| Συνδεθείτε στην Υπηρεσία Νομοσκόπιο | | | | | Νέοι χρήστες | | Εάν είστε νέος χρήστης, θα πρέπει να δημιουργήσετε ένα ΔΩΡΕΑΝ λογαριασμό προκειμένου να φύγει το παράθυρο αυτό και να αποκτήσετε πλήρη πρόσβαση στην υπηρεσία Νομοσκόπιο. | | Δημιουργία νέου λογαριασμού | | |
1. Το σύστημα προσφοράς μελέτης και κατασκευής εφαρμόζεται μόνο στις περιπτώσεις έργων που απαιτούν ειδικούς τρόπους κατασκευής ή μεθόδους που καλύπτονται από εξειδικευμένες τεχνογνωσίες ή άλλα κατοχυρωμένα δικαιώματα ή στα έργα με ιδιομορφίες ως προς τον τρόπο και τις φάσεις κατασκευής τους ή αν κρίνεται σκόπιμος ο συνδυασμός βελτίωσης ή ολοκλήρωσης ή αναθεώρησης υπάρχουσας μελέτης της υπηρεσίας με την κατασκευή ή αναζήτηση εναλλακτικών λύσεων. Με απόφαση του Υπουργού Ανάπτυξης, Ανταγωνιστικότητας, Υποδομών, Μεταφορών και Δικτύων, η οποία εκδίδεται ύστερα από αιτιολογημένη γνώμη του Τεχνικού Συμβουλίου Τμήματος Κατασκευών της Γενικής Γραμματείας Δημοσίων Έργων, καθορίζονται είδη τεχνικών έργων, που πληρούν γενικά τις ανωτέρω προϋποθέσεις και επιτρέπεται να δημοπρατούνται με το σύστημα μελέτης και κατασκευής. Για την εφαρμογή του συστήματος αυτού σε κάθε συγκεκριμένη περίπτωση, απαιτείται προηγούμενη απόφαση του Υπουργού Ανάπτυξης, Ανταγωνιστικότητας, Υποδομών, Μεταφορών και Δικτύων, η οποία εκδίδεται ύστερα από αιτιολογημένη γνώμη του Τεχνικού Συμβουλίου Τμήματος Κατασκευών της Γενικής Γραμματείας Δημοσίων Έργων του Υπουργείου, εφόσον συντρέχουν οι προϋποθέσεις του εδαφίου α'. Αποφάσεις του Υπουργού Υποδομών, Μεταφορών και Δικτύων, με τις οποίες εγκρίνεται η δημοπράτηση δημοσίων έργων με το σύστημα μελέτη - κατασκευή και οι οποίες έχουν εκδοθεί μέχρι τη θέση σε ισχύ της υπουργικής απόφασης του δεύτερου εδαφίου της παρούσας παραγράφου, παραμένουν σε ισχύ μέχρι τις 31-12-2014, ημερομηνία κατά την οποία πρέπει να έχουν υποβληθεί οι φάκελοι προσφορών των σχετικών δημοπρασιών.
Αποφάσεις του Υπουργού Υποδομών, Μεταφορών και Δικτύων, με τις οποίες εγκρίνεται η δημοπράτηση δημοσίων έργων με το σύστημα μελέτη - κατασκευή και οι οποίες έχουν εκδοθεί μέχρι τη θέση σε ισχύ της υπουργικής απόφασης του δεύτερου εδαφίου της παραγράφου αυτής, παραμένουν σε ισχύ μέχρι την 31-12-2015, ημερομηνία κατά την οποία πρέπει να έχουν υποβληθεί οι φάκελοι προσφορών των σχετικών δημοπρασιών
2. Απαραίτητη προϋπόθεση για την επιλογή του συστήματος προσφοράς που περιλαμβάνει μελέτη και κατασκευή πέρα από τα οριζόμενα στην προηγούμενη παράγραφο, είναι η ύπαρξη εγκεκριμένης προμελέτης και οικονομοτεχνικής μελέτης της υπηρεσίας για τον καθορισμό του προϋπολογισμού υπηρεσίας. Τα τεύχη δημοπράτησης περιλαμβάνουν μεταξύ των άλλων Κανονισμό Μελετών Έργου και Πρότυπα Κατασκευής Έργου, τα οποία συντάσσονται ειδικά για το προς δημοπράτηση έργο ή υπάρχουν και εφαρμόστηκαν σε παρόμοια έργα.
Μετά την έγκριση της προκαταρκτικής μελέτης της υπηρεσίας και προ της έγκρισης της προμελέτης προηγείται η εκπόνηση όλων των αναγκαίων καλούμενων υποστηρικτικών μελετών, όπως π.χ. είναι οι μελέτες των συνθηκών του έργου και όλες οι απαραίτητες πράξεις ή αποφάσεις που επιτρέπουν την ακώλυτη εφαρμογή της σύμβασης, όπως π.χ. αδειοδοτήσεις συναρμόδιων φορέων.
Οι διαγωνιζόμενοι υποβάλλουν στη δημοπρασία τουλάχιστον προμελέτη όλων των απαραίτητων έργων ή οριστική μελέτη προκειμένου για κτιριακά έργα. Οι μελετητές όλων των διαγωνιζομένων πρέπει να έχουν τα κατάλληλα προσόντα, σύμφωνα με την ισχύουσα νομοθεσία για τα πτυχία μελετητών και γραφείων μελετών ή ισοδύναμη εμπειρία προκειμένου για ευρωπαϊκά γραφεία μελετών με έδρα εκτός Ελλάδας.
3. Κατά την εφαρμογή του συστήματος αυτού μπορεί με τη διακήρυξη να ζητείται από τους διαγωνιζόμενους, εκτός από την οικονομική τους προσφορά, η συμπλήρωση ή σύνταξη μελετών, ο προσδιορισμός τεχνολογικών χαρακτηριστικών και προδιαγραφών επιμέρους στοιχείων του έργου ή η υποβολή προτάσεων - λύσεων σε δεδομένο τεχνικό πρόβλημα ή ο καθορισμός της Προθεσμίας για την αποπεράτωση κατασκευής του έργου σε συνδυασμό με τα λειτουργικά έξοδα και την αποδοτικότητα της επένδυσης. Τα ανωτέρω ζητούμενα προσαρμόζονται στο αντικείμενο της κάθε σύμβασης.
4. Η οικονομική προσφορά περιλαμβάνει το εργολαβικό αντάλλαγμα κατ' αποκοπή για ολόκληρο το έργο ή για τμήματα του έργου. Με τη διακήρυξη μπορεί να ζητείται και συμπλήρωση τιμολογίου από το διαγωνιζόμενο, προκειμένου να διαπιστωθεί ο βαθμός προετοιμασίας της οικονομικής προσφοράς ή να αποτιμηθούν τυχόν διαφοροποιήσεις που ενδεχόμενα θα προκύψουν από απρόβλεπτες περιστάσεις ή θα ζητηθούν από την υπηρεσία.
5. Για την ανάδειξη του αναδόχου, κατά το σύστημα του παρόντος άρθρου, λαμβάνονται υπόψη οι οικονομικές προσφορές σε συνδυασμό με την αξιολόγηση των τεχνικών προσφορών. Η Επιτροπή διαγωνισμού κατ' αρχήν ελέγχει κατά πόσον οι τεχνικές προσφορές τηρούν τις Τεχνικές προδιαγραφές που καθορίζονται με τα Συμβατικά Τεύχη και ανακοινώνει το αποτέλεσμα με πρακτικό στο οποίο αποφασίζει ποιες προσφορές γίνονται δεκτές και ποιες απορρίπτονται. Το πρακτικό αυτό ανακοινώνεται στους διαγωνιζόμενους. Κατά του ανωτέρω πρακτικού χωρούν ενστάσεις εντός πέντε (5) ημερών από την ανακοίνωση του. Μετά την εκδίκαση των ενστάσεων προχωρεί η διαδικασία της κρίσης και αξιολόγησης των τεχνικών προσφορών από την Επιτροπή διαγωνισμού και συντάσσεται νέο πρακτικό που ανακοινώνεται στους ενδιαφερόμενους πριν ανοιχθούν οι οικονομικές προσφορές. Κατά του πρακτικού αυτού χωρούν επίσης ενστάσεις εντός πέντε (5) ημερών από της ανακοινώσεως του στους διαγωνιζόμενους.
Τα κριτήρια της αξιολόγησης και ο βαθμός επιρροής τους στην επιδιωκόμενη βέλτιστη ποιότητα ορίζονται πάντοτε στη διακήρυξη. Οι κρινόμενες μελέτες βαθμολογούνται πάντοτε με εκατονταβάθμια βαθμολογία και καθορίζεται η ελάχιστη επιτρεπόμενη αποδεκτή βαθμολογία, η οποία δεν μπορεί να είναι μικρότερη από το εβδομήντα (70).
Ελάχιστη βαθμολογία μπορεί να ορίζεται και για κριτήριο ή κριτήρια που επηρεάζουν σημαντικά την όλη ποιότητα της τεχνικής προσφοράς. Προσφορά που βαθμολογείται κάτω από την ελάχιστη συνολική επιτρεπόμενη βαθμολογία απορρίπτεται. Αν ορίζεται στη διακήρυξη, το ίδιο ισχύει και αν κριτήριο ή κριτήρια βαθμολογήθηκαν κάτω από την ελάχιστη βαθμολογία που καθορίστηκε στο κριτήριο ή στα κριτήρια αυτά.
θέσπιση κριτηρίου ή υποκριτηρίου για την εμπειρία τόσο του μελετητή του διαγωνιζόμενου όσο και αυτού τούτου του διαγωνιζόμενου σε περίπτωση διαγωνισμού ανοιχτής διαδικασίας απαγορεύεται. Όταν το κύριο αντικείμενο της τεχνικής προσφοράς είναι η μελέτη του διαγωνιζόμενου, η συνολική βαθμολογία τυχόν κριτηρίων που αφορούν σε άλλες απαιτήσεις δεν μπορεί να υπερβαίνει τα 15/100.
6. Σε κάθε υποβαλλόμενη προσφορά αντιστοιχεί η ανηγμένη προσφορά της που προκύπτει ως συνάρτηση της οικονομικής προσφοράς (Π) και της συνολικής βαθμολογίας (Β), δηλαδή ισχύει Πα=φ(Π, Β) όπου Πα η ανηγμένη προσφορά. Προσωρινή μειοδότρια ή βέλτιστη προσφορά είναι η ελάχιστη από τις Πα.
Για την εξεύρεση του τύπου της Πα, ο οποίος ορίζεται στη διακήρυξη, καθορίζεται σε κάθε περίπτωση έργου το τμήμα της Π που επηρεάζεται από την επιδιωκόμενη ποιότητα της τεχνικής προσφοράς και το υπόλοιπο τμήμα της Π στο οποίο δεν επιδρά η τεχνική αξιολόγηση.
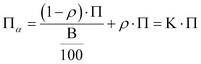
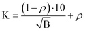
Αν C=p.n όπου ρ είναι το υπόλοιπο τμήμα της Π, το μη επηρεαζόμενο από την τεχνική αξιολόγηση και όταν ρ<1,0, τότε το πρώτο τμήμα της Π είναι (1-ρ).Π και σε αυτό επιδρά η βαθμολογία Β/100.
Διαμορφώνεται έτσι ο γενικός τύπος της Πα που είναι:

όπου:

Για τιμές του ρ ίσες προς 0,00 ή 0,05 ή 0,10 ή 0,15 κλπ. προκύπτουν διάφοροι τύποι της Πα. Η τιμή του ρ ορίζεται πάντοτε στη διακήρυξη και αιτιολογείται συνοπτικά. Για να είναι επιλέξιμο το σύστημα προσφοράς μελέτης και κατασκευής και να ισχύουν τα ανωτέρω, πρέπει ρ <, 0,40.
Ο διαιρέτης Β/100 που επιδρά στο τμήμα (1-ρ).Π απαγορεύεται να εμφανίζεται με δύναμη, μεγαλύτερη της πρώτης. Αν στη συνάρτηση Πα=φ(Π.Β), επιδιώκεται η ενίσχυση της επιρροής της Π μπορεί να τίθεται ως διαιρέτης του (1-ρ).Π, ο (Β/100) 0,5 οπότε,

και προκύπτουν αντίστοιχοι τύποι για την Πα.
6Α. Δεν επιτρέπεται ο συνδυασμός του συστήματος προσφοράς μελέτης και κατασκευής με τα υπό στοιχεία α' β' και γ' συστήματα προσφοράς που προβλέπονται στο άρθρο 4 του παρόντος νόμου.
7. Όταν το σύστημα προσφοράς μελέτης - κατασκευής συνδυάζεται με άλλο ή άλλα συστήματα προσφοράς και στο σύστημα μελέτης - κατασκευής αντιστοιχεί τμήμα που υπερβαίνει το ήμισυ του προϋπολογισμού υπηρεσίας, θεωρουμένου ότι περιλαμβάνει τη δαπάνη των εργασιών (με τα γενικά έξοδα και το όφελος της επιχείρησης) και τις απρόβλεπτες δαπάνες (απρόβλεπτα), για να είναι ομαλή η συνολική προσφορά πρέπει για τον προϋπολογισμό προσφοράς των τμημάτων του προϋπολογισμού Υπηρεσίας που αντιστοιχούν στο άλλο ή στα άλλα συστήματα προσφοράς, να ισχύει η σχέση:

ΠΥ είναι ο προϋπολογισμός υπηρεσίας του κάθε άλλου τμήματος του συνολικού προϋπολογισμού υπηρεσίας, εκτός από αυτό που αντιστοιχεί στο σύστημα προσφοράς μελέτης - κατασκευής.
ΠΠ είναι ο προϋπολογισμός προσφοράς που αντιστοιχεί στον ανωτέρω ΠΥ και εμ είναι η μέση έκπτωση επί τοις εκατό (%) που προκύπτει από τη σύγκριση του συνολικού προϋπολογισμού προσφοράς προς το συνολικό προϋπολογισμό υπηρεσίας.
Για την εξεύρεση του συνολικού προϋπολογισμού προσφοράς, για το τμήμα που αντιστοιχεί στο σύστημα προσφοράς μελέτης - κατασκευής τίθεται η αντίστοιχη Πα.
Αν έστω και σε ένα από τα άλλα τμήματα του προϋπολογισμού υπηρεσίας, ο αντίστοιχος προϋπολογισμός προσφοράς δεν πληροί την ανωτέρω σχέση η συνολική προσφορά απορρίπτεται ως απαράδεκτη.
8. Όταν το σύστημα προσφοράς μελέτης - κατασκευής συνδυάζεται με άλλο ή άλλα συστήματα προσφοράς και στο σύστημα μελέτης - κατασκευής αντιστοιχεί τμήμα που υπολείπεται του ημίσεως του προϋπολογισμού υπηρεσίας, θεωρουμένου, όπως στην προηγούμενη παράγραφο, για να είναι ομαλός ο προϋπολογισμός προσφοράς, που αντιστοιχεί στο τμήμα με το σύστημα προσφοράς μελέτης - κατασκευής, εφαρμόζεται ανάλογα η σχέση της προηγούμενης παραγράφου με την επισήμανση ότι ως ΠΠ νοείται η Πα και ως ΠΥ τίθεται ο προϋπολογισμός υπηρεσίας του τμήματος με το σύστημα προσφοράς μελέτης - κατασκευής. Αν στο άλλο σύστημα προσφοράς εφαρμόζονται οι διατάξεις του άρθρου 26 του παρόντος, οι εκπτώσεις Ε% προκύπτουν από τη σύγκριση των αντίστοιχων προϋπολογισμών προσφορών προς τον προϋπολογισμό υπηρεσίας του τμήματος που υπερβαίνει το ήμισυ του συνολικού προϋπολογισμού υπηρεσίας.
Αν δεν πληρούται η σχέση της προηγούμενης παραγράφου για το τμήμα του προϋπολογισμού υπηρεσίας που αντιστοιχεί στο σύστημα προσφοράς μελέτης - κατασκευής η συνολική προσφορά απορρίπτεται.
9. Όταν συνδυάζονται περισσότερα από ένα συστήματα προσφοράς υπάρχουν και περισσότεροι από ένας σφραγισμένοι φάκελοι των αντίστοιχων μερικών οικονομικών προσφορών. Όσο διαρκεί η εξέταση της μερικής προσφοράς που αντιστοιχεί στο κύριο σύστημα προσφοράς, δηλαδή αυτό στο οποίο αντιστοιχεί τμήμα που υπερβαίνει το ήμισυ του προϋπολογισμού Υπηρεσίας η άλλη μερική προσφορά παραμένει σφραγισμένη.