| Συνδεθείτε στην Υπηρεσία Νομοσκόπιο | | | | | Νέοι χρήστες | | Εάν είστε νέος χρήστης, θα πρέπει να δημιουργήσετε ένα ΔΩΡΕΑΝ λογαριασμό προκειμένου να φύγει το παράθυρο αυτό και να αποκτήσετε πλήρη πρόσβαση στην υπηρεσία Νομοσκόπιο. | | Δημιουργία νέου λογαριασμού | | |
1. Η παράγραφος 8 του άρθρου 22 της Κωδικοποίησης Νομοθεσίας Κατασκευής Δημοσίων Έργων (κωδικοποιημένος νόμος 3669/2008 (ΦΕΚ 116/Α/2008)) αντικαθίσταται ως εξής:
{8. Ο πλήρης έλεγχος των δικαιολογητικών συμμετοχής και των οικονομικών προσφορών ολοκληρώνεται, με την επιφύλαξη των επομένων εδαφίων για τον έλεγχο των εγγυητικών επιστολών, την ημέρα της δημοπρασίας και διενεργείται κατά τη σειρά της μειοδοσίας, αρχίζοντας από τον πρώτο μειοδότη. Η επιτροπή διαγωνισμού πριν την ολοκλήρωση του πρακτικού δημοπρασίας που αφορά στον έλεγχο των τυπικών δικαιολογητικών των διαγωνιζομένων επικοινωνεί με τους φορείς που φέρονται να έχουν εκδώσει τις εγγυητικές επιστολές προκειμένου να διαπιστώσει την εγκυρότητά τους. Αν διαπιστωθεί πλαστότητα εγγυητικής επιστολής, ο υποψήφιος αποκλείεται από το διαγωνισμό, υποβάλλεται μηνυτήρια αναφορά στον αρμόδιο εισαγγελέα και κινείται διαδικασία πειθαρχικής δίωξης, σύμφωνα με τις διατάξεις των άρθρων 82 και επόμενα του παρόντος.
Σε περίπτωση που τα αρμόδια διοικητικά όργανα δεν ενεργήσουν τα παραπάνω επιβάλλονται οι πειθαρχικές ποινές που προβλέπονται στο άρθρο 40 του παρόντος.
Αν η ολοκλήρωση του ελέγχου δεν είναι δυνατή την ίδια μέρα, λόγω του μεγάλου αριθμού των προσφορών και του ελέγχου των εγγυητικών επιστολών, ελέγχονται τουλάχιστον οι 10 πρώτες κατά σειρά μειοδοσίας προσφορές. Στην περίπτωση αυτή η διαδικασία συνεχίζεται τις επόμενες εργάσιμες ημέρες, εκτός αν υφίσταται σπουδαίος λόγος για την αναβολή της σε ημέρα και ώρα που ανακοινώνεται με τοιχοκόλληση στον πίνακα ανακοινώσεων της υπηρεσίας.}
2. Στο άρθρο 54 του κωδικοποιημένου νόμου 3669/2008 προστίθενται παράγραφοι 22 έως 28 ως εξής:
{22. Κατ' εξαίρεση, για την περίοδο μετά την 01-01-2013 και εφεξής για την οποία δεν έχουν συνταχθεί και εγκριθεί τα σχετικά Πρακτικά Διαπίστωσης Τιμών, μέχρι τη σύσταση και λειτουργία του Εθνικού Συστήματος Τεχνικών Προδιαγραφών και Τιμολόγησης Τεχνικών Έργων (ΕΣ ΤΠ & ΤΙΜ ΤΕ), κατά τα οριζόμενα στη συνέχεια του παρόντος άρθρου, η αναθεώρηση (αύξηση ή μείωση) για κάθε αναθεωρητική περίοδο υπολογίζεται με τον ακόλουθο τρόπο:
α) Για τις συβάσεις, που έχουν δημοπρατηθεί πριν την 01-01-2013 και διατίθενται κατά την υλοποίησή τους εγκεκριμένα Πρακτικά Διαπίστωσης Τιμών, η αναθεώρηση για τα τρίμηνα για τα οποία δεν υφίστανται εγκεκριμένα Πρακτικά Διαπίστωσης Τιμών θα υπολογίζεται με βάση τον ακόλουθο τύπο:

Όπου:
ν = Η εξεταζόμενη αναθεωρητική περίοδος.
ΔΤV = Η αναθεώρηση της εξεταζόμενης τιμής μονάδος Τ, κατά την περίοδο ν.
Τo = Η εξεταζόμενη τιμή μονάδος της σύμβασης κατά το χρόνο υποβολής της προσφοράς.
ΑΤ0 = Η τιμή που προκύπτει αφού συμπληρωθεί με βασικές τιμές του χρόνου εκκίνησης της σύμβασης το οριζόμενο για την εξεταζόμενη τιμή Τ, άρθρο ανάλυσης τιμών (ή συνδυασμός άρθρων με τα βάρη τους), όπως αυτό (ή αυτά) προσδιορίζονται από τη σύμβαση, σύμφωνα με την παράγραφο 7 του παρόντος άρθρου.
ΑΤα = H τιμή που προκύπτει όπως παραπάνω, αλλά με βασικές τιμές του τελευταίου εγκεκριμένου Πρακτικού Διαπίστωσης.
ΓΔΤΚV = Ο μέσος όρος του μηνιαίου Γενικού Δείκτη Τιμών Καταναλωτή της Ελληνικής Στατιστικής Αρχής (ΓΔΤΚΑ) για την εξεταζόμενη αναθεωρητική περίοδο (ημερολογιακό τρίμηνο).
Η τιμή αυτή διαπιστώνεται και υπολογίζεται από την Επιτροπή Διαπιστώσεως Τιμών Δημοσίων Έργων με βάση τη σχετική δημοσιευομένη χρονοσειρά μηνιαίων δεικτών της Ελληνικής Στατιστικής Αρχής.
ΓΔΤΚα = Ο μέσος όρος του μηνιαίου Γενικού Δείκτη Τιμών Καταναλωτή της Ελληνικής Στατιστικής Αρχής (ΓΔΤΚΑ) για το ημερολογιακό τρίμηνο που αντιστοιχεί στο τελευταίο εγκεκριμένο Πρακτικό Διαπίστωσης. Η τιμή αυτή διαπιστώνεται και υπολογίζεται από την Επιτροπή Διαπιστώσεως Τιμών Δημοσίων Έργων με βάση τη σχετική δημοσιευομένη χρονοσειρά μηνιαίων δεικτών της Ελληνικής Στατιστικής Αρχής.
σ = σταθερός συντελεστής που αντιπροσωπεύει το μη αναθεωρούμενο μέρος της εξεταζόμενης τιμής Τ, όπως αυτός υπολογίζεται κατά τα αναφερόμενα παραπάνω στο παρόν άρθρο.
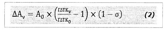
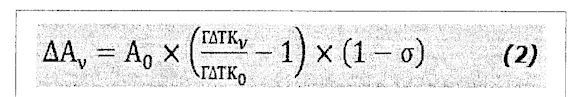
β) Για τις συμβάσεις, που έχουν δημοπρατηθεί μετά την 01-01-2013 και δεν υπάρχουν εγκεκριμένα Πρακτικά Διαπίστωσης Τιμών κατά την υλοποίησή τους, η αναθεώρηση υπολογίζεται με βάση τον ακόλουθο τύπο:

Όπου:
ν = Η εξεταζόμενη αναθεωρητική περίοδος.
ΔΑV = Η αναθεώρηση των εργασιών για την εξεταζόμενη περίοδο ν.
Α0 = η αξία των εργασιών, που υπόκεινται σε αναθεώρηση κατά την εξεταζόμενη αναθεωρητική περίοδο, σύμφωνα με τα οριζόμενα ανωτέρω στο παρόν άρθρο, με βάση τις τιμές της αρχικής προσφοράς.
ΓΔΤΚV = Ο μέσος όρος του μηνιαίου Γενικού Δείκτη Τιμών Καταναλωτή της Ελληνικής Στατιστικής Αρχής (ΓΔΤΚΑ) για την εξεταζόμενη αναθεωρητική περίοδο (ημερολογιακό τρίμηνο).
Η τιμή αυτή διαπιστώνεται και υπολογίζεται από την Επιτροπή Διαπιστώσεως Τιμών Δημοσίων Έργων με βάση τη σχετική δημοσιευομένη χρονοσειρά μηνιαίων δεικτών της Ελληνικής Στατιστικής Αρχής.
ΓΔΤΚ0 = Ο μέσος όρος του μηνιαίου Γενικού Δείκτη Τιμών Καταναλωτή της Ελληνικής Στατιστικής Αρχής (ΓΔΤΚΑ) για το ημερολογιακό τρίμηνο, που λαμβάνεται ως χρόνος εκκίνησης για τον υπολογισμό της αναθεώρησης, κατά τα αναφερόμενα στο παρόν άρθρο. Η τιμή αυτή διαπιστώνεται και υπολογίζεται από την Επιτροπή Διαπιστώσεως Τιμών Δημοσίων Έργων με βάση τη σχετική δημοσιευομένη χρονοσειρά μηνιαίων δεικτών της Ελληνικής Στατιστικής Αρχής.
σ = σταθερός συντελεστής που αντιπροσωπεύει το μη αναθεωρούμενο μέρος των συμβατικών τιμών, όπως αυτός υπολογίζεται κατά τα αναφερόμενα παραπάνω στο παρόν άρθρο.
22.Α. Για δημόσια έργα που εκτελούνται από ημεδαπές Αναθέτουσες Αρχές, εκτός Ελλάδας, σε χώρα της Ευρωπαϊκής Ένωσης η αναθεώρηση τιμών υπολογίζεται με βάση τον ισχύοντα τύπο:

όπου ο Γενικός Δείκτης Τιμών Καταναλωτή (ΓΔΤΚ) διαπιστώνεται και υπολογίζεται για την εξεταζόμενη αναθεωρητική περίοδο (ημερολογιακό τρίμηνο) από την Επιτροπή Διαπιστώσεως Τιμών Δημοσίων Έργων (ΕΔΤΔΕ) με βάση τη σχετική δημοσιευόμενη χρονοσειρά μηνιαίων δεικτών της Στατιστικής Υπηρεσίας της χώρας που κατασκευάζεται το έργο.
Οι διατάξεις αυτές εφαρμόζονται και στις συμβάσεις των παραπάνω έργων, που βρίσκονται σε εξέλιξη, ανεξαρτήτως του χρόνου δημοπράτησής τους.
23. Μέχρι τη σύσταση και λειτουργία του Εθνικού Συστήματος Τεχνικών Προδιαγραφών και Τιμολόγησης Τεχνικών Έργων, αναστέλλεται η έκδοση Πρακτικών Διαπίστωσης βασικών τιμών υλικών, εργατικών και μισθωμάτων μηχανημάτων από τη Γενική Γραμματεία Δημοσίων Έργων. Η λειτουργία της Επιτροπής Διαπιστώσεως Τιμών Δημοσίων Έργων αφορά μόνο στη διαπίστωση του Γενικού Δείκτη Τιμών Καταναλωτή της Ελληνικής Στατιστικής Αρχής και στον υπολογισμό του μέσου όρου του δείκτη αυτού για κάθε ημερολογιακό τρίμηνο (ΓΔΤΚ) για την εφαρμογή των τύπων (1) και (2) της παραγράφου 22 του παρόντος άρθρου.
24. Το Εθνικό Σύστημα Τεχνικών Προδιαγραφών και Τιμολόγησης Τεχνικών Έργων τελεί υπό την εποπτεία του Υπουργείου Υποδομών, Μεταφορών και Δικτύων και αποτελεί ένα συνεκτικό σύνολο τυποποιημένων και εναρμονισμένων αρχών, κανόνων και μεθόδων που υποστηρίζουν μέσω του διαδικτύου, κατά τρόπο έγκυρο, αξιόπιστο και δυναμικά εξελισσόμενο, τον προγραμματισμό, το σχεδιασμό, την κατασκευή και τη λειτουργία των τεχνικών έργων, σε θέματα όπως:
α) Η στατιστική αποτύπωση των βασικών τιμών των συντελεστών παραγωγής (παρατηρητήριο τιμών για εργατικά, υλικά, μηχανικό εξοπλισμό, κ.λ.π.), που συμμετέχουν στην εκτέλεση κάθε επιμέρους εργασίας και η παρακολούθηση σε εθνικό επίπεδο της γεωγραφικής διαφοροποίησής τους, καθώς και της διαχρονικής μεταβολής τους, με δόκιμες στατιστικά μεθοδολογίες.
β) Η κατάρτιση και διαρκής ενημέρωση σύγχρονων τυποποιημένων περιγραφικών άρθρων τιμολογίων και αντιστοίχων αναλύσεων τιμών, για τη μονοσήμαντη περιγραφή, την ανάλυση της δαπάνης και την τιμολόγηση των εργασιών κατασκευής των πάσης φύσεως νέων έργων ή άλλων τεχνικών εργασιών όπως ενδεικτικά συντήρησης, αποκατάστασης βλαβών, ενεργειακών παρεμβάσεων σε υφιστάμενα έργα.
γ) Η διαμόρφωση και εφαρμογή ενός αντικειμενικού εξειδικευμένου συστήματος αναθεώρησης / αναπροσαρμογής των συμβατικών τιμών των συμβάσεων έργων, καθώς και των συμβάσεων μελετών και υπηρεσιών του νόμου 3316/2005 κατά την εκτέλεσή τους, εφόσον προβλέπεται από τις σχετικές συμβάσεις.
δ) Η κατάρτιση και διαρκής ενημέρωση σύγχρονων εθνικών τεχνικών προδιαγραφών (ΕΤΕΠ) για τον τομέα του σχεδιασμού, του υπολογισμού, της εκτέλεσης, της λειτουργίας, της συντήρησης και της επίβλεψης των τεχνικών έργων λαμβανομένης υπόψη της χρήσης δομικών προϊόντων εναρμονισμένων με τα ισχύοντα κάθε φορά ευρωπαϊκά πρότυπα, των ευρωπαϊκών τεχνικών εγκρίσεων, των κοινών τεχνικών προδιαγραφών και των διεθνών πρότυπων.
ε) Η κατάρτιση και τήρηση ενός εθνικού μητρώου παραγωγών και προμηθευτών πάσης φύσεως υλικών και ειδών εξοπλισμού, που ενσωματώνονται σε δημόσια έργα και διαδικτυακής βάσης δεδομένων των υλικών και εξοπλισμού που κυκλοφορούν στην εγχώρια αγορά και διαθέτουν τις απαιτούμενες πιστοποιήσεις (CE, εθνική τεχνική έγκριση, περιβαλλοντική δήλωση προϊόντος, κ.λ.π.).
στ) Η αποδελτίωση και στατιστική επεξεργασία του τελικού κόστους κατασκευής των διαφόρων τύπων τεχνικών έργων για τη διαμόρφωση αξιόπιστων δεικτών και ιστορικών στοιχείων κόστους, με βάση τα σχετικά στοιχεία που τηρούνται στα πληροφοριακά συστήματα του Δημοσίου για την παρακολούθηση της πορείας ανάθεσης και εκτέλεσης των δημοσίων συμβάσεων για ελεγκτικούς, δημοσιονομικούς, στατιστικούς και λοιπούς σκοπούς.
ζ) Η ανάπτυξη και διαρκής ενημέρωση βάσεων δεδομένων με οποιαδήποτε άλλα στοιχεία / πληροφορίες απαιτούνται για την απρόσκοπτη λειτουργία του Εθνικού Συστήματος Τεχνικών Προδιαγραφών και Τιμολόγησης Τεχνικών Έργων.
25. Το Εθνικό Σύστημα Τεχνικών Προδιαγραφών και Τιμολόγησης Τεχνικών Έργων καλύπτει υποχρεωτικά τις συμβάσεις μελέτης και κατασκευής τεχνικών έργων, που ανατίθενται από αρχές ή φορείς του δημόσιου τομέα και των οργανισμών τοπικής αυτοδιοίκησης κάθε βαθμού και προαιρετικά τις συμβάσεις που ανατίθενται από φορείς του ιδιωτικού τομέα. Η έναρξη λειτουργίας του Εθνικού Συστήματος Τεχνικών Προδιαγραφών και Τιμολόγησης Τεχνικών Έργων καθορίζεται με κοινή απόφαση του Υπουργού Ανάπτυξης και Ανταγωνιστικότητας και Υποδομών, Μεταφορών και Δικτύων. Η ένταξη των ιδιωτικών έργων στο Εθνικό Σύστημα Τεχνικών Προδιαγραφών και Τιμολόγησης Τεχνικών Έργων μπορεί να γίνει με κοινή απόφαση των Υπουργών Ανάπτυξης και Ανταγωνιστικότητας και Υποδομών, Μεταφορών και Δικτύων.
26. Για την ανάπτυξη, λειτουργία, διαρκή ενημέρωση και υποστήριξη του Εθνικού Συστήματος Τεχνικών Προδιαγραφών και Τιμολόγησης Τεχνικών Έργων συστήνεται ειδικός Φορέας (Φορέας) με την επωνυμία Εταιρία Προδιαγραφών και Τιμολόγησης Τεχνικών Έργων. Η Εταιρία αυτή θα έχει τη μορφή νομικού προσώπου ιδιωτικού δικαίου, μη - κερδοσκοπικού χαρακτήρα, και θα λειτουργεί σε ανταποδοτική βάση. Στη διοίκηση της Εταιρίας θα εκπροσωπούνται ισότιμα όλα τα ενδιαφερόμενα μέρη που εμπλέκονται στην παραγωγή των τεχνικών έργων περιλαμβανομένων και των μελετών και υπηρεσιών του νόμου 3316/2005 (ΦΕΚ 42/Α/2005) ή στην προαγωγή της τεχνολογίας των έργων αυτών, σύμφωνα και με τις διατάξεις του άρθρου 87 του νόμου [Ν] 1943/1991 (ΦΕΚ 50/Α/1991). Η Εταιρία θα τελεί υπό την εποπτεία του Υπουργείου Υποδομών, Μεταφορών και Δικτύων.
27. Η ανάπτυξη του Εθνικού Συστήματος Τεχνικών Προδιαγραφών και Τιμολόγησης Τεχνικών Έργων θα συγχρηματοδοτηθεί με πόρους του Κοινοτικού Πλαισίου Στήριξης μέσω αρμόδιων Διευθύνσεων του Υπουργείου Υποδομών, Μεταφορών και Δικτύων. Για τη μεταφορά τεχνογνωσίας, βάσεων δεδομένων, τεχνικών προδιαγραφών, μεθόδων και διαδικασιών, ο Φορέας μπορεί να συμβάλλεται με Φορείς που λειτουργούν αντίστοιχα συστήματα σε άλλες χώρες της Ευρωπαϊκής Ένωσης ή άλλους σχετικούς φορείς διεθνώς. Τα ιδρυτικά μέλη του Φορέα, στελέχη και εκπρόσωποι περιλαμβανομένων και αυτών, που προσφέρουν υπηρεσίες για την αρχική ανάπτυξη του συστήματος δεν μπορεί να χρηματοδοτούνται από τους πόρους αυτούς.
28. Με κοινή απόφαση των Υπουργών Οικονομικών, Ανάπτυξης και Ανταγωνιστικότητας, Υποδομών, Μεταφορών και Δικτύων ρυθμίζονται τα ειδικότερα θέματα που αφορούν στη συγκρότηση της Εταιρίας και στη λειτουργία και διαχείριση του Εθνικού Συστήματος Τεχνικών Προδιαγραφών και Τιμολόγησης Τεχνικών Έργων, στο δικτυακό τόπο τήρησής του, στη δομή, στο περιεχόμενο και στην πρόσβαση σε αυτό, στα θέματα της οργάνωσης και διοίκησης της Εταιρίας, της εκπροσώπησης των ενδιαφερομένων μερών στη Διοίκηση της Εταιρίας, των συμπράξεων της Εταιρίας με άλλους φορείς του εξωτερικού, των παρεχόμενων υπηρεσιών και στοιχείων, της τιμολόγησης και χρησιμοποίησης των εσόδων της Εταιρίας, καθώς και κάθε άλλο σχετικό θέμα.}
ΣΗΜΕΙΩΣΗ: Η παράγραφος 8 τίθεται όπως αντικαταστάθηκε με την παράγραφο 1 του άρθρου 70 του νόμου 4313/2014 (ΦΕΚ 261/Α/2014).
|
3. Μετά την παράγραφο 3 του άρθρου 59 του κωδικοποιημένου νόμου 3669/2008 προστίθεται παράγραφος 4 ως εξής:
{4. Καθορίζεται ποσοστό έως 2% επί του προϋπολογισμού του έργου, το οποίο διατίθεται για τη διενέργεια ποιοτικών ελέγχων, που διενεργούνται από τη Διεύθυνση Κεντρικού Εργαστηρίου Δημοσίων 'Έργων, από τις άλλες κατά περίπτωση αρμόδιες υπηρεσίες της Γενικής Γραμματείας Υποδομών του Υπουργείου Υποδομών, Μεταφορών και Δικτύων, από τις αρμόδιες υπηρεσίες της οικείας Αποκεντρωμένης Διοίκησης, από φορείς Επιθεώρησης - Πιστοποίησης, διαπιστευμένους κατά την παράγραφο 2Α και από αναγνωρισμένους οργανισμούς κατά την έννοια του άρθρου 40 παράγραφος 7 του νόμου 4281/2014 στο πλαίσιο των ποιοτικών ελέγχων που προβλέπονται από το Πρόγραμμα Ποιότητας Έργου (ΠΠΕ) και τα συμβατικά τεύχη συμπεριλαμβανομένων των ελέγχων της παραγράφου 3. Με κοινή απόφαση των Υπουργών Ανάπτυξης και Ανταγωνιστικότητας και Υποδομών, Μεταφορών και Δικτύων καθορίζεται κλιμακωτά το ποσοστό της προηγούμενης παραγράφου ανάλογα με το ύψος του προϋπολογισμού δημοπράτησης του έργου. Με απόφαση των Υπουργών Οικονομικών, Ανάπτυξης και Ανταγωνιστικότητας και Υποδομών, Μεταφορών και Δικτύων ρυθμίζονται όλα τα θέματα αναφορικά με τους παραπάνω ελέγχους, όπως ο προγραμματισμός, η ανάθεση της διενέργειας των ελέγχων, οι δαπάνες που καλύπτονται, ο τρόπος πληρωμής και κάθε άλλο θέμα σχετικό με την υλοποίηση των ελέγχων και την αποτελεσματικότητά τους.}
4. Η υποπερίπτωση i της περίπτωσης ε' της παραγράφου 8 του άρθρου 100 του κωδικοποιημένου νόμου 3669/2008 αντικαθίσταται ως εξής:
{i. Σύνολο Ιδίων Κεφαλαίων (ΙΚ προς το Σύνολο Υποχρεώσεων (ΣΥ)). Ως Σύνολο Ιδίων Κεφαλαίων (ΙΚ) λαμβάνεται το μέγεθος που αναφέρεται στο σκέλος του παθητικού της εγγεγραμμένης στο Μητρώο Εργοληπτικών Επιχειρήσεων εργοληπτικής επιχείρησης, ως Σύνολο Ιδίων Κεφαλαίων, μετά την αφαίρεση, του Οφειλόμενου Κεφαλαίου και των ποσών που προορίζονται για Αύξηση Μετοχικού Κεφαλαίου.
Τα πιο πάνω οικονομικά στοιχεία προκύπτουν από την οικονομική κατάσταση του προηγούμενου έτους ή από προσωρινή οικονομική κατάσταση που βεβαιώνεται από ορκωτό ελεγκτή και δημοσιεύεται πριν από την υποβολή της αίτησης.
Ως Σύνολο Υποχρεώσεων ορίζεται το άθροισμα των βραχυπρόθεσμων και των μακροπρόθεσμων υποχρεώσεων της επιχείρησης, με εξαίρεση τις μακροπρόθεσμες υποχρεώσεις που δεν αφορούν τραπεζικό δανεισμό, όπως αυτές προσδιορίζονται από βεβαίωση ορκωτού ελεγκτή, αφαιρουμένων των βεβαιωμένων από ορκωτό ελεγκτή τιμολογημένων απαιτήσεων.}
5. Το δεύτερο εδάφιο της υποπερίπτωσης ii της περίπτωσης ε' της παραγράφου 8 του άρθρου 100 του κωδικοποιημένου νόμου 3669/2008 αντικαθίσταται ως εξής:
{Οι δείκτες βιωσιμότητας για επιχειρήσεις που κατατάσσονται στις τάξεις τέταρτη, πέμπτη, έκτη και έβδομη πρέπει να είναι ΙΚ/ΣΥ>0,4 και ΚΕ/ΒΥ>0,6.
Η μη κάλυψη ενός κατ' ελάχιστον των δεικτών βιωσιμότητας συνεπάγεται την υποβάθμιση της εταιρείας κατά μία τάξη από την τάξη, στην οποία καλύπτει τον Τύπο Κατάταξης, τα ελάχιστα οικονομικά όρια και τα ελάχιστα όρια εμπειρίας. Η εταιρεία έχει τη δυνατότητα κατάταξης στην τάξη, στην οποία κάλυπτε τον Τύπο Κατάταξης, τα ελάχιστα οικονομικά όρια και τα ελάχιστα όρια εμπειρίας, εφόσον με τις οικονομικές καταστάσεις της επόμενης διαχειριστικής χρήσης που υποβάλλονται, σύμφωνα με την παράγραφο 7 του άρθρου 92 του παρόντος νόμου καλύπτει τους Δείκτες Βιωσιμότητας, καθώς και τα ελάχιστα όρια οικονομικών και στελέχωσης.
Αν η εταιρεία με τις οικονομικές καταστάσεις και της επόμενης διαχειριστικής χρήσης εξακολουθεί να μην καλύπτει τους δείκτες βιωσιμότητας:
Α) Αν εξακολουθεί να καλύπτει τα ελάχιστα οικονομικά όρια της τάξης της οποίας κατά την αναθεώρηση κάλυπτε τον Τύπο Κατάταξης, τα ελάχιστα οικονομικά όρια και τα ελάχιστα όρια εμπειρίας, υποβαθμίζεται περαιτέρω κατά μία τάξη.
Β) Αν δεν καλύπτει τα ελάχιστα οικονομικά όρια της τάξης, της οποίας κατά την αναθεώρηση κάλυπτε τον Τύπο Κατάταξης, τα ελάχιστα οικονομικά όρια και τα ελάχιστα όρια εμπειρίας, υποβαθμίζεται κατά μία τάξη από την τάξη, στην οποία καλύπτει τα ελάχιστα οικονομικά όρια.
Αν η εταιρεία με μεταγενέστερες οικονομικές καταστάσεις αποδείξει την κάλυψη των Δεικτών Βιωσιμότητας, μπορεί να επανακαταταγεί στην τάξη, της οποίας κάλυπτε όλο το χρονικό διάστημα από την αναθεώρησή της τα ελάχιστα οικονομικά όρια και τα λοιπά πλην των Δεικτών Βιωσιμότητας κριτήρια κατά την αναθεώρησή της. Η κατώτατη τάξη υποβάθμισης της εταιρείας, λόγω μη κάλυψης των Δεικτών Βιωσιμότητας είναι η 2η τάξη.}
6. Η παράγραφος 9 του άρθρου 100 του κωδικοποιημένου νόμου 3669/2008 καταργείται.
7. Η παράγραφος 11 του άρθρου 100 του κωδικοποιημένου νόμου 3669/2008 αντικαθίσταται ως εξής:
{11. Όπου στις διατάξεις περί Μητρώου Εργοληπτικών Επιχειρήσεων γίνεται αναφορά σε προσωρινές οικονομικές καταστάσεις, αυτές υποχρεωτικά συντάσσονται εντός του τελευταίου ημερολογιακού τριμήνου πριν από την υποβολή της αίτησης με λήξη διαχειριστικής περιόδου την τελευταία ημέρα έκαστου ημερολογιακού μήνα. Οι ανωτέρω προσωρινές οικονομικές καταστάσεις πρέπει να είναι πλήρεις και να βεβαιώνονται, σύμφωνα με τα Διεθνή Πρότυπα Ελέγχου, κατόπιν πλήρους ελέγχου από Ορκωτό Ελεγκτή.}
8. Στην παράγραφο 4 του άρθρου 107 του κωδικοποιημένου νόμου 3669/2008 προστίθεται προτελευταίο εδάφιο ως εξής:
{Η εμπειρία στελεχών εργοληπτικών επιχειρήσεων του Μητρώου Εργοληπτικών Επιχειρήσεων για εγγραφή, κατάταξη και αναθεώρηση στο Μητρώο Εμπειρίας Κατασκευαστών (ΜΕΚ) είναι δυνατόν να προέρχεται και από απασχόληση σε άλλη επιχείρηση του Μητρώου Εργοληπτικών Επιχειρήσεων, με την οποία η επιχείρηση στην οποία ανήκει το στέλεχος, είναι αποδεδειγμένα συνδεδεμένη ή συγγενής κατά τον κωδικοποιημένο νόμο [Ν] 2190/1920, όπως αυτός ισχύει, και υπό την προϋπόθεση ότι μεταξύ των δύο επιχειρήσεων έχει συναφθεί σχετικό συμφωνητικό παροχής υπηρεσιών.}
9. Η περίπτωση θ' της παραγράφου 1 του άρθρου 109 του κωδικοποιημένου νόμου 3669/2008 αντικαθίσταται ως εξής:
{θ) Των ηλεκτρονικών μηχανικών, των ηλεκτρολόγων μηχανικών, των ηλεκτρολόγων μηχανικών και μηχανικών ηλεκτρονικών υπολογιστών (Η/Υ) στα έργα ηλεκτρονικού εξοπλισμού.}
10. H περίπτωση η' της παραγράφου 1 του άρθρου 110 του κωδικοποιημένου νόμου 3669/2008 αντικαθίσταται ως εξής:
{η) των Πτυχιούχων Τεχνολογικού Εκπαιδευτικού Ιδρύματος των ειδικοτήτων: Μηχανικών Αυτοματισμού Τεχνολογικής Εκπαίδευσης, Ηλεκτρονικών μηχανικών Τεχνολογικής Εκπαίδευσης, Μηχανικών Ηλεκτρονικών υπολογιστικών Συστημάτων Τεχνολογικής Εκπαίδευσης, Ηλεκτρολόγων Μηχανικών Τεχνολογικής Εκπαίδευσης, Μηχανικών Ενεργειακής Τεχνολογίας Τεχνολογικής Εκπαίδευσης (Ηλεκτρολογικής Κατεύθυνσης), Μηχανικών Τεχνολογίας, Πληροφορικής και Τηλεπικοινωνιών Τεχνολογικής Εκπαίδευσης, Μηχανικών Πληροφορικής και Τεχνολογίας Υπολογιστών Τεχνολογικής Εκπαίδευσης, Μηχανικών Πληροφορικής και Επικοινωνιών Τεχνολογικής Εκπαίδευσης, Μηχανικών Εφαρμοσμένης Πληροφορικής και Πολυμέσων Τεχνολογικής Εκπαίδευσης, Μηχανικών Πληροφορικής Τεχνολογικής Εκπαίδευσης, Μηχανικών Η/Υ Τεχνολογικής Εκπαίδευσης, Μηχανικών Λογισμικού Τεχνολογικής Εκπαίδευσης και Μηχανικών Δικτύων Τεχνολογικής Εκπαίδευσης, καθώς και των κατόχων ισοτίμων και αντιστοίχων πτυχίων, στα έργα ηλεκτρονικού εξοπλισμού.}
11. Μετά την παράγραφο 1 του άρθρου 176 του κωδικοποιημένου νόμου 3669/2008 προστίθεται παράγραφος 1)α ως εξής:
{1)α. Με απόφαση του Υπουργού Υποδομών, Μεταφορών και Δικτύων εγκρίνεται Κανονισμός που θεσπίζει κανόνες και διαδικασίες ελέγχων - επιθεωρήσεων ασφάλειας των φραγμάτων κατά τα στάδια μελέτης, κατασκευής και λειτουργίας αυτών.
Στο Υπουργείο Υποδομών, Μεταφορών και Δικτύων συνιστάται ως επιτροπή η Διοικητική Αρχή Φραγμάτων, η οποία συγκροτείται με απόφαση του Υπουργού Υποδομών, Μεταφορών και Δικτύων και είναι αρμόδια για τη διασφάλιση της τήρησης και της συμμόρφωσης με τις διατάξεις του ως άνω Κανονισμού.}
ΣΗΜΕΙΩΣΗ: Η παράγραφος 8 τίθεται όπως αντικαταστάθηκε με την παράγραφο 1 του άρθρου 70 του νόμου 4313/2014 (ΦΕΚ 261/Α/2014).
|