| Συνδεθείτε στην Υπηρεσία Νομοσκόπιο | | | | | Νέοι χρήστες | | Εάν είστε νέος χρήστης, θα πρέπει να δημιουργήσετε ένα ΔΩΡΕΑΝ λογαριασμό προκειμένου να φύγει το παράθυρο αυτό και να αποκτήσετε πλήρη πρόσβαση στην υπηρεσία Νομοσκόπιο. | | Δημιουργία νέου λογαριασμού | | |
1. Γενικά
1. Ως σεισμικές δράσεις σχεδιασμού θεωρούνται οι λόγω σεισμού ταλαντωτικές κινήσεις του εδάφους, για τις οποίες απαιτείται να γίνεται ο σχεδιασμός των έργων. Τις κινήσεις αυτές στα επόμενα θα ονομάζουμε σεισμικές διεγέρσεις ή σεισμικές δονήσεις του εδάφους.
2. Η ένταση των σεισμικών διεγέρσεων σχεδιασμού καθορίζεται συμβατικά με μία μόνη παράμετρο, την επιτάχυνση σχεδιασμού Α, ανάλογα με τη ζώνη σεισμικής επικινδυνότητας της χώρας στην οποία βρίσκεται το έργο (βλέπε παράγραφο 3.3).
3. Η εδαφική επιτάχυνση Α κλιμακώνεται περαιτέρω μέσα στην ίδια ζώνη (τιμές γ1Α), ανάλογα με την κατηγορία σπουδαιότητας των έργων κανονικού κινδύνου (βλέπε παράγραφο 3.4).
2. Προσομοίωση σεισμικών διεγέρσεων
2.1. Διεύθυνση και στάθμη εφαρμογής
1. Οι σεισμικές διεγέρσεις σχεδιασμού ορίζονται στην ελεύθερη επιφάνεια του εδάφους.
2. Η σεισμική κίνηση τυχόντος σημείου του εδάφους στο χώρο καθορίζεται με τη βοήθεια των δύο οριζόντιων και κάθετων μεταξύ τους συνιστωσών της (με τυχόντα προσανατολισμό) και της κατακόρυφης συνιστώσας. Οι τρεις αυτές συνιστώσες θεωρούνται στατιστικά ανεξάρτητες.
3. Στην έκταση της κάτοψης συνήθων κτιρίων όλα τα σημεία του εδάφους θεωρείται ότι εκτελούν την ίδια μεταφορική κίνηση. Η κίνηση αυτή θεωρείται αμετάβλητη από την επιφάνεια του εδάφους μέχρι την στάθμη ή τις στάθμες θεμελίωσης. Ειδικότερα, στην περίπτωση κτιρίου με διάφορες στάθμες θεμελίωσης, η σεισμική διέγερση σχεδιασμού υποτίθεται ενιαία σε όλες τις στάθμες.
2.2. Καθορισμός σεισμικών διεγέρσεων
1. Οι σεισμικές διεγέρσεις καθορίζονται με τη βοήθεια φασμάτων απόκρισης (σε όρους επιτάχυνσης) ενός μονοβάθμιου ταλαντωτή.
2. Οι δύο οριζόντιες συνιστώσες της σεισμικής διέγερσης του εδάφους χαρακτηρίζονται με το ίδιο ελαστικό φάσμα επιτάχυνσης Φe, το οποίο δίδεται στο Παράρτημα Α.
3. Το φάσμα της κατακόρυφης συνιστώσας προκύπτει από το φάσμα των οριζόντιων συνιστωσών, πολλαπλασιάζοντας τις τεταγμένες του με το 0.70.
4. Για την ισοδύναμη γραμμική ανάλυση των κατασκευών στην μετελαστική περιοχή συμπεριφοράς τους, χρησιμοποιούνται τα φάσματα σχεδιασμού Φd της παραγράφου 3, τα οποία προκύπτουν με τροποποίηση των ελαστικών φασμάτων.
5. Σε ειδικές περιπτώσεις ελέγχου της σεισμικής απόκρισης με εν χρόνω ολοκλήρωση επιταχυνσιογραφημάτων, τα επιταχυνσιογραφήματα αυτά καθορίζονται στο Παράρτημα Α.
3. Φάσματα σχεδιασμού
3.1. Οριζόντιες συνιστώσες
1. Τα φάσματα σχεδιασμού των οριζοντίων συνιστωσών του σεισμού καθορίζονται από τις παρακάτω εξισώσεις (Σχήμα 2.1):

Σχήμα 2.1: Φάσμα Σχεδιασμού:
(Σχεδίαση για
)
Περιοχή Περιόδων
|
Εξίσωση
|
|

|

|
(2.1.α)
|

|

|
(2.1.β)
|

|

|
(2.1.γ)
|
όπου:
A=α · g, μέγιστη οριζόντια σεισμική επιτάχυνση του εδάφους (παράγραφος 3.3),
g, επιτάχυνση της βαρύτητας,
γ1, συντελεστής σπουδαιότητας κτιρίου (παράγραφος 3.4),
q, συντελεστής συμπεριφοράς της κατασκευής (παράγραφος 3.5),
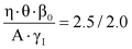
η, διορθωτικός συντελεστής για ποσοστό απόσβεσης ≠5%,
θ, συντελεστής επιρροής της θεμελίωσης (παράγραφος 3.7),
T1 και T2, χαρακτηριστικές περίοδοι του φάσματος (Πίνακας 2.4),
β0 = 2.5, συντελεστής φασματικής ενίσχυσης και
Α, Β, Γ, Δ, κατηγορία εδάφους (παράγραφος 3.6).
2. Ο διορθωτικός συντελεστής απόσβεσης υπολογίζεται από τη σχέση:
(2.2)
όπου οι τιμές της κρίσιμης απόσβεσης ζ(%) δίδονται στον Πίνακα 2.8 για κάθε είδος κατασκευής. Σε ειδικές περιπτώσεις συστημάτων που αποδεδειγμένα διαθέτουν ιδιαίτερα μεγάλη απόσβεση (π.χ. απόσβεση ακτινοβολίας στο υπέδαφος), το κάτω όριο του συντελεστή η επιτρέπεται να μειωθεί μέχρι την τιμή 0.5, ύστερα από συγκατάθεση του Κυρίου του Έργου και ειδική έγκριση της Προϊσταμένης Αρχής της ελέγχουσας υπηρεσίας. Για την έγκριση αυτή απαιτείται η σύνταξη λεπτομερούς ειδικής μελέτης, με την οποία αφενός μεν θα αιτιολογείται πλήρως η προέλευση της αυξημένης απόσβεσης (π.χ. εδαφοδυναμική μελέτη στην περίπτωση της απόσβεσης ακτινοβολίας), αφετέρου δε θα γίνεται ποσοτική αποτίμηση της συμμετοχής της στην συνολική απόσβεση του συστήματος.
3. Αν δεν υπολογίζεται η ιδιοπερίοδος Τ, τότε το Φd(T) θα λαμβάνεται από την εξίσωση (2.1.β).
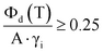
4. Σε κάθε περίπτωση απαιτείται:
(2.3)
3.2. Κατακόρυφη συνιστώσα
1. Το φάσμα της κατακόρυφης συνιστώσας καθορίζεται από τις εξισώσεις (2.1) με τις εξής μεταβολές:
| • | αντί της οριζόντιας εδαφικής επιτάχυνσης Α χρησιμοποιείται η αντίστοιχη κατακόρυφη συνιστώσα Αν = 0.70 · Α, |
| • | αντί του συντελεστή συμπεριφοράς q χρησιμοποιείται ο συντελεστής qν = 0.50 q ≥ 1.00 και |
| • | η τιμή του συντελεστή θεμελίωσης θ λαμβάνεται πάντοτε ίση με 1.0. |
3.3. Σεισμική Επιτάχυνση Εδάφους
1. Για την εφαρμογή του παρόντος Κανονισμού η Χώρα υποδιαιρείται σε τρεις Ζώνες Σεισμικής Επικινδυνότητας I, II, και III, τα όρια των οποίων καθορίζονται στον Χάρτη Σεισμικής Επικινδυνότητας της Ελλάδος (Σχήμα 2.2).

Σχήμα 2.2: Χάρτης Σεισμικής Επικινδυνότητας της Ελλάδας.
2. Στον Πίνακα 2.1 δίνεται κατάλογος οικισμών του ελληνικού χώρου και η Ζώνη Σεισμικής Επικινδυνότητας στην οποία ανήκουν.
3. Σε κάθε Ζώνη Σεισμικής Επικινδυνότητας αντιστοιχεί μία τιμή σεισμικής επιτάχυνσης εδάφους Α, σύμφωνα με τον Πίνακα 2.2.
4. Οι τιμές των σεισμικών επιταχύνσεων εδάφους του Πίνακα 2.2 εκτιμάται, σύμφωνα με τα σεισμολογικά δεδομένα, ότι έχουν πιθανότητα υπέρβασης 10% στα 50 χρόνια.
3.4. Σεισμική Επιτάχυνση Εδάφους
1. Τα κτίρια κατατάσσονται σε τέσσερις κατηγορίες σπουδαιότητας, ανάλογα με τον κίνδυνο που συνεπάγεται για τον άνθρωπο και τις κοινωνικοοικονομικές συνέπειες που μπορεί να έχει ενδεχόμενη καταστροφή τους ή διακοπή της λειτουργίας τους.
2. Σε κάθε κατηγορία σπουδαιότητας αντιστοιχεί μία τιμή του συντελεστή σπουδαιότητας γI, σύμφωνα με τον Πίνακα 2.3.
3.5. Συντελεστής συμπεριφοράς q
1. Ο συντελεστής αυτός εισάγει την μείωση των σεισμικών επιταχύνσεων της πραγματικής κατασκευής λόγω μετελαστικής συμπεριφοράς, σε σχέση με τις επιταχύνσεις που προκύπτουν υπολογιστικά σε απεριόριστα ελαστικό σύστημα.
2. Μέγιστες τιμές του q δίδονται στον Πίνακα 2.6 ανάλογα με το είδος του υλικού κατασκευής και τον τύπο του δομικού συστήματος. Οι τιμές αυτές ισχύουν υπό την βασική προϋπόθεση ότι για τον σεισμό σχεδιασμού έχουμε έναρξη διαρροής του συστήματος (πρώτη πλαστική άρθρωση) και με την περαιτέρω αύξηση της φόρτισης είναι δυνατός ο σχηματισμός αξιόπιστου μηχανισμού διαρροής με την δημιουργία ικανού αριθμού πλαστικών αρθρώσεων (πλάστιμη συμπεριφορά).
3. Σε περίπτωση επιθυμητής ελαστικής συμπεριφοράς λαμβάνεται q = 1.
3.6. Κατάταξη εδαφών
1. Από άποψη σεισμικής επικινδυνότητας τα εδάφη κατατάσσονται σε πέντε κατηγορίες Α, Β, Γ, Δ και Χ, που περιγράφονται στον Πίνακα 2.5.
2. Δόμηση μόνιμων έργων σε εδάφη κατηγορίας Χ μπορεί να γίνει μόνο ύστερα από λεπτομερείς έρευνες και μελέτες, εφόσον ληφθούν κατάλληλα μέτρα βελτίωσης των ιδιοτήτων του εδάφους, και αντιμετωπισθούν με ειδικό τρόπο τα συγκεκριμένα προβλήματα που υπάρχουν (βλέπε Κεφάλαιο 5).
3. Σχηματισμός πάχους μικρότερου των 5 m μπορεί να θεωρείται ότι ανήκει στην αμέσως προηγούμενη κατηγορία εδάφους με εξαίρεση την κατηγορία Χ.
3.6. Συντελεστής θεμελίωσης
1. Ο συντελεστής θεμελίωσης θ εξαρτάται γενικά από το βάθος και την δυσκαμψία της θεμελίωσης.
2. Σε εδάφη Κατηγορίας Α ή Β ο συντελεστής θ λαμβάνει την τιμή 1.0. Σε εδάφη κατηγορίας Γ ή Δ ο συντελεστής θεμελίωσης θ επιτρέπεται να λαμβάνει τις τιμές που δίνονται στον Πίνακα 2.7, όταν συντρέχει τουλάχιστον μία από τις προϋποθέσεις που αναφέρονται σε αυτόν και εφόσον η προκύπτουσα φασματική επιτάχυνση σχεδιασμού δεν είναι μικρότερη από εκείνη που θα προέκυπτε για έδαφος κατηγορίας Β.
Πίνακας 2.1: Κατανομή των Νομών και Δήμων της Ελλάδας στις Ζώνες Σεισμικής Επικινδυνότητας με βάση τον Χάρτη του Σχήματος 2.2.
Α/Α Νομού
|
Νομός
|
Δήμοι
|
Ζώνη
|
1
|
Αθηνών
|
Δ. ΑΓΙΑΣ ΒΑΡΒΑΡΑΣ
|
Ι
|
Δ. ΑΓΙΑΣ ΠΑΡΑΣΚΕΥΗΣ
|
Ι
|
Δ. ΑΓΙΟΥ ΔΗΜΗΤΡΙΟΥ
|
Ι
|
Δ. ΑΘΗΝΑΙΩΝ
|
Ι
|
Δ. ΑΙΓΑΛΕΩ
|
Ι
|
Δ. ΑΛΙΜΟΥ
|
Ι
|
Δ. ΑΜΑΡΟΥΣΙΟΥ
|
Ι
|
Δ. ΑΡΓΥΡΟΥΠΟΛΕΩΣ
|
Ι
|
Δ. ΒΡΙΛΗΣΣΙΩΝ
|
Ι
|
Δ. ΒΥΡΩΝΟΣ
|
Ι
|
Δ. ΓΑΛΑΤΣΙΟΥ
|
Ι
|
Δ. ΓΛΥΦΑΔΑΣ
|
Ι
|
Δ. ΔΑΦΝΗΣ
|
Ι
|
Δ. ΕΛΛΗΝΙΚΟΥ
|
Ι
|
Δ. ΖΩΓΡΑΦΟΥ
|
Ι
|
Δ. ΗΛΙΟΥΠΟΛΕΩΣ
|
Ι
|
Δ. ΗΡΑΚΛΕΙΟΥ
|
Ι
|
Δ. ΚΑΙΣΑΡΙΑΝΗΣ
|
Ι
|
Δ. ΚΑΛΛΙΘΕΑΣ
|
Ι
|
Δ. ΚΗΦΙΣΙΑΣ
|
Ι
|
Δ. ΜΕΛΙΣΣΙΩΝ
|
Ι
|
Δ. ΜΟΣΧΑΤΟΥ
|
Ι
|
Δ. ΝΕΑΣ ΕΡΥΘΡΑΙΑΣ
|
Ι
|
Δ. ΝΕΑΣ ΙΩΝΙΑΣ
|
Ι
|
Δ. ΝΕΑΣ ΣΜΥΡΝΗΣ
|
Ι
|
Δ. ΝΕΑΣ ΧΑΛΚΗΔΟΝΟΣ
|
Ι
|
Δ. ΝΕΟΥ ΨΥΧΙΚΟΥ
|
Ι
|
Δ. ΠΑΛΑΙΟΥ ΦΑΛΗΡΟΥ
|
Ι
|
Δ. ΠΑΠΑΓΟΥ
|
Ι
|
Δ. ΠΕΡΙΣΤΕΡΙΟΥ
|
Ι
|
Δ. ΠΕΥΚΗΣ
|
Ι
|
Δ. ΤΑΥΡΟΥ
|
Ι
|
Δ. ΥΜΗΤΤΟΥ
|
Ι
|
Δ. ΦΙΛΟΘΕΗΣ
|
Ι
|
Δ. ΧΑΪΔΑΡΙΟΥ
|
Ι
|
Δ. ΧΑΛΑΝΔΡΙΟΥ
|
Ι
|
Δ. ΧΟΛΑΡΓΟΥ
|
Ι
|
Δ. ΨΥΧΙΚΟΥ
|
Ι
|
Κ. ΕΚΑΛΗΣ
|
Ι
|
Κ. ΝΕΑΣ ΠΕΝΤΕΛΗΣ
|
Ι
|
Κ. ΠΕΝΤΕΛΗΣ
|
Ι
|
Δ. ΑΓΙΩΝ ΑΝΑΡΓΥΡΩΝ
|
ΙΙ
|
Δ. ΙΛΙΟΥ
|
ΙΙ
|
Δ. ΚΑΜΑΤΕΡΟΥ
|
ΙΙ
|
Δ. ΛΥΚΟΒΡΥΣΕΩΣ
|
ΙΙ
|
Δ. ΜΕΤΑΜΟΡΦΩΣΕΩΣ
|
ΙΙ
|
Δ. ΝΕΑΣ ΦΙΛΑΔΕΛΦΕΙΑΣ
|
ΙΙ
|
Δ. ΠΕΤΡΟΥΠΟΛΕΩΣ
|
ΙΙ
|
2
|
Αιτωλοακαρνανίας
|
Δ. ΑΓΓΕΛΟΚΑΣΤΡΟΥ
|
ΙΙ
|
Δ. ΑΓΡΙΝΙΟΥ
|
ΙΙ
|
Δ. ΑΙΤΩΛΙΚΟΥ
|
ΙΙ
|
Δ. ΑΜΦΙΛΟΧΙΑΣ
|
ΙΙ
|
Δ. ΑΝΑΚΤΟΡΙΟΥ
|
ΙΙ
|
Δ. ΑΝΤΙΡΡΙΟΥ
|
ΙΙ
|
Δ. ΑΠΟΔΟΤΙΑΣ
|
ΙΙ
|
Δ. ΑΡΑΚΥΝΘΟΥ
|
ΙΙ
|
Δ. ΑΣΤΑΚΟΥ
|
ΙΙ
|
Δ. ΘΕΡΜΟΥ
|
ΙΙ
|
Δ. ΘΕΣΤΙΕΩΝ
|
ΙΙ
|
Δ. ΙΕΡΑΣ ΠΟΛΗΣ ΜΕΣΟΛΟΓΓΙΟΥ
|
ΙΙ
|
Δ. ΙΝΑΧΟΥ
|
ΙΙ
|
Δ. ΜΑΚΡΥΝΕΙΑΣ
|
ΙΙ
|
Δ. ΜΕΔΕΩΝΟΣ
|
ΙΙ
|
Δ. ΜΕΝΙΔΙΟΥ
|
ΙΙ
|
Δ. ΝΑΥΠΑΚΤΟΥ
|
ΙΙ
|
Δ. ΝΕΑΠΟΛΗΣ
|
ΙΙ
|
Δ. ΟΙΝΙΑΔΩΝ
|
ΙΙ
|
Δ. ΠΑΝΑΙΤΩΛΙΚΟΥ
|
ΙΙ
|
Δ. ΠΑΡΑΒΟΛΑΣ
|
ΙΙ
|
Δ. ΠΑΡΑΚΑΜΠΥΛΙΩΝ
|
ΙΙ
|
Δ. ΠΛΑΤΑΝΟΥ
|
ΙΙ
|
Δ. ΠΥΛΛΗΝΗΣ
|
ΙΙ
|
Δ. ΣΤΡΑΤΟΥ
|
ΙΙ
|
Δ. ΦΥΤΕΙΩΝ
|
ΙΙ
|
Δ. ΧΑΛΚΕΙΑΣ
|
ΙΙ
|
Δ. ΑΛΥΖΙΑΣ
|
ΙΙΙ
|
Δ. ΚΕΚΡΟΠΙΑΣ
|
ΙΙΙ
|
3
|
Ανατολικής Αττικής
|
Δ. ΑΡΤΕΜΙΔΟΣ
|
Ι
|
Δ. ΒΑΡΗΣ
|
Ι
|
Δ. ΒΟΥΛΑΣ
|
Ι
|
Δ. ΒΟΥΛΙΑΓΜΕΝΗΣ
|
Ι
|
Δ. ΓΕΡΑΚΑ
|
Ι
|
Δ. ΓΛΥΚΩΝ ΝΕΡΩΝ
|
Ι
|
Δ. ΚΑΛΥΒΙΩΝ ΘΟΡΙΚΟΥ
|
Ι
|
Δ. ΚΕΡΑΤΕΑΣ
|
Ι
|
Δ. ΚΡΩΠΙΑΣ
|
Ι
|
Δ. ΛΑΥΡΕΩΤΙΚΗΣ
|
Ι
|
Δ. ΜΑΡΑΘΩΝΟΣ
|
Ι
|
Δ. ΜΑΡΚΟΠΟΥΛΟΥ ΜΕΣΟΓΑΙΑΣ
|
Ι
|
Δ. ΝΕΑΣ ΜΑΚΡΗΣ
|
Ι
|
Δ. ΠΑΙΑΝΙΑΣ
|
Ι
|
Δ. ΠΑΛΛΗΝΗΣ
|
Ι
|
Δ. ΡΑΦΗΝΑΣ
|
Ι
|
Δ. ΣΠΑΤΩΝ ΛΟΥΤΣΑΣ
|
Ι
|
Κ. ΑΓΙΟΥ ΚΩΝΣΤΑΝΤΙΝΟΥ
|
Ι
|
Κ. ΑΝΑΒΥΣΣΟΥ
|
Ι
|
Κ. ΑΝΘΟΥΣΗΣ
|
Ι
|
Κ. ΑΝΟΙΞΕΩΣ
|
Ι
|
Κ. ΓΡΑΜΜΑΤΙΚΟΥ
|
Ι
|
Κ. ΔΙΟΝΥΣΟΥ
|
Ι
|
Κ. ΔΡΟΣΙΑΣ
|
Ι
|
Κ. ΚΟΥΒΑΡΑ
|
Ι
|
Κ. ΠΑΛΑΙΑΣ ΦΩΚΑΙΑΣ
|
Ι
|
Κ. ΠΙΚΕΡΜΙΟΥ
|
Ι
|
Κ. ΡΟΔΟΠΟΛΕΩΣ
|
Ι
|
Κ. ΣΑΡΩΝΙΔΟΣ
|
Ι
|
Κ. ΣΤΑΜΑΤΑΣ
|
Ι
|
Δ. ΑΓΙΟΥ ΣΤΕΦΑΝΟΥ
|
ΙΙ
|
Δ. ΑΥΛΩΝΟΣ
|
ΙΙ
|
Δ. ΑΧΑΡΝΩΝ
|
ΙΙ
|
Κ. ΑΦΙΔΝΩΝ
|
ΙΙ
|
Κ. ΒΑΡΝΑΒΑ
|
ΙΙ
|
Κ. ΘΡΑΚΟΜΑΚΕΔΟΝΩΝ
|
ΙΙ
|
Κ. ΚΑΛΑΜΟΥ
|
ΙΙ
|
Κ. ΚΑΠΑΝΔΡΙΤΙΟΥ
|
ΙΙ
|
Κ. ΚΡΥΟΝΕΡΙΟΥ
|
ΙΙ
|
Κ. ΜΑΛΑΚΑΣΗΣ
|
ΙΙ
|
Κ. ΜΑΡΚΟΠΟΥΛΟΥ ΩΡΩΠΟΥ
|
ΙΙ
|
Κ. ΝΕΩΝ ΠΑΛΑΤΙΩΝ
|
ΙΙ
|
Κ. ΠΟΛΥΔΕΝΔΡΙΟΥ
|
ΙΙ
|
Κ. ΣΚΑΛΑΣ ΩΡΩΠΟΥ
|
ΙΙ
|
Κ. ΣΥΚΑΜΙΝΟΥ
|
ΙΙ
|
Κ. ΩΡΩΠΟΥ
|
ΙΙ
|
4
|
Αργολίδας
|
Δ. ΑΡΓΟΥΣ
|
Ι
|
Δ. ΕΡΜΙΟΝΗΣ
|
Ι
|
Δ. ΚΡΑΝΙΔΙΟΥ
|
Ι
|
Δ. ΛΕΡΝΑΣ
|
Ι
|
Δ. ΝΑΥΠΛΙΟΥ
|
Ι
|
Δ. ΝΕΑΣ ΚΙΟΥ
|
Ι
|
Κ. ΑΧΛΑΔΟΚΑΜΠΟΥ
|
Ι
|
Δ. ΑΣΙΝΗΣ
|
ΙΙ
|
Δ. ΑΣΚΛΗΠΙΕΙΟΥ
|
ΙΙ
|
Δ. ΕΠΙΔΑΥΡΟΥ
|
ΙΙ
|
Δ. ΚΟΥΤΣΟΠΟΔΙΟΥ
|
ΙΙ
|
Δ. ΛΥΡΚΕΙΑΣ
|
ΙΙ
|
Δ. ΜΙΔΕΑΣ
|
ΙΙ
|
Δ. ΜΥΚΗΝΑΙΩΝ
|
ΙΙ
|
Δ. ΝΕΑΣ ΤΙΡΥΝΘΑΣ
|
ΙΙ
|
Κ. ΑΛΕΑΣ
|
ΙΙ
|
5
|
Αρκαδίας
|
Δ. ΑΠΟΛΛΩΝΟΣ
|
Ι
|
Δ. ΒΑΛΤΕΤΣΙΟΥ
|
Ι
|
Δ. ΒΟΡΕΙΑΣ ΚΥΝΟΥΡΙΑΣ
|
Ι
|
Δ. ΓΟΡΤΥΝΟΣ
|
Ι
|
Δ. ΔΗΜΗΤΣΑΝΑΣ
|
Ι
|
Δ. ΗΡΑΙΑΣ
|
Ι
|
Δ. ΚΟΡΥΘΙΟΥ
|
Ι
|
Δ. ΛΕΩΝΙΔΙΟΥ
|
Ι
|
Δ. ΣΚΥΡΙΤΙΔΑΣ
|
Ι
|
Δ. ΤΕΓΕΑΣ
|
Ι
|
Δ. ΤΡΙΚΟΛΩΝΩΝ
|
Ι
|
Δ. ΤΡΙΠΟΛΗΣ
|
Ι
|
Δ. ΦΑΛΑΝΘΟΥ
|
Ι
|
Κ. ΚΟΣΜΑ
|
Ι
|
Δ. ΒΥΤΙΝΑΣ
|
ΙΙ
|
Δ. ΚΛΕΙΤΟΡΟΣ
|
ΙΙ
|
Δ. ΚΟΝΤΟΒΑΖΑΙΝΗΣ
|
ΙΙ
|
Δ. ΛΑΓΚΑΔΙΩΝ
|
ΙΙ
|
Δ. ΛΕΒΙΔΙΟΥ
|
ΙΙ
|
Δ. ΜΑΝΤΙΝΕΙΑΣ
|
ΙΙ
|
Δ. ΜΕΓΑΛΟΠΟΛΗΣ
|
ΙΙ
|
Δ. ΤΡΟΠΑΙΩΝ
|
ΙΙ
|
Δ. ΦΑΛΑΙΣΙΑΣ
|
ΙΙ
|
6
|
Άρτας
|
|
ΙΙ
|
7
|
Αχαΐας
|
|
ΙΙ
|
8
|
Βοιωτίας
|
|
ΙΙ
|
9
|
Γρεβενών
|
|
Ι
|
10
|
Δράμας
|
|
Ι
|
11
|
Δυτική Αττική
|
|
ΙΙ
|
12
|
Δωδεκανήσου
|
Δ. ΚΑΛΥΜΝΙΩΝ
|
Ι
|
Δ. ΛΕΙΨΩΝ
|
Ι
|
Δ. ΛΕΡΟΥ
|
Ι
|
Δ. ΠΑΤΜΟΥ
|
Ι
|
Κ. ΑΓΑΘΟΝΗΣΙΟΥ
|
Ι
|
Δ. ΑΡΧΑΓΓΕΛΟΥ
|
ΙΙ
|
Δ. ΑΣΤΥΠΑΛΑΙΑΣ
|
ΙΙ
|
Δ. ΑΤΤΑΒΥΡΟΥ
|
ΙΙ
|
Δ. ΑΦΑΝΤΟΥ
|
ΙΙ
|
Δ. ΔΙΚΑΙΟΥ
|
ΙΙ
|
Δ. ΗΡΑΚΛΕΙΔΩΝ
|
ΙΙ
|
Δ. ΙΑΛΥΣΟΥ
|
ΙΙ
|
Δ. ΚΑΛΛΙΘΕΑΣ
|
ΙΙ
|
Δ. ΚΑΜΕΙΡΟΥ
|
ΙΙ
|
Δ. ΚΑΡΠΑΘΟΥ
|
ΙΙ
|
Δ. ΚΑΣΟΥ
|
ΙΙ
|
Δ. ΚΩ
|
ΙΙ
|
Δ. ΛΙΝΔΙΩΝ
|
ΙΙ
|
Δ. ΜΕΓΙΣΤΗΣ
|
ΙΙ
|
Δ. ΝΙΣΥΡΟΥ
|
ΙΙ
|
Δ. ΝΟΤΙΑΣ ΡΟΔΟΥ
|
ΙΙ
|
Δ. ΠΕΤΑΛΟΥΔΩΝ
|
ΙΙ
|
Δ. ΡΟΔΟΥ
|
ΙΙ
|
Δ. ΣΥΜΗΣ
|
ΙΙ
|
Δ. ΤΗΛΟΥ
|
ΙΙ
|
Δ. ΧΑΛΚΗΣ
|
ΙΙ
|
Κ. ΟΛΥΜΠΟΥ
|
ΙΙ
|
13
|
Έβρου
|
Δ. ΑΛΕΞΑΝΔΡΟΥΠΟΛΗΣ
|
Ι
|
Δ. ΒΥΣΣΑΣ
|
Ι
|
Δ. ΔΙΔΥΜΟΤΕΙΧΟΥ
|
Ι
|
Δ. ΚΥΠΡΙΝΟΥ
|
Ι
|
Δ. ΜΕΤΑΞΑΔΩΝ
|
Ι
|
Δ. ΟΡΕΣΤΙΑΔΟΣ
|
Ι
|
Δ. ΟΡΦΕΑ
|
Ι
|
Δ. ΣΟΥΦΛΙΟΥ
|
Ι
|
Δ. ΤΡΑΙΑΝΟΥΠΟΛΗΣ
|
Ι
|
Δ. ΤΡΙΓΩΝΟΥ
|
Ι
|
Δ. ΤΥΧΕΡΟΥ
|
Ι
|
Δ. ΦΕΡΩΝ
|
Ι
|
Δ. ΣΑΜΟΘΡΑΚΗΣ
|
ΙΙ
|
14
|
Ευβοίας
|
Δ. ΑΜΑΡΥΝΘΙΩΝ
|
Ι
|
Δ. ΑΥΛΩΝΟΣ ΕΥΒΟΙΑΣ
|
Ι
|
Δ. ΔΙΡΦΥΩΝ
|
Ι
|
Δ. ΔΥΣΤΙΩΝ
|
Ι
|
Δ. ΚΑΡΥΣΤΟΥ
|
Ι
|
Δ. ΚΟΝΙΣΤΡΩΝ
|
Ι
|
Δ. ΚΥΜΗΣ
|
Ι
|
Δ. ΜΑΡΜΑΡΙΟΥ
|
Ι
|
Δ. ΣΤΥΡΑΙΩΝ
|
Ι
|
Δ. ΤΑΜΙΝΑΙΩΝ
|
Ι
|
Κ. ΚΑΦΗΡΕΩΣ
|
Ι
|
Δ. ΑΙΔΗΨΟΥ
|
ΙΙ
|
Δ. ΑΝΘΗΔΩΝΟΣ
|
ΙΙ
|
Δ. ΑΡΤΕΜΙΣΙΟΥ
|
ΙΙ
|
Δ. ΑΥΛΙΔΟΣ
|
ΙΙ
|
Δ. ΕΛΥΜΝΙΩΝ
|
ΙΙ
|
Δ. ΕΡΕΤΡΙΑΣ
|
ΙΙ
|
Δ. ΙΣΤΙΑΙΑΣ
|
ΙΙ
|
Δ. ΚΗΡΕΩΣ
|
ΙΙ
|
Δ. ΛΗΛΑΝΤΙΩΝ
|
ΙΙ
|
Δ. ΜΕΣΣΑΠΙΩΝ
|
ΙΙ
|
Δ. ΝΕΑΣ ΑΡΤΑΚΗΣ
|
ΙΙ
|
Δ. ΝΗΛΕΩΣ
|
ΙΙ
|
Δ. ΣΚΥΡΟΥ
|
ΙΙ
|
Δ. ΧΑΛΚΙΔΕΩΝ
|
ΙΙ
|
Δ. ΩΡΕΩΝ
|
ΙΙ
|
Κ. ΛΙΧΑΔΟΣ
|
ΙΙ
|
15
|
Ευρυτανίας
|
|
ΙΙ
|
16
|
Ζακύνθου
|
|
ΙΙΙ
|
17
|
Ηλείας
|
Δ. ΑΛΙΦΕΙΡΑΣ
|
Ι
|
Δ. ΑΝΔΡΙΤΣΑΙΝΗΣ
|
Ι
|
Δ. ΑΜΑΛΙΑΔΟΣ
|
ΙΙ
|
Δ. ΑΝΔΡΑΒΙΔΑΣ
|
ΙΙ
|
Δ. ΑΡΧΑΙΑΣ ΟΛΥΜΠΙΑΣ
|
ΙΙ
|
Δ. ΒΑΡΘΟΛΟΜΙΟΥ
|
ΙΙ
|
Δ. ΒΟΥΠΡΑΣΙΑΣ
|
ΙΙ
|
Δ. ΒΩΛΑΚΟΣ
|
ΙΙ
|
Δ. ΓΑΣΤΟΥΝΗΣ
|
ΙΙ
|
Δ. ΖΑΧΑΡΩΣ
|
ΙΙ
|
Δ. ΙΑΡΔΑΝΟΥ
|
ΙΙ
|
Δ. ΚΑΣΤΡΟΥ - ΚΥΛΛΗΝΗΣ
|
ΙΙ
|
Δ. ΛΑΜΠΕΙΑΣ
|
ΙΙ
|
Δ. ΛΑΣΙΩΝΟΣ
|
ΙΙ
|
Δ. ΛΕΧΑΙΝΩΝ
|
ΙΙ
|
Δ. ΠΗΝΕΙΑΣ
|
ΙΙ
|
Δ. ΠΥΡΓΟΥ
|
ΙΙ
|
Δ. ΣΚΙΛΛΟΥΝΤΟΣ
|
ΙΙ
|
Δ. ΤΡΑΓΑΝΟΥ
|
ΙΙ
|
Δ. ΦΙΓΑΛΕΙΑΣ
|
ΙΙ
|
Δ. ΦΟΛΟΗΣ
|
ΙΙ
|
Δ. ΩΛΕΝΗΣ
|
ΙΙ
|
18
|
Ημαθίας
|
|
Ι
|
19
|
Ηρακλείου
|
|
ΙΙ
|
20
|
Θεσπρωτίας
|
|
ΙΙ
|
21
|
Θεσσαλονίκης
|
Δ. ΑΓΙΟΥ ΑΘΑΝΑΣΙΟΥ
|
Ι
|
Δ. ΑΓΙΟΥ ΠΑΥΛΟΥ
|
Ι
|
Δ. ΑΜΠΕΛΟΚΗΠΩΝ
|
Ι
|
Δ. ΑΞΙΟΥ
|
Ι
|
Δ. ΒΑΣΙΛΙΚΩΝ
|
Ι
|
Δ. ΕΛΕΥΘΕΡΙΟΥ-ΚΟΡΔΕΛΙΟΥ
|
Ι
|
Δ. ΕΠΑΝΟΜΗΣ
|
Ι
|
Δ. ΕΥΟΣΜΟΥ
|
Ι
|
Δ. ΕΧΕΔΩΡΟΥ
|
Ι
|
Δ. ΘΕΡΜΑΙΚΟΥ
|
Ι
|
Δ. ΘΕΡΜΗΣ
|
Ι
|
Δ. ΘΕΣΣΑΛΟΝΙΚΗΣ
|
Ι
|
Δ. ΚΑΛΑΜΑΡΙΑΣ
|
Ι
|
Δ. ΚΟΥΦΑΛΙΩΝ
|
Ι
|
Δ. ΜΕΝΕΜΕΝΗΣ
|
Ι
|
Δ. ΜΗΧΑΝΙΩΝΑΣ
|
Ι
|
Δ. ΜΙΚΡΑΣ
|
Ι
|
Δ. ΝΕΑΠΟΛΕΩΣ
|
Ι
|
Δ. ΠΑΝΟΡΑΜΑΤΟΣ
|
Ι
|
Δ. ΠΟΛΙΧΝΗΣ
|
Ι
|
Δ. ΠΥΛΑΙΑΣ
|
Ι
|
Δ. ΣΤΑΥΡΟΥΠΟΛΕΩΣ
|
Ι
|
Δ. ΣΥΚΕΩΝ
|
Ι
|
Δ. ΤΡΙΑΝΔΡΙΑΣ
|
Ι
|
Δ. ΧΑΛΑΣΤΡΑΣ
|
Ι
|
Δ. ΧΑΛΚΗΔΟΝΟΣ
|
Ι
|
Δ. ΧΟΡΤΙΑΤΗ
|
Ι
|
Δ. ΩΡΑΙΟΚΑΣΤΡΟΥ
|
Ι
|
Κ. ΕΥΚΑΡΠΙΑΣ
|
Ι
|
Κ. ΠΕΥΚΩΝ
|
Ι
|
Δ. ΑΓΙΟΥ ΓΕΩΡΓΙΟΥ
|
ΙΙ
|
Δ. ΑΠΟΛΛΩΝΙΑΣ
|
ΙΙ
|
Δ. ΑΡΕΘΟΥΣΑΣ
|
ΙΙ
|
Δ. ΑΣΣΗΡΟΥ
|
ΙΙ
|
Δ. ΒΕΡΤΙΣΚΟΥ
|
ΙΙ
|
Δ. ΕΓΝΑΤΙΑΣ
|
ΙΙ
|
Δ. ΚΑΛΛΙΘΕΑΣ
|
ΙΙ
|
Δ. ΚΑΛΛΙΝΔΟΙΩΝ
|
ΙΙ
|
Δ. ΚΟΡΩΝΕΙΑΣ
|
ΙΙ
|
Δ. ΛΑΓΚΑΔΑ
|
ΙΙ
|
Δ. ΛΑΧΑΝΑ
|
ΙΙ
|
Δ. ΜΑΔΥΤΟΥ
|
ΙΙ
|
Δ. ΜΥΓΔΟΝΙΑΣ
|
ΙΙ
|
Δ. ΡΕΝΤΙΝΑΣ
|
ΙΙ
|
Δ. ΣΟΧΟΥ
|
ΙΙ
|
22
|
Ιωαννίνων
|
Δ. ΑΓΙΟΥ ΔΗΜΗΤΡΙΟΥ
|
Ι
|
Δ. ΑΝΑΤΟΛΗΣ
|
Ι
|
Δ. ΑΝΑΤΟΛΙΚΟΥ ΖΑΓΟΡΙΟΥ
|
Ι
|
Δ. ΑΝΩ ΚΑΛΑΜΑ
|
Ι
|
Δ. ΑΝΩ ΠΩΓΩΝΙΟΥ
|
Ι
|
Δ. ΔΩΔΩΝΗΣ
|
Ι
|
Δ. ΕΓΝΑΤΙΑΣ
|
Ι
|
Δ. ΕΚΑΛΗΣ
|
Ι
|
Δ. ΕΥΡΥΜΕΝΩΝ
|
Ι
|
Δ. ΖΙΤΣΑΣ
|
Ι
|
Δ. ΙΩΑΝΝΙΤΩΝ
|
Ι
|
Δ. ΚΑΛΠΑΚΙΟΥ
|
Ι
|
Δ. ΚΑΤΣΑΝΟΧΩΡΙΩΝ
|
Ι
|
Δ. ΚΕΝΤΡΙΚΟΥ ΖΑΓΟΡΙΟΥ
|
Ι
|
Δ. ΚΟΝΙΤΣΑΣ
|
Ι
|
Δ. ΜΑΣΤΟΡΟΧΩΡΙΩΝ
|
Ι
|
Δ. ΜΕΤΣΟΒΟΥ
|
Ι
|
Δ. ΜΠΙΖΑΝΙΟΥ
|
Ι
|
Δ. ΠΑΜΒΩΤΙΔΟΣ
|
Ι
|
Δ. ΠΑΣΑΡΩΝΟΣ
|
Ι
|
Δ. ΠΕΡΑΜΑΤΟΣ
|
Ι
|
Δ. ΤΖΟΥΜΕΡΚΩΝ
|
Ι
|
Δ. ΤΥΜΦΗΣ
|
Ι
|
Κ. ΑΕΤΟΜΗΛΙΤΣΗΣ
|
Ι
|
Κ. ΒΑΘΥΠΕΔΟΥ
|
Ι
|
Κ. ΒΟΒΟΥΣΗΣ
|
Ι
|
Κ. ΔΙΣΤΡΑΤΟΥ
|
Ι
|
Κ. ΜΗΛΕΑΣ
|
Ι
|
Κ. ΝΗΣΟΥ ΙΩΑΝΝΙΝΩΝ
|
Ι
|
Κ. ΠΑΠΙΓΚΟΥ
|
Ι
|
Κ. ΠΩΓΩΝΙΑΝΗΣ
|
Ι
|
Κ. ΣΙΡΑΚΟΥ
|
Ι
|
Κ. ΦΟΥΡΚΑΣ
|
Ι
|
Δ. ΔΕΛΒΙΝΑΚΙΟΥ
|
ΙΙ
|
Δ. ΔΕΡΒΙΖΙΑΝΩΝ
|
ΙΙ
|
Δ. ΜΟΛΟΣΣΩΝ
|
ΙΙ
|
Δ. ΠΡΑΜΑΝΤΩΝ
|
ΙΙ
|
Δ. ΣΕΛΛΩΝ
|
ΙΙ
|
Κ. ΚΑΛΑΡΙΤΩΝ
|
ΙΙ
|
Κ. ΛΑΒΔΑΝΗΣ
|
ΙΙ
|
Κ. ΜΑΤΣΟΥΚΙΟΥ
|
ΙΙ
|
23
|
Καβάλας
|
|
Ι
|
24
|
Καρδίτσας
|
|
ΙΙ
|
25
|
Καστοριάς
|
|
Ι
|
26
|
Κέρκυρας
|
|
ΙΙ
|
27
|
Κεφαλληνίας
|
|
ΙΙΙ
|
28
|
Κιλκίς
|
Δ. ΓΟΥΜΕΝΙΣΣΑΣ
|
Ι
|
Κ. ΛΙΒΑΔΙΩΝ
|
Ι
|
Δ. ΑΞΙΟΥΠΟΛΗΣ
|
ΙΙ
|
Δ. ΓΑΛΛΙΚΟΥ
|
ΙΙ
|
Δ. ΔΟΪΡΑΝΗΣ
|
ΙΙ
|
Δ. ΕΥΡΩΠΟΥ
|
ΙΙ
|
Δ. ΚΙΛΚΙΣ
|
ΙΙ
|
Δ. ΚΡΟΥΣΣΩΝ
|
ΙΙ
|
Δ. ΜΟΥΡΙΩΝ
|
ΙΙ
|
Δ. ΠΙΚΡΟΛΙΜΝΗΣ
|
ΙΙ
|
Δ. ΠΟΛΥΚΑΣΤΡΟΥ
|
ΙΙ
|
Δ. ΧΕΡΣΟΥ
|
ΙΙ
|
29
|
Κοζάνης
|
|
Ι
|
29
|
Κορινθίας
|
|
ΙΙ
|
30
|
Κυκλάδων
|
Δ. ΑΝΔΡΟΥ
|
Ι
|
Δ. ΑΝΩ ΣΥΡΟΥ
|
Ι
|
Δ. ΔΡΥΜΑΛΙΑΣ
|
Ι
|
Δ. ΕΞΩΜΒΟΥΡΓΟΥ
|
Ι
|
Δ. ΕΡΜΟΥΠΟΛΕΩΣ
|
Ι
|
Δ. ΚΕΑΣ
|
Ι
|
Δ. ΚΟΡΘΙΟΥ
|
Ι
|
Δ. ΚΥΘΝΟΥ
|
Ι
|
Δ. ΜΗΛΟΥ
|
Ι
|
Δ. ΜΥΚΟΝΟΥ
|
Ι
|
Δ. ΝΑΞΟΥ
|
Ι
|
Δ. ΠΑΡΟΥ
|
Ι
|
Δ. ΠΟΣΕΙΔΩΝΙΑΣ
|
Ι
|
Δ. ΣΕΡΙΦΟΥ
|
Ι
|
Δ. ΣΙΦΝΟΥ
|
Ι
|
Δ. ΤΗΝΟΥ
|
Ι
|
Δ. ΥΔΡΟΥΣΑΣ
|
Ι
|
Κ. ΑΝΤΙΠΑΡΟΥ
|
Ι
|
Κ. ΔΟΝΟΥΣΗΣ
|
Ι
|
Κ. ΗΡΑΚΛΕΙΑΣ
|
Ι
|
Κ. ΚΙΜΩΛΟΥ
|
Ι
|
Κ. ΚΟΥΦΟΝΗΣΙΩΝ
|
Ι
|
Κ. ΠΑΝΟΡΜΟΥ
|
Ι
|
Κ. ΣΙΚΙΝΟΥ
|
Ι
|
Κ. ΣΧΟΙΝΟΥΣΣΗΣ
|
Ι
|
Κ. ΦΟΛΕΓΑΝΔΡΟΥ
|
Ι
|
Δ. ΑΜΟΡΓΟΥ
|
ΙΙ
|
Δ. ΘΗΡΑΣ
|
ΙΙ
|
Δ. ΙΗΤΩΝ
|
ΙΙ
|
Κ. ΑΝΑΦΗΣ
|
ΙΙ
|
Κ. ΟΙΑΣ
|
ΙΙ
|
31
|
Λακωνίας
|
Δ. ΑΣΩΠΟΥ
|
Ι
|
Δ. ΒΟΪΩΝ
|
Ι
|
Δ. ΓΕΡΟΝΘΡΩΝ
|
Ι
|
Δ. ΕΛΟΥΣ
|
Ι
|
Δ. ΖΑΡΑΚΑ
|
Ι
|
Δ. ΘΕΡΑΠΝΩΝ
|
Ι
|
Δ. ΚΡΟΚΕΩΝ
|
Ι
|
Δ. ΜΟΛΑΩΝ
|
Ι
|
Δ. ΜΟΝΕΜΒΑΣΙΑΣ
|
Ι
|
Δ. ΝΙΑΤΩΝ
|
Ι
|
Δ. ΟΙΝΟΥΝΤΟΣ
|
Ι
|
Δ. ΠΕΛΛΑΝΑΣ
|
Ι
|
Δ. ΣΚΑΛΑΣ
|
Ι
|
Κ. ΕΛΑΦΟΝΗΣΟΥ
|
Ι
|
Κ. ΚΑΡΥΩΝ
|
Ι
|
Δ. ΑΝΑΤΟΛΙΚΗΣ ΜΑΝΗΣ
|
ΙΙ
|
Δ. ΓΥΘΕΙΟΥ
|
ΙΙ
|
Δ. ΜΥΣΤΡΑ
|
ΙΙ
|
Δ. ΟΙΤΥΛΟΥ
|
ΙΙ
|
Δ. ΣΜΥΝΟΥΣ
|
ΙΙ
|
Δ. ΣΠΑΡΤΗΣ
|
ΙΙ
|
Δ. ΦΑΡΙΔΟΣ
|
ΙΙ
|
32
|
Λάρισας
|
Δ. ΑΜΠΕΛΩΝΑ
|
Ι
|
Δ. ΑΝΤΙΧΑΣΙΩΝ
|
Ι
|
Δ. ΓΟΝΝΩΝ
|
Ι
|
Δ. ΕΛΑΣΣΟΝΑΣ
|
Ι
|
Δ. ΕΥΡΥΜΕΝΩΝ
|
Ι
|
Δ. ΚΑΤΩ ΟΛΥΜΠΟΥ
|
Ι
|
Δ. ΛΙΒΑΔΙΟΥ
|
Ι
|
Δ. ΜΑΚΡΥΧΩΡΙΟΥ
|
Ι
|
Δ. ΝΕΣΣΩΝΟΣ
|
Ι
|
Δ. ΟΛΥΜΠΟΥ
|
Ι
|
Δ. ΠΟΤΑΜΙΑΣ
|
Ι
|
Δ. ΣΑΡΑΝΤΑΠΟΡΟΥ
|
Ι
|
Δ. ΤΥΡΝΑΒΟΥ
|
Ι
|
Κ. ΑΜΠΕΛΑΚΙΩΝ
|
Ι
|
Κ. ΒΕΡΔΙΚΟΥΣΗΣ
|
Ι
|
Κ. ΚΑΡΥΑΣ
|
Ι
|
Δ. ΑΓΙΑΣ
|
ΙΙ
|
Δ. ΑΡΜΕΝΙΟΥ
|
ΙΙ
|
Δ. ΓΙΑΝΝΟΥΛΗΣ
|
ΙΙ
|
Δ. ΕΝΙΠΠΕΑ
|
ΙΙ
|
Δ. ΚΙΛΕΛΕΡ
|
ΙΙ
|
Δ. ΚΟΙΛΑΔΑΣ
|
ΙΙ
|
Δ. ΚΡΑΝΝΩΝΟΣ
|
ΙΙ
|
Δ. ΛΑΚΕΡΕΙΑΣ
|
ΙΙ
|
Δ. ΛΑΡΙΣΑΣ
|
ΙΙ
|
Δ. ΜΕΛΙΒΟΙΑΣ
|
ΙΙ
|
Δ. ΝΑΡΘΑΚΙΟΥ
|
ΙΙ
|
Δ. ΝΙΚΑΙΑΣ
|
ΙΙ
|
Δ. ΠΛΑΤΥΚΑΜΠΟΥ
|
ΙΙ
|
Δ. ΠΟΛΥΔΑΜΑΝΤΑ
|
ΙΙ
|
Δ. ΦΑΡΣΑΛΩΝ
|
ΙΙ
|
33
|
Λασιθίου
|
|
ΙΙ
|
34
|
Λέσβου
|
|
ΙΙ
|
35
|
Λευκάδας
|
|
ΙΙΙ
|
36
|
Μαγνησίας
|
|
ΙΙ
|
37
|
Μεσσηνίας
|
Δ. ΕΙΡΑΣ
|
Ι
|
Δ. ΑΒΙΑΣ
|
ΙΙ
|
Δ. ΑΕΤΟΥ
|
ΙΙ
|
Δ. ΑΙΠΕΙΑΣ
|
ΙΙ
|
Δ. ΑΝΔΑΝΙΑΣ
|
ΙΙ
|
Δ. ΑΝΔΡΟΥΣΗΣ
|
ΙΙ
|
Δ. ΑΡΙΟΣ
|
ΙΙ
|
Δ. ΑΡΙΣΤΟΜΕΝΟΥΣ
|
ΙΙ
|
Δ. ΑΡΦΑΡΩΝ
|
ΙΙ
|
Δ. ΑΥΛΩΝΟΣ
|
ΙΙ
|
Δ. ΒΟΥΦΡΑΔΩΝ
|
ΙΙ
|
Δ. ΓΑΡΓΑΛΙΑΝΩΝ
|
ΙΙ
|
Δ. ΔΩΡΙΟΥ
|
ΙΙ
|
Δ. ΘΟΥΡΙΑΣ
|
ΙΙ
|
Δ. ΙΘΩΜΗΣ
|
ΙΙ
|
Δ. ΚΑΛΑΜΑΤΑΣ
|
ΙΙ
|
Δ. ΚΟΡΩΝΗΣ
|
ΙΙ
|
Δ. ΚΥΠΑΡΙΣΣΙΑΣ
|
ΙΙ
|
Δ. ΛΕΥΚΤΡΟΥ
|
ΙΙ
|
Δ. ΜΕΘΩΝΗΣ
|
ΙΙ
|
Δ. ΜΕΛΙΓΑΛΑ
|
ΙΙ
|
Δ. ΜΕΣΣΗΝΗΣ
|
ΙΙ
|
Δ. ΝΕΣΤΟΡΟΣ
|
ΙΙ
|
Δ. ΟΙΧΑΛΙΑΣ
|
ΙΙ
|
Δ. ΠΑΠΑΦΛΕΣΣΑ
|
ΙΙ
|
Δ. ΠΕΤΑΛΙΔΙΟΥ
|
ΙΙ
|
Δ. ΠΥΛΟΥ
|
ΙΙ
|
Δ. ΦΙΛΙΑΤΡΩΝ
|
ΙΙ
|
Δ. ΧΙΛΙΟΧΩΡΙΩΝ
|
ΙΙ
|
Κ. ΤΡΙΚΟΡΦΟΥ
|
ΙΙ
|
Κ. ΤΡΙΠΥΛΑΣ
|
ΙΙ
|
38
|
Ξάνθης
|
|
Ι
|
39
|
Πειραιώς
|
Δ. ΑΓΙΟΥ ΙΩΑΝΝΟΥ ΡΕΝΤΗ
|
Ι
|
Δ. ΔΡΑΠΕΤΣΩΝΑΣ
|
Ι
|
Δ. ΚΕΡΑΤΣΙΝΙΟΥ
|
Ι
|
Δ. ΚΟΡΥΔΑΛΛΟΥ
|
Ι
|
Δ. ΝΙΚΑΙΑΣ
|
Ι
|
Δ. ΠΕΙΡΑΙΩΣ
|
Ι
|
Δ. ΠΕΡΑΜΑΤΟΣ
|
Ι
|
Δ. ΣΠΕΤΣΩΝ
|
Ι
|
Δ. ΥΔΡΑΣ
|
Ι
|
Δ. ΑΙΓΙΝΑΣ
|
ΙΙ
|
Δ. ΑΜΠΕΛΑΚΙΩΝ
|
ΙΙ
|
Δ. ΚΥΘΗΡΩΝ
|
ΙΙ
|
Δ. ΜΕΘΑΝΩΝ
|
ΙΙ
|
Δ. ΠΟΡΟΥ
|
ΙΙ
|
Δ. ΣΑΛΑΜΙΝΑΣ
|
ΙΙ
|
Δ. ΤΡΟΙΖΗΝΟΣ
|
ΙΙ
|
Κ. ΑΓΚΙΣΤΡΙΟΥ
|
ΙΙ
|
Κ. ΑΝΤΙΚΥΘΗΡΩΝ
|
ΙΙ
|
40
|
Πέλλας
|
|
Ι
|
41
|
Πιερίας
|
|
Ι
|
42
|
Πρεβέζης
|
|
ΙΙ
|
43
|
Ρεθύμνου
|
|
ΙΙ
|
44
|
Ροδόπης
|
|
Ι
|
45
|
Σάμου
|
Δ. ΑΓΙΟΥ ΚΗΡΥΚΟΥ
|
Ι
|
Δ. ΕΥΔΗΛΟΥ
|
Ι
|
Δ. ΡΑΧΩΝ
|
Ι
|
Δ. ΦΟΥΡΝΩΝ ΚΟΡΣΕΩΝ
|
Ι
|
Δ. ΒΑΘΕΟΣ
|
ΙΙ
|
Δ. ΚΑΡΛΟΒΑΣΙΩΝ
|
ΙΙ
|
Δ. ΜΑΡΑΘΟΚΑΜΠΟΥ
|
ΙΙ
|
Δ. ΠΥΘΑΓΟΡΕΙΟΥ
|
ΙΙ
|
46
|
Σερρών
|
Δ. ΑΛΙΣΤΡΑΤΗΣ
|
Ι
|
Δ. ΑΜΦΙΠΟΛΗΣ
|
Ι
|
Δ. ΕΜΜΑΝΟΥΗΛ ΠΑΠΠΑ
|
Ι
|
Δ. ΗΡΑΚΛΕΙΑΣ
|
Ι
|
Δ. ΚΟΡΜΙΣΤΑΣ
|
Ι
|
Δ. ΛΕΥΚΩΝΑ
|
Ι
|
Δ. ΝΕΑΣ ΖΙΧΝΗΣ
|
Ι
|
Δ. ΠΕΤΡΙΤΣΙΟΥ
|
Ι
|
Δ. ΠΡΩΤΗΣ
|
Ι
|
Δ. ΡΟΔΟΛΙΒΟΥΣ
|
Ι
|
Δ. ΣΕΡΡΩΝ
|
Ι
|
Δ. ΣΙΔΗΡΟΚΑΣΤΡΟΥ
|
Ι
|
Δ. ΣΚΟΤΟΥΣΣΗΣ
|
Ι
|
Δ. ΣΤΡΥΜΩΝΑ
|
Ι
|
Κ. ΑΓΚΙΣΤΡΟΥ
|
Ι
|
Κ. ΑΝΩ ΒΡΟΝΤΟΥΣ
|
Ι
|
Κ. ΑΧΛΑΔΟΧΩΡΙΟΥ
|
Ι
|
Κ. ΟΡΕΙΝΗΣ
|
Ι
|
Κ. ΠΡΟΜΑΧΩΝΟΣ
|
Ι
|
Δ. ΑΧΙΝΟΥ
|
ΙΙ
|
Δ. ΒΙΣΑΛΤΙΑΣ
|
ΙΙ
|
Δ. ΚΑΤΩ ΜΗΤΡΟΥΣΙΟΥ
|
ΙΙ
|
Δ. ΚΕΡΚΙΝΗΣ
|
ΙΙ
|
Δ. ΝΙΓΡΙΤΗΣ
|
ΙΙ
|
Δ. ΣΚΟΥΤΑΡΕΩΣ
|
ΙΙ
|
Δ. ΣΤΡΥΜΩΝΙΚΟΥ
|
ΙΙ
|
Δ. ΤΡΑΓΙΛΟΥ
|
ΙΙ
|
47
|
Τρικάλων
|
Δ. ΒΑΣΙΛΙΚΗΣ
|
Ι
|
Δ. ΓΟΜΦΩΝ
|
Ι
|
Δ. ΚΑΛΑΜΠΑΚΑΣ
|
Ι
|
Δ. ΚΑΛΛΙΔΕΝΔΡΟΥ
|
Ι
|
Δ. ΚΑΣΤΑΝΙΑΣ
|
Ι
|
Δ. ΚΛΕΙΝΟΒΟΥ
|
Ι
|
Δ. ΚΟΖΙΑΚΑ
|
Ι
|
Δ. ΜΑΛΑΚΑΣΙΟΥ
|
Ι
|
Δ. ΠΑΛΗΟΚΑΣΤΡΟΥ
|
Ι
|
Δ. ΠΑΡΑΛΗΘΑΙΩΝ
|
Ι
|
Δ. ΠΙΑΛΕΙΩΝ
|
Ι
|
Δ. ΠΥΛΗΣ
|
Ι
|
Δ. ΤΡΙΚΚΑΙΩΝ
|
Ι
|
Δ. ΤΥΜΦΑΙΩΝ
|
Ι
|
Δ. ΦΑΛΩΡΕΙΑΣ
|
Ι
|
Δ. ΧΑΣΙΩΝ
|
Ι
|
Δ. ΑΙΘΗΚΩΝ
|
ΙΙ
|
Δ. ΕΣΤΙΑΙΩΤΙΔΑΣ
|
ΙΙ
|
Δ. ΜΕΓΑΛΩΝ ΚΑΛΥΒΙΩΝ
|
ΙΙ
|
Δ. ΟΙΧΑΛΙΑΣ
|
ΙΙ
|
Δ. ΠΕΛΙΝΝΑΙΩΝ
|
ΙΙ
|
Δ. ΠΥΝΔΑΙΩΝ
|
ΙΙ
|
Δ. ΦΑΡΚΑΔΟΝΑΣ
|
ΙΙ
|
Κ. ΑΣΠΡΟΠΟΤΑΜΟΥ
|
ΙΙ
|
Κ. ΜΥΡΟΦΥΛΛΟΥ
|
ΙΙ
|
Κ. ΝΕΡΑΙΔΑΣ
|
ΙΙ
|
48
|
Φθιώτιδας
|
|
ΙΙ
|
49
|
Φλωρίνης
|
|
Ι
|
50
|
Φωκίδας
|
|
ΙΙ
|
51
|
Χαλκιδικής
|
Δ. ΚΑΛΛΙΚΡΑΤΕΙΑΣ
|
Ι
|
Δ. ΚΑΣΣΑΝΔΡΑΣ
|
Ι
|
Δ. ΜΟΥΔΑΝΙΩΝ
|
Ι
|
Δ. ΠΑΛΛΗΝΗΣ
|
Ι
|
Δ. ΤΡΙΓΛΙΑΣ
|
Ι
|
Δ. ΑΓΙΟΝ ΟΡΟΣ
|
ΙΙ
|
Δ. ΑΝΘΕΜΟΥΝΤΑ
|
ΙΙ
|
Δ. ΑΡΝΑΙΑΣ
|
ΙΙ
|
Δ. ΖΕΡΒΟΧΩΡΙΩΝ
|
ΙΙ
|
Δ. ΟΡΜΥΛΙΑΣ
|
ΙΙ
|
Δ. ΠΑΝΑΓΙΑΣ
|
ΙΙ
|
Δ. ΠΟΛΥΓΥΡΟΥ
|
ΙΙ
|
Δ. ΣΙΘΩΝΙΑΣ
|
ΙΙ
|
Δ. ΣΤΑΓΥΡΩΝ-ΑΚΑΝΘΟΥ
|
ΙΙ
|
Δ. ΤΟΡΩΝΗΣ
|
ΙΙ
|
52
|
Χανίων
|
|
ΙΙ
|
53
|
Χίου
|
|
ΙΙ
|
Πίνακας 2.2: Κατανομή των Νομών και Δήμων της Ελλάδας στις Ζώνες Σεισμικής Επικινδυνότητας με βάση τον Χάρτη του Σχήματος 2.2.
Ζώνη Σεισμικής Επικινδυνότητας
|
Ι
|
ΙΙ
|
ΙΙΙ
|
α
|
0.16
|
0.24
|
0.36
|
Πίνακας 2.3: Συντελεστές Σπουδαιότητας.
Κατηγορία Σπουδαιότητας
|
γI
|
Σ1
|
Κτίρια μικρής σπουδαιότητας ως προς την ασφάλεια του κοινού, όπως αγροτικά οικήματα και αγροτικές αποθήκες, υπόστεγα, στάβλοι, βουστάσια, χοιροστάσια, ορνιθοτροφεία, κ.λ.π.
|
0.85
|
Σ2
|
Συνήθη κτίρια, όπως κατοικίες και γραφεία, βιομηχανικά - βιοτεχνικά κτίρια, ξενοδοχεία (τα οποία δεν περιλαμβάνουν χώρους συνεδρίων), ξενώνες, οικοτροφεία, χώροι εκθέσεων, χώροι εστιάσεως και ψυχαγωγίας (ζαχαροπλαστεία, καφενεία, μπόουλινγκ, μπιλιάρδου, ηλεκτρονικών παιχνιδιών, εστιατόρια, μπαρ, κλπ), τράπεζες, ιατρεία, αγορές, υπεραγορές, εμπορικά κέντρα, καταστήματα, φαρμακεία, κουρεία, κομμωτήρια, ινστιτούτα γυμναστικής, βιβλιοθήκες, εργοστάσια, συνεργεία συντήρησης και επισκευής αυτοκινήτων, βαφεία, ξυλουργεία, εργαστήρια ερευνών, παρασκευαστήρια τροφίμων, καθαριστήρια, κέντρα μηχανογράφησης, αποθήκες, κτίρια στάθμευσης αυτοκινήτων, πρατήρια υγρών καυσίμων, ανεμογεννήτριες, γραφεία δημοσίων υπηρεσιών και τοπικής αυτοδιοίκησης που δεν εμπίπτουν στην κατηγορία Σ4, κ.λ.π.
|
1.00
|
Σ3
|
Κτίρια τα οποία στεγάζουν εγκαταστάσεις πολύ μεγάλης οικονομικής σημασίας, καθώς και κτίρια δημοσίων συναθροίσεων και γενικώς κτίρια στα οποία ευρίσκονται πολλοί άνθρωποι κατά μεγάλο μέρος του 24ώρου, όπως αίθουσες αεροδρομίων, χώροι συνεδρίων, κτίρια που στεγάζουν υπολογιστικά κέντρα, ειδικές βιομηχανίες, εκπαιδευτικά κτίρια, αίθουσες διδασκαλίας, φροντιστήρια, νηπιαγωγεία, χώροι συναυλιών, αίθουσες δικαστηρίων, ναοί, χώροι αθλητικών συγκεντρώσεων, θέατρα, κινηματογράφοι, κέντρα διασκέδασης, αίθουσες αναμονής επιβατών, ψυχιατρεία, ιδρύματα ατόμων με ειδικές ανάγκες, ιδρύματα χρονίως πασχόντων, οίκοι ευγηρίας, βρεφοκομεία, βρεφικοί σταθμοί, παιδικοί σταθμοί, παιδότοποι, αναμορφωτήρια, φυλακές, εγκαταστάσεις καθαρισμού νερού και αποβλήτων, κ.λ.π.
|
1.15
|
Σ4
|
Κτίρια των οποίων η λειτουργία, τόσο κατά την διάρκεια του σεισμού, όσο και μετά τους σεισμούς, είναι ζωτικής σημασίας, όπως κτίρια τηλεπικοινωνίας, παραγωγής ενέργειας, νοσοκομεία, κλινικές, αγροτικά ιατρεία, υγειονομικοί σταθμοί, κέντρα υγείας, διυλιστήρια, σταθμοί παραγωγής ενέργειας, πυροσβεστικοί και αστυνομικοί σταθμοί, κτίρια δημόσιων επιτελικών υπηρεσιών για την αντιμετώπιση έκτακτων αναγκών από σεισμό.
Κτίρια που στεγάζουν έργα μοναδικής καλλιτεχνικής αξίας όπως μουσεία, αποθήκες μουσείων, κ.λ.π.
|
1.30
|
Πίνακας 2.4: Τιμές των χαρακτηριστικών περιόδων Τ1, Τ2 (sec).
Κατηγορία εδάφους
|
A
|
B
|
Γ
|
Δ
|
Τ1
|
0.10
|
0.15
|
0.20
|
0.20
|
Τ2
|
0.40
|
0.60
|
0.80
|
1.20
|
Πίνακας 2.5: Κατηγορίες Εδάφους.
Κατηγορία
|
Περιγραφή
|
Α
|
Βραχώδεις ή ημιβραχώδεις σχηματισμοί εκτεινόμενοι σε αρκετή έκταση και βάθος, με τη προϋπόθεση ότι δεν παρουσιάζουν έντονη αποσάθρωση.
Στρώσεις πυκνού κοκκώδους υλικού με μικρό ποσοστό ιλυοαργιλικών προσμίξεων, πάχους μικρότερου των 70 m.
Στρώσεις πολύ σκληρής προσυμπιεσμένης αργίλου πάχους μικρότερου των 70 m.
|
Β
|
Εντόνως αποσαθρωμένα βραχώδη ή εδάφη που από μηχανική άποψη μπορούν να εξομοιωθούν με κοκκώδη.
Στρώσεις κοκκώδους υλικού μέσης πυκνότητας πάχους μεγαλύτερου των 5 m ή μεγάλης πυκνότητας πάχους μεγαλύτερου των 70 m.
Στρώσεις σκληρής προσυμπιεσμένης αργίλου πάχους μεγαλύτερου των 70 m.
|
Γ
|
Στρώσεις κοκκώδους υλικού μικρής σχετικής πυκνότητας πάχους μεγαλύτερου των 5 m ή μέσης πυκνότητας πάχους μεγαλύτερου των 70 m.
Ιλυοαργιλικά εδάφη μικρής αντοχής σε πάχος μεγαλύτερο των 5 m.
|
Δ
|
Έδαφος με μαλακές αργίλους υψηλού δείκτη πλαστιμότητας (lp > 50) συνολικού πάχους μεγαλύτερου των 10 m.
|
Χ
|
Χαλαρά λεπτόκοκκα αμμοϊλιώδη εδάφη υπό τον υδάτινο ορίζοντα, που ενδέχεται να ρευστοποιηθούν (εκτός αν ειδική μελέτη αποκλείσει τέτοιο κίνδυνο, ή γίνει βελτίωση των μηχανικών τους ιδιοτήτων).
Εδάφη που βρίσκονται δίπλα σε εμφανή τεκτονικά ρήγματα. (βλέπε και παράγραφο 5.1 (3) ??).
Απότομες κλιτείς καλυπτόμενες με προϊόντα χαλαρών πλευρικών κορημάτων.
Χαλαρά κοκκώδη ή μαλακά ιλυοαργιλικά εδάφη, εφόσον έχει αποδειχθεί ότι είναι επικίνδυνα από άποψη δυναμικής συμπυκνώσεως ή απώλειας αντοχής.
Πρόσφατες χαλαρές επιχωματώσεις (μπάζα). Οργανικά εδάφη. Εδάφη κατηγορίας Γ με επικινδύνως μεγάλη κλίση.
|
Πίνακας 2.6: Μέγιστες Τιμές Συντελεστή Συμπεριφοράς q.
Υλικό
|
Δομικό σύστημα
|
q
|
1. Οπλισμένο σκυρόδεμα
|
α. Πλαίσια ή μικτά συστήματα
|
3.50
|
β. Συστήματα τοιχωμάτων που λειτουργούν σαν πρόβολοι
|
3.00
|
γ. Συστήματα στα οποία τουλάχιστον το 50% της συνολικής μάζας βρίσκεται στο ανώτερο 1/3 του ύψους.
|
2.00
|
2. Χάλυβας
|
α. Πλαίσια
|
4.00
|
β. Δικτυωτοί σύνδεσμοι με εκκεντρότητα *
|
4.00
|
γ. Δικτυωτοί σύνδεσμοι χωρίς εκκεντρότητα:
|
|
|
3.00
|
|
1.50
|
| • | σύνδεσμοι τύπου Κ (όπου επιτρέπεται *) |
|
1.00
|
* Βλέπε Παράρτημα Γ.
|
|
3. Τοιχοποιία
|
α. Με οριζόντια διαζώματα
|
1.50
|
β. Με οριζόντια και κατακόρυφα διαζώματα
|
2.00
|
γ. Οπλισμένη (κατακόρυφα και οριζόντια)
|
2.50
|
4. Ξύλο
|
α. Πρόβολοι
|
1.00
|
β. Δοκοί - Τόξα - Κολλητά πετάσματα
|
1.50
|
γ. Πλαίσια με κοχλιώσεις
|
2.00
|
δ. Πετάσματα με ηλώσεις
|
3.00
|
Πίνακας 2.7: Συντελεστής θεμελίωσης θ.
Προϋποθέσεις
|
|
1)α.
|
Το κτίριο διαθέτει ένα υπόγειο
|
0.90
|
1)β.
|
Η θεμελίωση του κτιρίου είναι γενική κοιτόστρωση
|
1)γ.
|
Η θεμελίωση του κτιρίου είναι με πασσάλους που φέρουν δοκούς σύνδεσης στην κεφαλή
|
2)α.
|
Το κτίριο διαθέτει δύο τουλάχιστον υπόγεια
|
0.80
|
2)β.
|
Το κτίριο διαθέτει ένα τουλάχιστον υπόγειο και η θεμελίωση είναι γενική κοιτόστρωση
|
2)γ.
|
Η θεμελίωση του κτιρίου είναι με πασσάλους που συνδέονται με ενιαίο κεφαλόδεσμο (όχι αναγκαστικά ενιαίου πάχους)
|
Παρατήρηση: Υπόγειος θεωρείται ένας όροφος όταν έχει περιμετρικά τοιχώματα έτσι ώστε οι συνδεόμενες πλάκες να είναι πρακτικά αμετάθετες.
|
Πίνακας 2.8: Τιμές ποσοστού απόσβεσης ζ.
Είδος Κατασκευής
|
ζ %
|
Μεταλλική:
|
με συγκολλήσεις
|
2
|
|
με κοχλιώσεις
|
4
|
Σκυρόδεμα:
|
άοπλο
|
3
|
|
οπλισμένο
|
5
|
|
προεντεταμένο
|
4
|
Τοιχοποιία
|
οπλισμένη
|
6
|
|
διαζωματική
|
5
|
Ξύλινη
|
κολλητή
|
4
|
|
κοχλιωτή
|
4
|
|
ηλωτή
|
5
|