pst

Παράρτημα ΣΤ: Ισοδύναμες στατικές εκκεντρότητες


Συνδεθείτε στην Υπηρεσία Νομοσκόπιο
Είσοδος στην υπηρεσία Νομοσκόπιο.
   
Χρήστης
Κωδικός
  Υπενθύμιση στοιχείων λογαριασμού
   
 
Νέοι χρήστες
Εάν είστε νέος χρήστης, θα πρέπει να δημιουργήσετε ένα ΔΩΡΕΑΝ λογαριασμό προκειμένου να φύγει το παράθυρο αυτό και να αποκτήσετε πλήρη πρόσβαση στην υπηρεσία Νομοσκόπιο.
Δημιουργία νέου λογαριασμού

 

 

Ισοδύναμες στατικές εκκεντρότητες

 

1. Οι ισοδύναμες στατικές εκκεντρότητες των σεισμικών δυνάμεων Fi,x και Fi,y σε ένα κανονικό κατά το ύψος κτίριο υπολογίζονται από τις παρακάτω σχέσεις (στις οποίες για λόγους απλότητας έχει παραλειφθεί ο δείκτης (i) του διαφράγματος) :

 

Eqn420

 

Eqn421

 

 

 

 

eak2000.7

 

Σχήμα ΣΤ.1: Ισοδύναμες στατικές εκκεντρότητες

 

όπου:

 

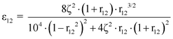
Eqn422

 

Eqn423

 

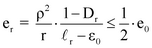
Eqn424

 

 

γωνία θ, ε0 = e0 / r, μ = p / r, A1 = 1 - ε0 x tan(θ), A2 = 1 + ε0 x cot(θ), r =  ακτίνα αδράνειας, δr,1 = cot(θ) - lr, δr,2 = tan(θ) + lr, lr = Lr / r,

 

Eqn425

 

Eqn426

 

 

Για τον προσδιορισμό της γωνίας θ υπολογίζεται πρώτα η οξεία γωνία α0 (θετική ή αρνητική) από τη σχέση tan(α0) = 2 ε0/(ε022 -1) και στη συνέχεια λαμβάνεται θ = α0/2 για α0 > 0 ή θ = 90° -| α0/2 | για α0 < 0. Η εκκεντρότητα e0 λαμβάνεται πάντοτε με θετικό πρόσημο και οι θετικές τιμές των ef, er μετρώνται από το Ρ0 προς τις κατευθύνσεις Eqn427 ή Eqn428 των προβολών του κέντρου μάζας Μi επάνω στους κύριους άξονες x ή y. Επίσης τα Lr,x, Lr,y, (θετικά πάντοτε) μετρώνται από την περίμετρο που ορίζουν τα κατακόρυφα φέροντα στοιχεία.

 

Ειδικότερα, οι τύποι εφαρμόζονται χωριστά για κάθε κύρια διεύθυνση x ή y του κτιρίου και για κάθε διάφραγμα (i) (βλέπε Σχήμα ΣΤ.1) εισάγεται:

 

Η στατική εκκεντρότητα eo,i κατά την θεωρούμενη κύρια διεύθυνση x ή y (δηλαδή eo,x,i ή eo,y,i).

 

Η ακτίνα αδράνειας ri του διαφράγματος (i).

 

H ακτίνα δυστρεψίας ρ του κτιρίου κατά την κύρια διεύθυνση x ή y (δηλαδή ρx ή ρy).

 

Οι λόγοι εo,i = eo,i/ri, μi = ρ/ri, lri = Lri/ri, κατά την θεωρούμενη κύρια διεύθυνση x ή y (δηλαδή εox,i = eox,i/ri, μx,i = ρx/ri, lr,x,i = Lr,x,i/ri κ.λ.π.).

 

Η παράμετρος n = 1 για Τ ≤ Τ2 και n = 2/3 για Τ > Τ2, όπου Τ η θεμελιώδης ασύζευκτη ιδιοπερίοδος του κτιρίου κατά την θεωρούμενη κύρια διεύθυνση x ή y (δηλαδή Τx ή Τy).

 

Το ποσοστό κρίσιμης απόσβεσης ζ (σε %).

 

Η εκκεντρότητα er είναι δυνατόν να πάρει και αρνητικές τιμές σε στρεπτικά ευαίσθητα συστήματα. Οι περιορισμοί ef ≥ eo και er ≤ 1/2 eo αποβλέπουν στη μείωση των ανελαστικών μετατοπίσεων της εύκαμπτης πλευράς και των απαιτήσεων πλαστιμότητας της δύσκαμπτης πλευράς του κτιρίου.

 



Copyright © 2017 TechnoLogismiki. Με την επιφύλαξη παντός δικαιώματος.