| Συνδεθείτε στην Υπηρεσία Νομοσκόπιο | | | | | Νέοι χρήστες | | Εάν είστε νέος χρήστης, θα πρέπει να δημιουργήσετε ένα ΔΩΡΕΑΝ λογαριασμό προκειμένου να φύγει το παράθυρο αυτό και να αποκτήσετε πλήρη πρόσβαση στην υπηρεσία Νομοσκόπιο. | | Δημιουργία νέου λογαριασμού | | |
1. Δια πάσας τις περιπτώσεις της παραγράφου 3 του άρθρου 1 του παρόντος, οι αναθεωρημένες τιμές των καθ' εκάστην αναθεωρητική περίοδο πραγματοποιούμενων εργασιών προκύπτει, δια πολλαπλασιασμού της συμβατικής τιμής τούτων επί τον τύπον:

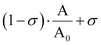
εις τον οποίον:
Α, Είναι η εις δραχμές τιμή η προκύπτουσα δια της συμπληρώσεως του αντίστοιχου κονδυλίου της εγκεκριμένης αναλύσεως τιμών με βασικές τιμάς μονάδος τις ισχύουσες δια την αναθεωρητική περίοδο πραγματοποιήσεως των εργασιών.
A0, Είναι η αυτή τιμή με βασικές τιμές της αναθεωρητικής περιόδου η οποία κατά τις παραγράφους 3 και 4 του παρόντος θεωρείται ως χρόνος εκκινήσεως της αναθεωρήσεως της εργολαβίας και
σ, σταθερός συντελεστής δια το μη υποκείμενο σε αναθεώρηση μέρος της τιμής, οριζόμενος σε δέκα εκατοστά (0,10).
2. Ως βασικές τιμές μονάδας δια την εφαρμογή του παρόντος νόμου καθ' άπασαν την Χώρα θεωρούνται οι υπό της υπό του άρθρου 6 προβλεπομένης Επιτροπής Διατυπώσεως Τιμών Δημοσίων Έργων (ΕΔΤΔΕ) διαπιστούμενες τιμές ημερομισθίων, μέσης εργοδοτικής επ' αυτών επιβαρύνσεως, υλικών και μισθωμάτων μηχανημάτων και αυτοκινήτων κατά το μέσο εκάστης αναθεωρητικής περιόδου. Οι βασικές αυτές τιμές νοούνται, ως τιμές δι' ολόκληρη την αντίστοιχη αναθεωρητική περίοδο.
3. Ως χρόνος εκκινήσεως της αναθεωρήσεως δι' εκάστη εργολαβία ορίζεται η αναθεωρητική περίοδος εντός της οποίας διεξήχθη η δημοπρασία ή δια την περίπτωσιν της άνευ δημοπρασίας αναθέσεως, εντός της οποίας υπεγράφη η απόφασις της τοιαύτης αναθέσεως. Εις την τελευταία ταύτη περίπτωσιν η απόφασις δύναται να ορίζει και έτερον χρόνον εκκινήσεως, οπότε εφαρμόζεται ούτος.
4. Τιμές μονάδας νέων εργασιών που συντάσσονται κατά τις κείμενες διατάξεις αναθεωρούνται βάσει των αντιστοίχων κονδυλίων εγκεκριμένης αναλύσεως συμφώνως προς τα οποία συνετάγησαν. Εάν οι τιμές αυτές δεν ταυτίζονται προς τοιαύτα κονδύλια, η αναθεώρησή των γίνεται βάσει αντίστοιχου παρεμφερούς κονδυλίου εγκεκριμένης αναλύσεως, οριζομένου πάντοτε δια του σχετικού πρωτοκόλλου κανονισμού της τιμής. Εάν κατά τις περί εκτελέσεως των δημοσίων έργων διατάξεις, οι τιμές συντάσσονται με βασικές τιμές διαφόρους των τιμών βάσει των οποίων έχει συνταχθεί ο προϋπολογισμός υπηρεσίας δια του οποίου δημοπρατήθηκε το έργον, οι τιμές αυτές ανάγονται δια του σχετικού πρωτοκόλλου εις τιμές του χρόνου εκκινήσεως της εργολαβίας.
5. Εάν χορηγούνται υπό του κυρίου του έργου υλικά προς ενσωμάτωση εις τα έργα, δια την αναθεώρηση των τιμών των αντιστοίχων εργασιών, τα υλικά ταύτα τίθενται εις τις σχετικές αναλύσεις με μηδενική αξία τόσο δια την αναθεωρητική περίοδο, όσο και δια το χρόνο εκκινήσεως, όταν οι συμβατικές τιμές είναι άνευ της αξίας του υλικού. Εις περιπτώσεις συμβάσεων οι οποίες προβλέπουν διάφορο τρόπο δια τον επί του εργολαβικού ανταλλάγματος υπολογισμό της αξίας των υπό του κυρίου του έργου παρεχομένων υλικών, ο τρόπος εφαρμογής των οικείων συντελεστών προς υπολογισμό της πράγματι αναλογούσης κατά τις διατάξεις του παρόντος αναθεωρήσεως, κανονίζεται δι' αποφάσεως του Υπουργού Δημοσίων Έργων.
ΣΗΜΕΙΩΣΗ: Το παρόν άρθρο καταργήθηκε με επιφύλαξη με το εδάφιο γ' της παραγράφου 1 του άρθρου 28 του νόμου 1418/1984 (ΦΕΚ 23/Α/1984).
|