητέο, είναι ίση με το 75% της αμοιβής προμελέτης που αντιστοιχεί στο υπόψη κτίριο, θεωρούμενο ως νέο, ήτοι:

8. Στην περίπτωση μελέτης κτιρίου που βρίσκεται εκτός της πόλης της έδρας του μελετητή και απέχει πλέον των 40 km από το κέντρο της πόλης αυτής η αμοιβή προσαυξάνεται κατά:

(Άρθρο 85 του προεδρικού διατάγματος 696/1974 όπως ισχύει)
Μελέτη θερμομόνωσης
Μελέτη παθητικής πυροπροστασίας
Μελέτες εγκαταστάσεων
1. Οι αμοιβές υπολογίζονται με την ίδια μέθοδο που περιγράφτηκε πιο πάνω για τον υπολογισμό των αμοιβών της Αρχιτεκτονικής μελέτης και της μελέτης φέρουσας κατασκευής.
2. Επισημαίνεται ότι για τον υπολογισμό του συντελεστή β1
Κατηγορία έργου
|
Κ
|
μ
|
ΙΙ
|
2.00
|
35.00
|
ΙΙΙ
|
2.30
|
45.00
|
IV
|
2.50
|
45.00
|
(Άρθρο 42 του προεδρικού διατάγματος 515/1989)
3. Στις μελέτες παθητικής πυροπροστασίας οι συντελεστές β2 και β3 λαμβάνονται ίσοι με μηδέν.
4. Υπενθυμίζεται ότι τα ποσοστά με τα οποία καθορίζεται ο προϋπολογισμός των μελετών εγκαταστάσεων υπολογίζονται στην αντίστοιχη δαπάνη των τμημάτων του κτιρίου που εξυπηρετούν οι εγκαταστάσεις.
Γενική Παρατήρηση: Για τον υπολογισμό της αμοιβής για εκτός έδρας του μελετητή εκπόνηση περισσότερων της μιας μελετών του ιδίου έργου Αρχιτεκτονικά, Στατικά κ.λ.π. λαμβάνεται εφάπαξ το ποσό 2000 λ και ως αμοιβή Α για τον υπολογισμό του 0,05 Α λαμβάνεται το άθροισμα των αμοιβών των μελετών που αυτός εκπονεί.
Β. Επιβλέψεις
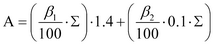
1. Η αμοιβή επίβλεψης κτιριακών έργων για κάθε κατηγορία εργασιών (Αρχιτεκτονικών, φέρουσας κατασκευής, θερμομόνωσης, εγκαταστάσεων προκύπτει από τον τύπο:

όπου:
Σ η κατά περίπτωση πραγματοποιηθείσα δαπάνη.
β1 και β2 συντελεστές που υπολογίζονται με βάση τον γενικό τύπο:

Ο συντελεστής λ λαμβάνεται στο χρόνο πληρωμής της αμοιβής.
2. Ειδικότερα εφαρμόζονται για τον υπολογισμό του συντελεστή β1.
Κατηγορία έργου
|
Κ
|
μ
|
Ι
|
1.10
|
20.00
|
ΙΙ
|
1.30
|
25.00
|
ΙΙΙ
|
2.00
|
28.00
|
IV
|
1.50
|
38.00
|
(Άρθρο 92 του προεδρικού διατάγματος 696/1974)
για τον υπολογισμό του συντελεστή β2 =
Κ = 2.30 μ = 45 και 0.1.Σ. αντί Σ.
3. Το άρθρο 95 του προεδρικού διατάγματος 696/1974 για τις περιπτώσεις αυξομείωσης της αμοιβής επίβλεψης (εκτός έδρας κ.λ.π.) παραμένει ως έχει.
4. Επισημαίνονται οι αλλαγές στις κατηγορίες των μελετών των παραγράφων 2, 3 και 4 του άρθρου 82 του προεδρικού διατάγματος 696/1974, ύστερα από την τροποποίηση του με το άρθρο 41 του προεδρικού διατάγματος 515/1989.
5. Σύμφωνα με το άρθρο 92 του προεδρικού διατάγματος 696/1974 η αμοιβή επίβλεψης ορίζεται σε ποσοστό της πραγματοποιηθείσας δαπάνης του έργου. Συνεπώς ο υπολογισμός της γίνεται επί της δαπάνης του έργου που προκύπτει σύμφωνα με τις τιμές μονάδας επιφάνειας, ή του αναλυτικού τιμολογίου κατά περίπτωση, που ισχύουν κατά το χρόνο καταβολής της αμοιβής.
Γ. Σύμφωνα με την παράγραφο 7 του άρθρου 3 του προεδρικού διατάγματος 696/1974.
Προκειμένου για την αμοιβή μελέτης ή επίβλεψης αυτού ή εκτέλεσης άλλης, εργασίας μηχανικού, για τα ιδιωτικά έργα καθορίζεται ότι η καταβαλλόμενη αμοιβή δεν μπορεί να είναι μικρότερη από το ποσό των 5000 δραχμών. Το ποσό αυτό αναπροσαρμόζεται εκάστοτε με το συντελεστή της παραγράφου 2 του άρθρου 4.
Σε περίπτωση που η μελέτη εκπονείται ή η επίβλεψη ασκείται από περισσότερες του ενός μελετητές ή επιβλέποντες μηχανικούς, η παραπάνω αμοιβή επιμερίζεται σε αυτούς κατά την αναλογία της αμοιβής μελέτης ή επίβλεψης εκάστου.