| Συνδεθείτε στην Υπηρεσία Νομοσκόπιο | | | | | Νέοι χρήστες | | Εάν είστε νέος χρήστης, θα πρέπει να δημιουργήσετε ένα ΔΩΡΕΑΝ λογαριασμό προκειμένου να φύγει το παράθυρο αυτό και να αποκτήσετε πλήρη πρόσβαση στην υπηρεσία Νομοσκόπιο. | | Δημιουργία νέου λογαριασμού | | |
1. Γενικά
Το πρώτο βήμα στο σχεδιασμό των εγκαταστάσεων μιας αποχέτευσης είναι ο προσδιορισμός της ποσότητας του νερού που πρέπει να μεταφέρει η εγκατάσταση. Η απαιτούμενη υδρολογική ανάλυση για να εκτιμηθεί η απαιτούμενη παροχετευτικότητα μπορεί να είναι ένα κύριο στοιχείο της συνολικής προσπάθειας σχεδιασμού. Το επίπεδο της απαιτούμενης προσπάθειας εξαρτάται από τα διαθέσιμα δεδομένα και από την εμπειρικότητα της αναλυτικής τεχνικής που επιλέγεται. Ανεξάρτητα από την αναλυτική τεχνική που χρησιμοποιείται η υδρολογική ανάλυση πάντα εμπλέκεται με την κρίση του μηχανικού λόγω της πολυπλοκότητας και των πιθανοτήτων που ενυπάρχουν στη φύση της ίδιας της διαδικασίας της απορροής. Η ποσοτικοποίηση της απορροής δε στηρίζεται σε μια επιστήμη ακριβείας.
Για συνήθη προβλήματα μελέτης, ιδιαίτερα με αυτά που αφορούν μικρές αποχετευόμενες επιφάνειες, δεν είναι πρακτικό και δεν είναι απαραίτητο να χρησιμοποιούνται εξεζητημένες αναλυτικές μέθοδοι οι οποίες απαιτούν εκτεταμένο χρόνο και εργασία. Ευτυχώς υπάρχει ένας αριθμός ικανοποιητικών αποδεκτών μεθόδων για την υδρολογική ανάλυση, κατά τις οποίες χρησιμοποιούνται υπάρχοντα δεδομένα ή στην περίπτωση απουσίας δεδομένων υπάρχουν συνθετικές μέθοδοι για την ανάπτυξη των απαιτούμενων παραμέτρων σχεδιασμού.
Η μελέτη αποχέτευσης για εγκαταστάσεις που εξυπηρετούν μικρές επιφάνειες μπορεί τυπικά να βασίζεται σε συνθήκες μέγιστης ροής. Η γνώση του πλήρους υδρογραφήματος σπάνια είναι απαραίτητη για μικρές εγκαταστάσεις αποχέτευσης. Για παράδειγμα ο σχεδιασμός των εγκαταστάσεων αποχέτευσης της κεντρικής νησίδας, ή ενός συστήματος υπονόμου και στομίων υδροσυλλογής για την προστασία ενός πρανούς επιχώματος, ή ενός οχετού που αποχετεύει μια μικρή επιφάνεια η οποία απομονώνεται από το επίχωμα της οδού, μπορεί να γίνεται με βάση τις συνθήκες μέγιστης ροής και μόνο.
Οι μέθοδοι για την εκτίμηση της μέγιστης ροής μπορεί να διακρίνονται σε δυο κατηγορίες:
α. για περιοχές με δεδομένα μετρήσεων ροής ρεμάτων
β. για περιοχές χωρίς δεδομένα μετρήσεων
Όταν υπάρχουν επαρκή δεδομένα μετρήσεων σε βάθος χρόνου και είναι αξιόπιστα τότε μπορεί να χρησιμοποιείται η στατιστική ανάλυση για να εκτιμηθεί η μέγιστη πλημμύρα σε διάφορες περιόδους επαναφοράς.
Όταν δεν υπάρχουν δεδομένα μετρήσεων οι εκτιμήσεις γίνονται με εμπειρικές εξισώσεις (π.χ. η ορθολογική μέθοδος) ή με τοπικές εξισώσεις παλινδρόμησης. Οι τοπικές εξισώσεις παλινδρόμησης είναι κατάλληλες για μεγάλες επιφάνειες αποχέτευσης, ενώ άλλες μέθοδοι όπως είναι η ορθολογική μέθοδος συνήθως χρησιμοποιούνται για μικρότερες επιφάνειες μέχρι περίπου 0,8 km2. Για μεγαλύτερες επιφάνειες συνιστώνται οι εξισώσεις παλινδρόμησης που έχουν αναπτυχθεί από τοπικά δεδομένα. Πρέπει να σημειωθεί ότι δεν υπάρχει σαφής προσδιορισμός του ορίου μέχρι το οποίο η μια μέθοδος παύει να έχει εφαρμογή και θα πρέπει να χρησιμοποιείται η άλλη μέθοδος. Οι μέθοδοι, μερικές φορές, δίνουν αποτελέσματα για την ίδια επιφάνεια που συμφωνούν μεταξύ τους αρκετά καλά, ενώ σε άλλες περιπτώσεις, αυτές μπορεί να διαφέρουν στα αποτελέσματα ακόμη και περισσότερο από 50%. Όταν συμβαίνουν μεγάλες διαφορές η εφαρμοσιμότητα της κάθε μεθόδου θα πρέπει να αξιολογείται και τότε απαιτείται μια ουσιαστική κρίση του μηχανικού για την απόφαση των λογικών τιμών σχεδιασμού.
Τόσο ο υπερσχεδιασμός όσο και ο υποσχεδιασμός συνεπάγεται υπερβολικό κόστος σε μακροπρόθεσμη βάση. Μια τάφρος σχεδιασμένη για να φέρει την πλημμυρική παροχή 1 έτους θα έχει προφανώς ένα χαμηλό αρχικό κόστος, αλλά το κόστος συντήρησης θα είναι υψηλό επειδή η τάφρος και η οδός μπορεί να υπόκεινται σε φθορές από την απορροή σχεδόν κάθε χρόνο. Όμως μια τάφρος σχεδιασμένη για να εξυπηρετεί την πλημμύρα εκατονταετίας θα έχει υψηλό αρχικό κόστος, αλλά χαμηλό κόστος συντήρησης. Κάπου ανάμεσα σ' αυτά τα δυο όρια βρίσκεται η περίοδος επαναφοράς σχεδιασμού η οποία θα εξισορροπεί κατά το βέλτιστο τρόπο το κόστος κατασκευής, το ετήσιο κόστος συντήρησης, καθώς και την επικινδυνότητα φθορών από την πλημμύρα.
2. Απορροή Ομβρίων
Η βροχή που πέφτει στο έδαφος και στις υδάτινες επιφάνειες παράγει την απορροή των λεκανών. Ένα μικρό μέρος της βροχής εξατμίζεται καθώς πέφτει και κάποιο μέρος συγκρατείται από τη βλάστηση. Από τα όμβρια που φθάνουν στο έδαφος ένα μέρος διηθείται σε αυτό, ένα μέρος γεμίζει τις κοιλότητες της επιφάνειας του εδάφους και το υπόλοιπο ρέει επιφανειακά και φθάνει στις βαθιές γραμμές της επιφάνειας του εδάφους. Η επιφανειακή απορροή συχνά επιβαρύνεται από την υπόγεια ροή που ρέει ακριβώς κάτω από την επιφάνεια του εδάφους και η οποία φθάνει συγχρόνως στις βαθιές γραμμές συνιστώντας και αυτή ένα μέρος της συνολικής απορροής ομβρίων.
Η βροχή που διηθείται στο έδαφος έχει το ίδιο μέγεθος με την υγρασία του εδάφους και προστίθεται στον υπόγειο ορίζοντα. Μέρος από τον υπόγειο ορίζοντα φθάνει στα ρέματα μετά από μακρό χρονικό διάστημα από τη χρονική στιγμή που έχει περάσει η επιφανειακή απορροή των ομβρίων και κάποιο μέρος λαμβάνεται από τη βλάστηση ή / και από τις ανθρώπινες χρήσεις.
Η απορροή των ομβρίων η οποία πρέπει να μεταφέρεται από τις εγκαταστάσεις αποχέτευσης της οδού είναι το υπόλοιπο της βροχόπτωσης μετά τις απώλειες που προαναφέρονται. Η τιμή των απωλειών στην απορροή εξαρτάται από την ποσότητα της βροχής και το ρυθμό με τον οποίο αυτή πέφτει (ένταση, θερμοκρασία, χαρακτηριστικά του εδάφους) η τιμή της απορροής ποικίλει ανάλογα με την υδροπερατότητα της επιφάνειας του εδάφους και τη φυτική κάλυψη αλλά και ανάλογα με το χρόνο για την ίδια επιφάνεια σε σχέση με τις υφιστάμενες εκείνη τη χρονική στιγμή συνθήκες αυτής, όπως είναι η υγρασία του εδάφους κ.τ.λ.
3. Ανάλυση Δεδομένων Μετρήσεων
Η στατιστική ανάλυση δεδομένων, από υπηρεσίες που τα διαθέτουν, επιτρέπει μια εκτίμηση της μέγιστης παροχής σε σχέση με την πιθανότητα και τη συχνότητα που αυτή συμβαίνει σε μια δεδομένη θέση.
4. Ένταση - Διάρκεια - Περίοδος Επαναφοράς Βροχόπτωσης
Η ένταση της βροχόπτωσης είναι ο ρυθμός με τον οποίο πέφτει η βροχή. Η ένταση εκφράζεται σε (mm/h) ανεξάρτητα από τη διάρκεια της βροχόπτωσης, αν και μπορεί να εκφράζεται ως συνολική βροχόπτωση σε μια συγκεκριμένη χρονική περίοδο (π.χ. διάρκεια). Η συχνότητα (περίοδος επαναφοράς) μπορεί να εκφράζεται ως η πιθανότητα να συμβεί ή να γίνει υπέρβαση μιας δεδομένης έντασης βροχόπτωσης, ή μπορεί να εκφραστεί ως όρος του μέσου χρονικού διαστήματος (περίοδος επαναφοράς) μεταξύ εντάσεων βροχόπτωσης μιας δεδομένης ή μεγαλύτερης ποσότητας. Η συχνότητα έντασης βροχόπτωσης δε μπορεί να εκφράζεται χωρίς να δηλώνεται η διάρκεια της βροχόπτωσης επειδή η ένταση βροχόπτωσης ποικίλει ανάλογα με τη διάρκεια βροχόπτωσης.
Δεδομένα βροχόπτωσης ενός σημείου χρησιμοποιούνται για την κατασκευή καμπυλών έντασης - διάρκειας - περιόδου επαναφοράς που είναι απαραίτητες για την υδρολογική ανάλυση (βλέπε παράδειγμα Σχήμα 2.4-1). Δυο μέθοδοι για την επιλογή δεδομένων βροχόπτωσης χρησιμοποιούνται στις αναλύσεις περιόδου επαναφοράς που είναι οι ετήσιες σειρές και οι σειρές μερικής - διάρκειας. Οι ετήσιες σειρές ανάλυσης λαμβάνουν υπόψη μόνο τη μέγιστη βροχόπτωση κάθε έτους (συνήθως ημερολογιακού έτους) και αγνοούν τις άλλες βροχοπτώσεις κατά τη διάρκεια του έτους. Αυτές οι μικρότερες βροχοπτώσεις κατά τη διάρκεια ενός έτους συχνά υπερβαίνουν τις μέγιστες βροχοπτώσεις άλλων ετών. Η ανάλυση των σειρών μερικής - διάρκειας λαμβάνει υπόψη όλες τις υψηλές βροχοπτώσεις ανεξάρτητα από τον αριθμό που συμβαίνουν μέσα σε ένα συγκεκριμένο έτος. Κατά το σχεδιασμό των εγκαταστάσεων αποχέτευσης μιας οδού για περίοδο επαναφοράς μεγαλύτερης από 10 έτη η διαφορά μεταξύ δυο σειρών δεν είναι σημαντική. Όταν η περίοδος επαναφοράς είναι μικρότερη από 10 έτη, οι σειρές μερικής - διάρκειας πιστεύεται ότι είναι περισσότερο κατάλληλες. Για τη μετατροπή των καμπυλών περιόδου επαναφοράς που βασίζονται στις ετήσιες σειρές, σε εκείνες που βασίζονται στις σειρές μερικής - διάρκειας μπορεί να γίνεται με πολλαπλασιασμό των τιμών των ετήσιων σειρών με τους ακόλουθους συντελεστές:
Περίοδος επαναφοράς
|
2
|
5
|
10
|
20
|
Συντελεστής σχέσης
|
1,14
|
1,04
|
1,01
|
1,00
|
4.1. Κριτήρια Σχεδιασμού
Ο σχεδιασμός των συστημάτων αποχέτευσης αρχίζει με την επιλογή της περιόδου επαναφοράς σχεδιασμού. Παράλληλα με αυτή την επιλογή γίνεται και η επιλογή του ελεύθερου ύψους πάνω από την ανωτάτη στάθμη του ύδατος (ΑΣΥ) που πρέπει να είναι διαθέσιμη για την ασφαλή λειτουργία των τεχνικών έργων (γέφυρες, οχετοί, τάφροι κ.τ.λ.).
Τα γενικά κριτήρια σχεδιασμού που αφορούν γέφυρες, οχετούς, αντιδιαβρωτικά έργα, τοίχους αντιστήριξης, τάφρους και μικρά κανάλια υφισταμένων διωρύγων, δικτύων στραγγιστικών - αρδευτικών τάφρων και αντιπλημμυρικών έργων, αναφέρονται στον επόμενο Πίνακα 2.4-1. Τα γενικά κριτήρια σχεδιασμού που αφορούν οδούς μικρής κυκλοφορίας αναφέρονται στον Πίνακα 2.4-2. Για το σχεδιασμό των έργων η επιλογή του συνδυασμού Περίοδος - Επαναφοράς - Έκταση Κατακλυζόμενη οδοστρώματος συνιστάται να γίνεται με τις υποδείξεις που αναφέρονται στους Πίνακες 2.4-4 και 2.4-5, λαμβάνοντας υπόψη και συνεκτιμώντας την επικινδυνότητα που αναλαμβάνεται (βλέπε Πίνακα 2.4-3).

Σχήμα 2.4.1-1: Τυπικές καμπύλες έντασης - περίοδος επαναφοράς βροχόπτωσης (Το παρόν είναι μόνο υπόδειγμα)
Πίνακας 2.4-1: Γενικά κριτήρια σχεδιασμού
Είδος τεχνικού έργου
|
Ελεγχόμενα υδραυλικά χαρακτηριστικά
|
Ελάχιστη περίοδος επαναφοράς σχεδιασμού (έτη)
|
Ελάχιστο ελεύθερο ύψος πάνω από ΑΣΥ 1 (m)
|
1
|
2
|
3
|
4
|
Γέφυρες
|
ΑΣΥ*
|
50
|
|
Διάβρωση
|
500 7
|
| • | για ροές προερχόμενες από δάση 1,00 - 1,50 2 |
|
Οχετοί
|
ΑΣΥ & διάβρωση
|
βλέπε Πίνακα 2.4-2
|
0,30 3
|
Αντιδιαβρωτικά μέτρα (σε χείμαρρους και υδατορέματα)
|
ΑΣΥ & διάβρωση
|
βλέπε Πίνακα 2.4-2
|
0,30 4
|
Τοίχοι αντιστήριξης 5
ύψους < 3,00 m
|
ΑΣΥ
& διάβρωση 8
|
βλέπε Πίνακα 2.4-2
|
0,30 4
|
Τοίχοι αντιστήριξης ύψους ≥ 3,00 m
|
ΑΣΥ
Διάβρωση 8
|
50
50 έως 500 6
|
0,30 4
|
Τάφροι & μικρά κανάλια (Q<1,5 m3/s)
|
ΑΣΥ & διάβρωση
|
| • | Ετήσια Μέση Ημερήσια Κυκλοφορία < 400 βλέπε Πίνακα 2.4-2 |
| • | Ετήσια Μέση Ημερήσια Κυκλοφορία ≥ 400 εφαρμόζεται 10 |
|
0,30, ή μέχρι τη στάθμη των ασφαλτικών του οδοστρώματος
|
* ΑΣΥ: Ανωτάτη Στάθμη Υδάτων
1 Λαμβάνονται υπόψη η σπουδαιότητα του τεχνικού έργου (π.χ. όταν εξυπηρετεί οδό διαφυγής σε έκτακτες συνθήκες), όπως επίσης οι τυχόν οικολογικές ανάγκες (π.χ. διέλευση πανίδας) και άλλες γεωλογικές ή γεωμορφολογικές συνθήκες.
2 Ελεύθερο ύψος είναι η κατακόρυφη απόσταση μεταξύ της ανωτάτης επιφάνειας του νερού (κατά την πλημμύρα σχεδιασμού) και της κατώτερης στάθμης του φορέα της γέφυρας. Άλλα συγκεκριμένα μεγαλύτερα ελεύθερα ύψη επιβάλλονται για τη διέλευση σκαφών κάτω από γέφυρες.
3 Ελεύθερο ύψος είναι η κατακόρυφη απόσταση μεταξύ της ανωτάτης επιφάνειας του νερού (κατά την πλημμύρα σχεδιασμού) και της επιφάνειας του οδοστρώματος.
4 Ελεύθερο ύψος είναι η κατακόρυφη απόσταση μεταξύ της ανωτάτης επιφάνειας του νερού (κατά την πλημμύρα σχεδιασμού) και της κατώτερης στάθμης του οδοστρώματος (σκάφης της οδού).
5 Για τοίχους αντιστήριξης τοποθετούμενους κατά μήκος της όχθης ρεμάτων ή της ευρύτερης κοίτης ποταμών.
6 Όσο το κόστος του τοίχου αντιστήριξης προσεγγίζει το κόστος μίας γέφυρας αντίστοιχου μήκους, τόσο η ελάχιστη περίοδος επαναφοράς σχεδιασμού για την προστασία από διάβρωση θα πρέπει να προσεγγίζει αντιστοίχως την επιλογή της περιόδου επαναφοράς που εφαρμόζεται για γέφυρες.
7 Όταν η πλημμυρική παροχή για 500 έτη είναι άγνωστη χρησιμοποιείται η πολλαπλάσια τιμή κατά 1,7 φορές της εκατονταετίας.
8 Η θεμελίωση των τοίχων πρέπει να εδράζεται επί του βραχώδους υποβάθρου ή να γίνεται τόσο βαθιά ώστε να εμποδίζεται η υποσκαφή. Εάν αυτό δεν είναι εφικτό, τότε η θεμελίωση θα πρέπει να προστατεύεται με επένδυση λιθορριπής ή να διαθέτει ελάχιστο συντελεστή ασφαλείας 1,0 για την ελάχιστη πλημμυρική παροχή σχεδιασμού. Σε ορισμένες περιπτώσεις μπορεί η αντιδιαβρωτική προστασία να παραλείπεται, όπως μπορεί να συμβαίνει όταν υπάρχουν ευνοϊκές μορφολογικές συνθήκες στην περιοχή του ρέματος και συνθήκες φυσικής βλάστησης αλλά και ευνοϊκή οικονομική επικινδυνότητα (π.χ. ο τοίχος είναι μικρού κόστους και υπάρχει μια πολύ μικρή πιθανότητα διάβρωσης) από την καταστροφή του έργου.
Πίνακας 2.4-2: Ετήσια Μέση Ημερήσια Κυκλοφορία - Ελάχιστη περίοδος επαναφοράς σχεδιασμού
Προβλεπόμενη Ετήσια Μέση Ημερήσια Κυκλοφορία 1 (ΜΕΑ) 2
|
Ελάχιστη περίοδος επαναφοράς (έτη)
|
0 έως 10
|
2
|
11 έως 49
|
5
|
50 έως 399
|
10
|
400 έως 1499
|
25
|
1500 και άνω
|
25 (50) 3
|
1 Ετήσια Μέση Ημερήσια Κυκλοφορία
2 Μονάδες Επιβατηγών Αυτοκινήτων
3 Εφαρμόζεται σε χαμηλά σημεία της οδού και οπωσδήποτε σε θέσεις όπου προβλέπεται εγκατάσταση αντλιοστασίου
Συνιστάται να λαμβάνεται ως ελάχιστος χρόνος συγκέντρωσης 10 min για την εκτίμηση της βροχόπτωσης σε μέτριες κλίσεις και επιστρωμένες επιφάνειες, ενώ σε επιφάνειες που δε διαθέτουν το χαρακτηριστικό της αποθηκευτικότητας και έχουν κλίσεις μεγαλύτερες από 10% να λαμβάνεται ως ελάχιστη τιμή ίση με 5 min.
Για τον προσδιορισμό του πλέον οικονομικού σχεδιασμού σε γεφυρώσεις ρεμάτων, σε ασυνήθως πολύπλοκες περιπτώσεις, όπως όταν υπάρχει αμφιβολία ως προς τη βέλτιστη περίοδο - επαναφοράς σχεδιασμού, ή όταν φαίνεται ότι το τεχνικό που πρόκειται να κατασκευασθεί αφορά μια μικρής σπουδαιότητας οδό, θα πρέπει να γίνεται μια οικονομική ανάλυση (ονομαζόμενη και ως ανάλυση κόστους - οφέλους ή οφέλους - επικινδυνότητας). Μια οικονομική ανάλυση επιτρέπει τη θεώρηση ποικιλίας συνδυασμών της περιόδου επαναφοράς, της διαστασιολόγησης του τεχνικού, του ύψους του επιχώματος και των συνεπακόλουθων δαπανών από ζημιές κατά τις πλημμύρες που αντιστοίχως προκύπτουν.
Εκτός από την περίπτωση που εκπονείται μια οικονομική ανάλυση, η απόφαση για κάθε γεφύρωση ποταμού ή ρέματος σε συνάρτηση με την περίοδο επαναφοράς σχεδιασμού, θα πρέπει να λαμβάνεται με βάση την υπολογιζόμενη επικινδυνότητα. Δηλαδή πρέπει να αξιολογείται η επικινδυνότητα που συνεπάγεται η αποδοχή ίσης ή μεγαλύτερης πλημμυρικής παροχής σχεδιασμού η οποία θα συμβαίνει κατά τη διάρκεια της ζωής του τεχνικού. Αυτή η επικινδυνότητα εκφράζεται από τη σχέση:
(2.4-1)
όπου:
F (έτη): περίοδος επαναφοράς
N (έτη): χρόνος ζωής του τεχνικού
p (-): πιθανότητα υπέρβασης της πλημμυρικής παροχής στη διάρκεια ζωής του τεχνικού
Ένα παράδειγμα, από τον επόμενο Πίνακα 2.4-3 δείχνει ότι υπάρχει πιθανότητα π.χ. 99% επικινδυνότητας υπέρβασης της πλημμυρικής παροχής για δεκαετή περίοδο επαναφοράς, μια φορά κατά τη διάρκεια των 50 ετών ζωής ενός οχετού, ή π.χ. πιθανότητα 39% επικινδυνότητας υπέρβασης της πλημμυρικής παροχής για εκατονταετή περίοδο επαναφοράς, για τον ίδιο χρόνο ζωής του τεχνικού. Έτσι, ένας οχετός σχεδιασμένος για δεκαετή περίοδο επαναφοράς θα είναι πολύ ευάλωτος για να καταστραφεί κατά τη διάρκεια της ζωής του εκτός εάν, είτε αυτός είναι κλειστού τύπου (κιβωτοειδής) είτε είναι δυνατή, χωρίς καταστροφικές συνέπειες, η υπερπήδηση της οδού από τη ροή κατά τη διάρκεια μεγάλων πλημμυρών.
Πίνακας 2.4-3: Πιθανότητα p υπέρβασης της περιόδου επαναφοράς σχεδιασμού
#
|
Μέση περίοδος επαναφοράς
|
Πιθανότητα
|
p υπέρβασης της περιόδου επαναφοράς μέσα στα Ν έτη ζωής του τεχνικού έργου
|
|
(έτη)
|
Ν=2,33
|
Ν=5
|
Ν=10
|
Ν=25
|
Ν=50
|
Ν=100
|
1
|
2
|
3
|
4
|
5
|
6
|
7
|
8
|
1
|
2,33
|
73%
|
94%
|
100%
|
100%
|
100%
|
100%
|
2
|
5
|
41%
|
67%
|
89%
|
100%
|
100%
|
100%
|
3
|
10
|
22%
|
41%
|
65%
|
93%
|
99%
|
100%
|
4
|
25
|
9%
|
18%
|
34%
|
64%
|
87%
|
98%
|
5
|
50
|
5%
|
10%
|
18%
|
42%
|
64%
|
87%
|
6
|
100
|
2%
|
5%
|
10%
|
22%
|
39%
|
63%
|
7
|
1000
|
<1%
|
<1%
|
1%
|
2%
|
5%
|
10%
|
Όταν στη θέση οχετού σε βαθιές μισγάγγειες, το επίχωμα της οδού είναι υψηλό και το βάθος νερού, για επεισόδιο πλημμύρας εκατονταετίας, υπερβαίνει τα 6 έως 8 m, τότε το επίχωμα θα λειτουργήσει ως εμπόδιο, επομένως θα πρέπει να διερευνηθεί και εκτιμηθεί ο κίνδυνος στην περίπτωση μιας μεγαλύτερης πλημμύρας ή μιας έμφραξης του οχετού από φερτά. Σε μερικές περιπτώσεις θα πρέπει να εξετάζεται ως εναλλακτικός σχεδιασμός, αντί της κατασκευής μεγάλων τεχνικών έργων ή αλλαγής της μηκοτομής της οδού, η λήψη μέτρων διάφορων ανακουφιστικών μέτρων, με πρόσθετους αγωγούς πάνω από τη στέψη του απαιτούμενου τεχνικού του οποίου οι διαστάσεις έχουν υπολογισθεί με την παροχή σχεδιασμού.
Για σημαντικά τεχνικά έργα, ανεξαρτήτως της χρησιμοποιούμενης περιόδου επαναφοράς για το σχεδιασμό (βλέπε Πίνακα 2.4-5), πρέπει να ελέγχονται οι επιπτώσεις, στον περιβάλλοντα χώρο της οδού από τη στάθμη πλημμύρας για μεγαλύτερη περίοδο επαναφοράς. Αυτές οι επιπτώσεις πρέπει να αξιολογούνται στα αρχικά στάδια της μελέτης και να συνεκτιμώνται στην τεχνοοικονομική θεώρηση του έργου.
Πίνακας 2.4-4: Κανόνες επιλογής Περιόδου Επαναφοράς - Έκτασης Κατακλυζόμενης για το σχεδιασμό αποχέτευσης οδοστρωμάτων
Λειτουργικά χαρακτηριστικά οδών (βλέπε ΟΜΟΕ-ΛΚΟΔ, Πίνακας 2-4)
|
Περίοδος επαναφοράς (έτη)
|
Επιτρεπόμενη έκταση κατακλυσμένη 3
|
Ομάδα οδών
|
Κατηγορία οδού / Χαρακτηρισμός οδού
|
50
|
25
|
10
|
Ερείσματα, ΛΕΑ, ή λωρίδα στάθμευσης
|
%
Εξωτερικής λωρίδας
|
Τοπική απόφαση
|
1
|
2
|
3
|
4
|
5
|
6
|
7
|
8
|
Α
|
οδοί που διατρέχουν περιοχές εκτός σχεδίου (υπεραστικές) με βασική λειτουργία τη σύνδεση και με περιορισμούς στην εξυπηρέτηση παρόδιων ιδιοκτησιών
Σημείωση: Η κατηγορία ΑΙ αφορά οδούς σύνδεσης ευρύτερων περιοχών και οι οποίες δεν παρέχουν άμεση εξυπηρέτηση στις παρόδιες ιδιοκτησίες
|
Α I
|
Αυτοκινητόδρομος 1
|
-
|
V
|
-
|
V
|
-
|
-
|
Οδός ταχείας κυκλοφορίας 1
|
Α II
|
Οδός μεταξύ νομών / επαρχιών 1
|
-
|
V
|
-
|
V
|
-
|
-
|
Α III
|
Οδός μεταξύ επαρχιών / οικισμών 1
|
-
|
V
|
-
|
V
|
-
|
-
|
Α IV
|
Οδός μεταξύ μικρών οικισμών
Συλλεκτήρια οδός 2
|
-
|
-
|
V
|
V
|
-
|
-
|
Α V
|
Δευτερεύουσα οδός
Αγροτική οδός
|
-
|
-
|
V
|
-
|
V
|
V
|
Α VI
|
Τριτεύουσα οδός
Δασική οδός
|
-
|
-
|
V
|
-
|
V
|
V
|
Β
|
οδοί που διατρέχουν περιοχές εντός σχεδίου (ημιαστικές και αστικές) με βασική λειτουργία τη σύνδεση και με περιορισμούς στην εξυπηρέτηση των παρόδιων ιδιοκτησιών
Σημείωση: Οι οδοί κατηγορίας ΒΙ και ΒΙΙ δεν παρέχουν άμεση εξυπηρέτηση στις παρόδιες ιδιοκτησίες
|
Β Ι
|
Αστικός αυτοκινητόδρομος 1
|
-
|
V
|
-
|
V
|
-
|
-
|
Β ΙΙ
|
Αστική οδός ταχείας κυκλοφορίας 1
|
-
|
V
|
-
|
V
|
-
|
-
|
Β ΙΙΙ
|
Αστική αρτηρία
|
-
|
V
|
-
|
V
|
-
|
-
|
Β IV
|
Κύρια συλλεκτήρια οδός
|
-
|
V
|
-
|
V
|
-
|
-
|
Γ
|
οδοί που διατρέχουν περιοχές εκτός ή εντός σχεδίου (περιαστικές και αστικές) με βασική λειτουργία τη σύνδεση και με δυνατότητα εξυπηρέτησης των παρόδιων ιδιοκτησιών
|
Γ ΙΙΙ
|
Αστική αρτηρία
|
-
|
V
|
-
|
V
|
-
|
-
|
Γ IV
|
Κύρια συλλεκτήρια οδός
|
-
|
V
|
-
|
V
|
-
|
-
|
Δ
|
οδοί σε περιοχές εντός σχεδίου (αστικές) με βασική λειτουργία την πρόσβαση
|
Δ IV
|
Συλλεκτήρια οδός
|
-
|
V
|
-
|
V
|
-
|
-
|
Δ V
|
Τοπική οδός
|
-
|
V
|
-
|
-
|
V
|
-
|
Ε
|
οδοί σε περιοχές εντός σχεδίου (αστικές) με βασική λειτουργία την παραμονή
|
Ε V
|
Τοπική οδός
|
-
|
V
|
-
|
-
|
-
|
V
|
Ε VI
|
Τοπική οδός κατοικιών
|
|
-
|
V
|
-
|
-
|
-
|
V
|
Γενική παρατήρηση: Σε όλες τις οδούς με χαμηλά σημεία όπου απαιτείται αντλιοστάσιο
|
V
|
-
|
-
|
ότι και στα συνεχόμενα τμήματα της ίδιας οδού
|
1 περιλαμβάνονται συνδετήριοι κλάδοι και άλλοι κύριοι κλάδοι κόμβων
2 περιλαμβάνονται δευτερεύουσας σημασίας κλάδοι κόμβων
3 βλέπε και κεφάλαιο 10, αποχέτευση καταστρώματος γεφυρών
Πίνακας 2.4-5: Κανόνες επιλογής τυπικής περιόδου επαναφοράς για διαστασιολόγηση οχετών και γεφυρών
Λειτουργικά χαρακτηριστικά οδών
|
Περίοδος επαναφοράς (έτη)
|
Ομάδα οδών
|
Κατηγορία οδού / Χαρακτηρισμός οδού
|
Οχετός με συνολικό άνοιγμα ≤ 6 m
|
Γέφυρες και οχετοί με συνολικό άνοιγμα > 6 m
|
1
|
2
|
3
|
4
|
A
|
οδοί που διατρέχουν περιοχές εκτός σχεδίου (υπεραστικές) με βασική λειτουργία τη σύνδεση και με περιορισμούς στην εξυπηρέτηση παρόδιων ιδιοκτησιών
Σημείωση: Η κατηγορία ΑΙ αφορά οδούς σύνδεσης ευρύτερων περιοχών και οι οποίες δεν παρέχουν άμεση εξυπηρέτηση στις παρόδιες ιδιοκτησίες
|
Α I
|
Αυτοκινητόδρομος
|
50
|
100
|
Οδός ταχείας κυκλοφορίας
|
Α II
|
Οδός μεταξύ νομών / επαρχιών
|
Α III
|
Οδός μεταξύ επαρχιών / οικισμών
|
25
|
50
|
Α IV
|
Οδός μεταξύ μικρών οικισμών.
Συλλεκτήρια οδός
|
Α V
|
Δευτερεύουσα οδός.
Αγροτική οδός
|
10
|
25
|
A VI
|
Τριτεύουσα οδός.
Δασική οδός
|
B
|
οδοί που διατρέχουν περιοχές εντός σχεδίου (ημιαστικές και αστικές) με βασική λειτουργία τη σύνδεση και με περιορισμούς στην εξυπηρέτηση των παρόδιων ιδιοκτησιών
Σημείωση: Οι οδοί κατηγορίας ΒΙ και ΒΙΙ δεν παρέχουν άμεση εξυπηρέτηση στις παρόδιες ιδιοκτησίες
|
Β Ι
|
Αστικός αυτοκινητόδρομος
|
50
|
100
|
Β ΙΙ
|
Αστική οδός ταχείας κυκλοφορίας
|
Β ΙΙΙ
|
Αστική αρτηρία
|
Β IV
|
Κύρια συλλεκτήρια οδός
|
Γ
|
οδοί που διατρέχουν περιοχές εκτός ή εντός σχεδίου (περιαστικές και αστικές) με βασική λειτουργία τη σύνδεση και με δυνατότητα εξυπηρέτησης των παρόδιων ιδιοκτησιών
|
Γ ΙΙΙ
|
Αστική αρτηρία
|
25
|
50
|
Γ IV
|
Κύρια συλλεκτήρια οδός
|
Δ
|
οδοί σε περιοχές εντός σχεδίου (αστικές) με βασική λειτουργία την πρόσβαση
|
Δ IV
|
Συλλεκτήρια οδός
|
Δ V
|
Τοπική οδός
|
Ε
|
οδοί σε περιοχές εντός σχεδίου (αστικές) με βασική λειτουργία την παραμονή
|
Ε V
|
Τοπική οδός
|
Ε VI
|
Τοπική οδός κατοικιών
|
Σημειώσεις
Συνολικό άνοιγμα ορίζεται το άθροισμα των επιμέρους ανοιγμάτων διαμέτρων αντιστοίχως για γέφυρες πολλαπλών ανοιγμάτων ή πολύξιμων οχετών είτε ορθογωνικής είτε κυκλικής ή άλλου σχήματος διατομής.
Οι αναγραφόμενες περίοδοι επαναφοράς θα πρέπει να αναπροσαρμόζονται ανάλογα με τα κριτήρια:
α. οι συνέπειες από πλημμύρες στη γειτονική περιοχή είναι ασυνήθως σοβαρές (π.χ. να εξετάζονται οι συνέπειες για περίοδο επαναφοράς εκατονταετίας σε οχετούς και γέφυρες),
β. η κατηγορία της οδού πρόκειται να αναβαθμισθεί ή υποβαθμισθεί μετά την κατασκευή,
γ. η οδός εξυπηρετεί εξαιρετικά μικρούς κυκλοφοριακούς φόρτους.
4.2. Σχέση έντασης βροχόπτωσης με ορατότητα
Με πειραματικές έρευνες που έγιναν αποδείχθηκε ότι βροχόπτωση με λιγότερη από 50 mm/h η ορατότητα του οδηγού περιορίζεται στα 450 - 1800 m. Η εξίσωση που συσχετίζει την ένταση βροχόπτωσης με την ορατότητα του οδηγού και την ταχύτητα του οχήματος (Ivey, et al, 1975) είναι:
(2.4.2-1)
όπου:
SV (m): η ορατότητα οδηγού
i (mm/h): η ένταση βροχόπτωσης
V (km/h): η ταχύτητα οχήματος
Με την εν λόγω εξίσωση μπορεί να υπολογίζεται η ένταση βροχόπτωσης η οποία αντιστοιχεί σε συγκεκριμένο μήκος ορατότητας. Δηλαδή αντικαθιστώντας το SV με το ελάχιστο μήκος ορατότητας για κάθε ταχύτητα διαπιστώνεται εάν ο οδηγός υπό συγκεκριμένη ένταση βροχής μπορεί να οδηγεί με τη συγκεκριμένη ταχύτητα. Το γεγονός αυτό οδηγεί στο συμπέρασμα ότι είναι περιττή πολυτέλεια η αποφυγή του κατακλυσμού μέρους των κυκλοφορούμενων λωρίδων υπό συνθήκες μεγάλης έντασης βροχόπτωσης (≥ 100 mm/h). Οι τιμές της έντασης που είναι κρίσιμες για κάθε ταχύτητα οχήματος περιλαμβάνονται στον επόμενο Πίνακα 2.4.2-1.
Με την εν λόγω εξίσωση μπορεί να υπολογίζεται η ένταση βροχόπτωσης η οποία αντιστοιχεί σε συγκεκριμένο μήκος ορατότητας. Δηλαδή αντικαθιστώντας το SV με το ελάχιστο μήκος ορατότητας για κάθε ταχύτητα διαπιστώνεται εάν ο οδηγός υπό συγκεκριμένη ένταση βροχής μπορεί να οδηγεί με τη συγκεκριμένη ταχύτητα. Το γεγονός αυτό οδηγεί στο συμπέρασμα ότι είναι περιττή πολυτέλεια η αποφυγή του κατακλυσμού μέρους των κυκλοφορούμενων λωρίδων υπό συνθήκες μεγάλης έντασης βροχόπτωσης (≥ 100 mm/h). Οι τιμές της έντασης που είναι κρίσιμες για κάθε ταχύτητα οχήματος περιλαμβάνονται στον επόμενο Πίνακα 2.4.2-1.
Πίνακας 2.4.2-1: Κρίσιμες τιμές έντασης βροχόπτωσης - Ταχύτητας οχήματος
Ταχύτητα οχήματος
V (km/h)
|
Απαιτούμενο μήκος ορατότητας στάσης *
SV (m)
|
Μέγιστη ένταση βροχόπτωσης**
i (mm/h)
|
1
|
2
|
3
|
120
|
243
|
≤ 184
|
110
|
205
|
≤ 154
|
100
|
170
|
≤ 127
|
90
|
138
|
≤ 103
|
* μήκος ορατότητας σε κατά μήκος κλίση 0% (βλέπε ΟΜΟΕ-Χ)
** αυτή εξασφαλίζει το ελάχιστο μήκος ορατότητας για την ταχύτητα οχημάτων της στήλης (1)
Όταν λοιπόν συντρέχουν τέτοια δεδομένα, δηλαδή η παροχή σχεδιασμού προκύπτει με ένταση βροχόπτωσης i ≥ 100 mm/h, θα πρέπει να συμφωνείται μεταξύ Μελετητή και Υπηρεσίας, ποιο είναι το αποδεκτό πλάτος κατακλυσμού (μέρος λωρίδας κυκλοφορίας ή ολόκληρη). Σε αυτοκινητόδρομο π.χ. ανάλογα με τον αριθμό λωρίδων κυκλοφορίας για την εξεταζόμενη κατεύθυνση:
Επιτρέπεται ο κατακλυσμός, είτε ολόκληρης της εσωτερικής (πλευρά της κεντρικής νησίδας) λωρίδας, είτε μέρους της εξωτερικής λωρίδας πλάτους μέχρις 1 m.
Επιτρέπεται ο κατακλυσμός πλάτους μέχρις 1 m, είτε της εξωτερικής, είτε της εσωτερικής λωρίδας, ή ακόμη και ολόκληρης της εσωτερικής λωρίδας όταν η στάθμη εξυπηρέτησης (LOS) της κυκλοφορίας δεν υποβαθμίζεται κάτω από τη στάθμη D για φόρτο ίσο με το 8% της Ετήσιας Μέσης Ημερήσιας Κυκλοφορίας.
Για όλες αυτές τις αποφάσεις πρέπει να επιβεβαιώνεται ότι στη μελέτη οδοποιίας έχει γίνει ο απαιτούμενος έλεγχος ορατότητας για στάση και ότι με βάση αυτόν έχει προσδιορισθεί το πλάτος του σταθεροποιημένου ερείσματος στην πλευρά της κεντρικής νησίδας (όταν αυτή υλοποιείται με στηθαία New Jersey).
4.3. Σχέση έντασης βροχόπτωσης με συνθήκες υδροολίσθησης
Η πρόληψη της υδροολίσθησης βασίζεται σε κριτήρια που αφορούν στο σχεδιασμό του οδοστρώματος και της γεωμετρίας της χάραξης για την ελαχιστοποίηση του φαινομένου. Μια εμπειρική εξίσωση για την ταχύτητα του οχήματος που προκαλεί την έναρξη της υδροολίσθησης είναι (Gallaway, et al, 1979):
(2.4.3-1)
όπου:
AT: μια εμπειρική καμπύλη που προσομοιάζει στη μεγαλύτερη από τις δυο τιμές:
(2.4.3-2)
όπου (η εξίσωση είναι γραμμένη σε αγγλοσαξονικές μονάδες):
V (mi/h): η ταχύτητα του οχήματος
TD (1/32 in): το βάθος πέλματος ελαστικού
TXD (in): το βάθος της υφής της επιφάνειας κυκλοφορίας
d (in): το πάχος του υμένα του νερού
Pt (psi): η πίεση του ελαστικού
SD (-): ποσοστό σπιναρίσματος, η υδροολίσθηση θεωρείται ότι αρχίζει στο 10% του σπιναρίσματος. Αυτό συμβαίνει όταν ο τροχός περιστρέφεται 1,1 φορές του μήκους της περιφέρειας του προκειμένου να προχωρήσει σε μήκος όσο είναι το μήκος της περιφέρειας του τροχού.
Πρακτικώς υπολογίζεται η ένταση της βροχόπτωσης στην οποία συμβαίνει η υδροολίσθηση όπως περιγράφεται στην παράγραφο 7.3.1.
5. Ορθολογική Μέθοδος
5.1. Εξίσωση και παραδοχές
Μια από τις πλέον συνήθεις εξισώσεις για την εκτίμηση της μέγιστης ροής είναι η εξίσωση της ορθολογικής μεθόδου:
(2.5.1-1)
όπου:
Q (m3/s): Μέγιστη τιμή ποσότητας απορροής
C (-): Συντελεστής απορροής που εξαρτάται από την κάλυψη της λεκάνης απορροής
i (mm/h): Μέση ένταση βροχόπτωσης, για επιλεγμένη περίοδο επαναφοράς και για διάρκεια ίση προς το χρόνο συγκέντρωσης
A (km2): Επιφάνεια λεκάνης, που συνεισφέρει την απορροή της στο σημείο υπό μελέτη
Η ορθολογική εξίσωση προϋποθέτει ότι εάν μια ομοιόμορφη βροχόπτωση έντασης i πέφτει επάνω σε μια έκταση μεγέθους Α, η μέγιστη τιμή απορροής στο σημείο εξόδου της αποχετευόμενης έκτασης θα συμβαίνει όταν όλα τα μέρη της έκτασης συνεισφέρουν στην απορροή, οπότε ο ρυθμός απορροής γίνεται σταθερός. Ο απαιτούμενος χρόνος για να φθάσει η απορροή από το πλέον απομακρυσμένο (υδραυλικά) σημείο (από το οποίο ο χρόνος ροής είναι ο μέγιστος) της αποχετευόμενης έκτασης στο σημείο εξόδου της ή στο εξεταζόμενο σημείο, ονομάζεται χρόνος συγκέντρωσης tC.
Στην πραγματικότητα η απορροή είναι περισσότερο σύνθετη από ότι δείχνεται με την ορθολογική εξίσωση. Η ένταση της βροχόπτωσης σπανίως είναι η ίδια στην έκταση μιας μεγάλης επιφάνειας ή ακόμη σε όλη τη χρονική διάρκεια μιας βροχόπτωσης. Ακόμη και αν συμβαίνει μια βροχόπτωση ομοιόμορφης έντασης με διάρκεια ίση με το χρόνο συγκέντρωσης σε όλα τα μέρη της αποχετευόμενης λεκάνης απορροής, η τιμή της απορροής θα ποικίλει στα διάφορα μέρη της λεκάνης, επειδή υπάρχουν διαφορετικά χαρακτηριστικά της επιφάνειας του εδάφους και μη ομοιόμορφες προηγούμενες συνθήκες (π.χ. μπορεί σε μέρος της λεκάνης το έδαφος να είναι ήδη κορεσμένο σε σχέση με τα άλλα μέρη αυτής).
Κάτω από ορισμένες συνθήκες η μέγιστη τιμή της απορροής συμβαίνει προτού όλα τα μέρη της λεκάνης να συνεισφέρουν τα νερά τους. Η προσωρινή αποθήκευση των ομβρίων στη διαδρομή τους προς καθορισμένες τάφρους αλλά και μέσα σε αυτές τις ίδιες, συνεπάγεται μια αξιοσημείωτη μείωση στη μέγιστη παροχή της ροής, εκτός αν η λεκάνη είναι πολύ μικρής έκτασης. Το σφάλμα στην εκτίμηση της απορροής αυξάνεται καθώς το μέγεθος της λεκάνης αυξάνεται. Για αυτούς τους λόγους, η ορθολογική μέθοδος θα πρέπει να ακολουθείται προκειμένου να προσδιορίζεται η τιμή της απορροής από μεγάλες λεκάνες απορροής. Για το σχεδιασμό των έργων αποχέτευσης της οδού, η χρήση της ορθολογικής μεθόδου θα πρέπει να περιορίζεται για λεκάνες έκτασης μέχρι 0,8 km2.
Η χρήση της ορθολογικής μεθόδου προϋποθέτει τις παραδοχές που συνοπτικά είναι:
(1) Η μέγιστη ροή (αιχμή πλημμύρας) συμβαίνει όταν όλη η λεκάνη συνεισφέρει τα νερά της στο εξεταζόμενο σημείο.
(2) Η ένταση βροχόπτωσης είναι ομοιόμορφη στη διάρκεια χρόνου ίσου με το χρόνο συγκέντρωσης, ο οποίος είναι ο απαιτούμενος χρόνος για το νερό να ταξιδεύσει από το πλέον υδραυλικά απομακρυσμένο σημείο στο σημείο εξόδου ή στο σημείο που ενδιαφέρει. Σημειώνεται ότι το πλέον υδραυλικά απομακρυσμένο σημείο προσδιορίζεται από το χρόνο ροής και όχι απαραιτήτως από την απόσταση του από την εξεταζόμενη θέση.
(3) Η συχνότητα της υπολογιζόμενης αιχμής πλημμύρας είναι ίση με τη συχνότητα της έντασης της βροχόπτωσης. Με άλλα λόγια, η δεκαετής ένταση βροχόπτωσης θεωρείται ότι παράγει τη δεκαετή πλημμύρα.
(4) Ο ρυθμός της απορροής που προκύπτει από οποιαδήποτε ένταση βροχής είναι μέγιστος όταν αυτή η βροχή διαρκεί τόσο ή περισσότερο από τον χρόνο συγκέντρωσης.
(5) Η μέγιστη απορροή προκύπτει από μια ένταση βροχόπτωσης με μια διάρκεια ίση ή μεγαλύτερη από το χρόνο συγκέντρωσης, δηλαδή είναι απόσπασμα μιας τέτοιου μεγέθους έντασης βροχόπτωσης, εφόσον υποτίθεται ότι η παροχή είναι ανάλογη της έντασης και ότι Q=0 όταν i=0.
(6) Η συχνότητα των αιχμών παροχής είναι ή ίδια με την συχνότητα της έντασης βροχόπτωσης για το δεδομένο χρόνο συγκέντρωσης.
(7) Η σχέση μεταξύ των αιχμών παροχής και του μεγέθους της επιφάνειας αποχέτευσης είναι ίδια όπως και η σχέση μεταξύ της διάρκειας και της έντασης βροχόπτωσης.
(8) Ο συντελεστής απορροής είναι ίδιος για καταιγίδες με διαφορετικές εντάσεις.
(9) Ο συντελεστής απορροής είναι ίδιος για όλες τις βροχοπτώσεις σε μια δεδομένη λεκάνη απορροής.
Η ορθολογική μέθοδος συνιστάται υπό τις ακόλουθες προϋποθέσεις και εφόσον υπάρχουν τα δεδομένα που απαιτούνται.
Προϋποθέσεις
|
Απαιτούμενα δεδομένα
|
| • | μικρή λεκάνη επιφάνειας ≤ 0,8 (max 1,3) km2 (για αστικές λεκάνες επιφάνεια ≤ 2 km2) |
| • | χρόνος συγκέντρωσης t<1 ώρα |
| • | διάρκεια βροχόπτωσης ≥ t |
| • | βροχόπτωση ομοιόμορφα κατανεμημένη στο χρόνο και στο χώρο |
| • | απορροή περιλαμβάνει κυρίως διάχυτη επιφανειακή ροή |
| • | αμελητέα αποθηκευτικότητα σε τάφρους |
|
• μέγεθος επιφάνειας λεκάνης
• χρόνος συγκέντρωσης
• ένταση βροχόπτωσης
• συντελεστής απορροής
|
5.2. Συντελεστής απορροής
Ο συντελεστής απορροής C στην ορθολογική εξίσωση αντιπροσωπεύει το ποσοστό των νερών που θα διασχίσουν την επιφάνεια της αποχετευόμενης λεκάνης, κατά τη διάρκεια της βροχόπτωσης, και θα φτάσουν στο εξεταζόμενο σημείο συγκέντρωσης της ροής. Το υπολειπόμενο ποσοστό της βροχόπτωσης που δε φτάνει (χάνεται) στο σημείο συγκέντρωσης συντίθεται από τα μέρη των νερών που διηθούνται στο έδαφος, απορροφούνται από τη βλάστηση, εξατμίζονται και κατακρατούνται στις επιφανειακές κοιλότητες ή γενικά στα χαμηλά σημεία της επιφάνειας του εδάφους.
Σε περιοχές εκτός ανάπτυξης (οδοί υπεραστικές - Ομάδα Οδών Α, οδοί περιαστικές - Ομάδα Οδών Γ, βλέπε ΟΜΟΕ-ΛΚΟΔ), το πεδίο των τιμών του συντελεστή απορροής C, καθορίζεται με βάση τα τέσσερα χαρακτηριστικά της επιφάνειας του εδάφους που είναι:
| • | η αποθηκευτική ικανότητα σε χαμηλά σημεία της επιφάνειας του εδάφους. |
Ο συντελεστής απορροής υπολογίζεται ως το άθροισμα των επιμέρους συντελεστών Cr, Ci, CV, CS που λαμβάνονται από τον Πίνακα 2.5.2-2 και αντιστοιχούν στα προαναφερόμενα τέσσερα χαρακτηριστικά της επιφάνειας εδάφους της εξεταζόμενης λεκάνης.
Σε περιοχές αναπτυγμένες ο συντελεστής απορροής λαμβάνεται από τον επόμενο Πίνακα 2.5.2-3.
Παρατήρηση:
Οι συντελεστές των εν λόγω πινάκων έχουν εφαρμογή σε υπολογισμούς για περιόδους επαναφοράς 5-10 έτη. Για μεγαλύτερες περιόδους επαναφοράς δηλαδή, υψηλότερες εντάσεις βροχόπτωσης, συνήθως απαιτείται διόρθωση των τιμών των πινάκων επειδή η διηθητικότητα καθώς και τα άλλα χαρακτηριστικά της επιφάνειας της αποχετευόμενης λεκάνης τα οποία απομειώνουν την απορροή έχουν μια αναλογικά μικρότερη επίδραση στο συνολικό όγκο της απορροής. Η διόρθωση της εξίσωσης της ορθολογικής μεθόδου επιτυγχάνεται πολλαπλασιάζοντας τον υπολογιζόμενο συντελεστή C με το συντελεστή Cf (βλέπε Πίνακα 2.5.2-1) διατηρώντας όμως σε κάθε περίπτωση ως μέγιστη τιμή του αποτελέσματος του πολλαπλασιασμού C x Cf = 1,0.
Πίνακας 2.5.2-1: Συντελεστής διόρθωσης αναλόγως με περίοδο επαναφοράς
Περίοδος επαναφοράς
|
25
|
50
|
100
|
Συντελεστής διόρθωσης Cf
|
1,10
|
1,20
|
1,25
|
Παράδειγμα
Δεδομένα:
α. Λοφώδες έδαφος με κλίσεις ~5%
β. αργιλικό έδαφος
γ. καλή φυτοκάλυψη
δ. συνήθεις ταπεινώσεις επιφάνειας
Για περίοδο επαναφοράς Τ = 10 έτη.
Λύση:
Ανάγλυφο Cr = 0,14
Διηθητικότητα Ci = 0,08
Φυτική κάλυψη CV = 0,04
Αποθηκευτικότητα CS = 0,06
Συντελεστής C = 0,32
Πίνακας 2.5.2-2: Συντελεστές απορροής σε λεκάνες εκτός αναπτυγμένων περιοχών
Χαρακτηριστικά επιφάνειας εδάφους
|
ακραίες
|
Τιμές συντελεστή απορροής
|
χαμηλές
|
υψηλές
|
συνήθεις
|
#
|
1
|
2
|
3
|
4
|
5
|
1
|
Cr
Ανάγλυφο εδάφους
|
0,28 - 0,35
επικλινές, ανώμαλες επιφάνειες με μέσες κλίσεις >30%
|
0,20 - 0,28
λοφώδες, με μέσες κλίσεις 1030%
|
0,14 - 0,20
κυματώδες με μέσες κλίσεις 510%
|
0,08 - 0,14
σχετικά επίπεδο, με μέσες κλίσεις 0-5%
|
2
|
Ci
Διηθητικότητα εδάφους
|
0,12 - 0,16
μη επηρεαζόμενο κάλυμμα εδάφους, είτε βραχώδες είτε μανδύας λεπτόκοκκου εδάφους αμελητέας διηθητικότητας
|
0,08 - 0,12
βραδείας διηθητικότητας, άργιλοι ή αβαθή παχιά εδάφη χαμηλής διηθητικότητας, ατελώς ή πολύ μικρής αποστραγγιστικότητας
|
0,06 - 0,08
κανονικής διηθητικότητας καλά αποστραγγιζόμενο μικρής ή μεσαίας μακροϋφής εδάφη, αμμώδη παχιά εδάφη, ιλύες και ιλυώδη εδάφη
|
0,04 - 0,06
υψηλής διηθητικότητας βαθιά άμμος ή άλλο έδαφος που απορροφά το νερό, πολύ ελαφριά καλά αποστραγγιζόμενα εδάφη
|
3
|
CV
Φυτική κάλυψη εδάφους
|
0,12 - 0,16
βλάστηση που δεν επηρεάζει, γυμνό ή πολύ αραιά κάλυψη
|
0,08-0,12
πτωχή έως μέτρια, καθαρές καλλιέργειες ή πτωχής φυσικής κάλυψης, λιγότερο από 20% της αποχετευόμενης επιφάνειας με καλή κάλυψη
|
0,06-0,08
μέτρια έως καλή, περίπου 50% της επιφάνειας είναι καλή φυτική γη ή δασώδες, λιγότερο από 50% επιφάνειας είναι καλλιέργειες
|
0,04 - 0,06
καλή έως άριστη, περίπου 90% της αποχετευόμενης επιφάνειας είναι καλή φυτική γη, δασώδες ή ισοδύναμης κάλυψης
|
4
|
CS
Αποθηκευτικότητα επιφάνειας εδάφους
|
0,10 - 0,12
αμελητέες ταπεινώσεις εδάφους και αβαθείς, διάδρομοι αποστράγγισης επικλινείς και μικροί, καθόλου τέλματα
|
0,08 - 0,10
χαμηλή, καλά οριζόμενο σύστημα διαδρόμων αποστράγγισης, όχι λιμνάζοντα νερά ή τέλματα
|
0,06-0,08
κανονική, σημαντικές επιφανειακές ταπεινώσεις, λιμνάζοντα νερά και τέλματα
|
0,04 - 0,06
υψηλή, αποθηκευτικότητα, σύστημα αποστράγγισης όχι καλά οριζόμενο, μεγάλος αριθμός πλημμυριζόμενων επιφανειών ή τελμάτων
|
Σημείωση:
Για περίοδο επαναφοράς > δεκαετή εφαρμόζεται στις προαναφερόμενες τιμές διόρθωση πολλαπλασιάζοντας αυτές με το συντελεστή Cf, όμως σε κάθε περίπτωση ως μέγιστη τιμή του αποτελέσματος του πολλαπλασιασμού λαμβάνεται C x Cf = 1,0 (βλέπε Πίνακα 2.5.2-1).
Πίνακας 2.5.2-3: Συντελεστής απορροής λεκανών αναπτυγμένων περιοχών
Είδος επιφάνειας εδάφους
|
Τιμές συντελεστή C
|
#
|
1
|
2
|
1
|
Περιοχή επιχειρήσεων:
|
|
|
α. κέντρο πόλης
|
0,70 - 0,95
|
|
β. έκταση γειτονίας
|
0,50 - 0,70
|
2
|
Περιοχή κατοικίας:
|
|
|
α. μονοκατοικίες
|
0,30 - 0,50
|
|
β. πολυκατοικίες πανταχόθεν ελεύθερες
|
0,40 - 0,50
|
|
γ. πολυκατοικίες συνεχούς συστήματος
|
0,60 - 0,75
|
3
|
Περιοχή βιομηχανίας:
|
|
|
α. ελαφριάς
|
0,50 - 0,80
|
|
β. βαριάς
|
0,60 - 0,90
|
4
|
Πάρκα, Κοιμητήρια:
|
0,10 - 0,25
|
5
|
Αθλοπαιδιές:
|
0,20 - 0,40
|
6
|
Υπαίθριοι χώροι σιδηροδρομικών σταθμών:
|
0,20 - 0,40
|
7
|
Αδιαμόρφωτες επιφάνειες:
|
0,10 - 0,30
|
8
|
Επιφάνειες γκαζόν:
|
|
|
α. αμμώδες έδαφος, επίπεδων κλίσεων <2%
|
0,05 - 0,10
|
|
β. αμμώδες έδαφος, μέσων κλίσεων 2-7%
|
0,10 - 0,15
|
|
γ. αμμώδες έδαφος, εντόνων κλίσεων >7%
|
0,15 - 0,20
|
|
δ. σύνηθες έδαφος, επίπεδων κλίσεων <2%
|
0,13 - 0,17
|
|
ε. σύνηθες έδαφος, μέσων κλίσεων 2-7%
|
0,18 - 0,25
|
|
ζ. σύνηθες έδαφος, εντόνων κλίσεων >7%
|
0,25 - 0,35
|
9
|
Επιφάνειες οδοστρώματος Οδών:
|
|
|
α. Οδόστρωμα ασφαλτικό
|
0,70 - 0,95
|
|
β. Οδόστρωμα σκυροδέματος
|
0,80 - 0,95
|
|
γ. Οδόστρωμα πλακολίθων
|
0,70 - 0,85
|
|
δ. Οδόστρωμα αμμοχάλικου
|
0,75 - 0,85
|
10
|
Σκεπές κτισμάτων:
|
0,75 - 0,95
|
Σημείωση:
Για περίοδο επαναφοράς > δεκαετή εφαρμόζεται στις προαναφερόμενες τιμές διόρθωση πολλαπλασιάζοντας αυτές με το συντελεστή Cf, όμως σε κάθε περίπτωση ως μέγιστη τιμή του αποτελέσματος του πολλαπλασιασμού λαμβάνεται C x Cf = 1,0 (βλέπε Πίνακα 2.5.2-1).
Όπου η λεκάνη απορροής συντίθεται από διαφορετικά είδη εδάφους, ο συντελεστής απορροής υπολογίζεται ως ο μέσος συντελεστής των διαφορετικών τμημάτων της λεκάνης (βλέπε παράδειγμα πρόβλημα 2.1 που ακολουθεί). Εντούτοις η ακρίβεια της ορθολογικής μεθόδου είναι καλύτερη όταν η χρήση γης είναι ενιαία σε όλη την έκταση της λεκάνης. Συνθήκες ουσιαστικής διαφοράς χρήσεων γης μπορεί να οδηγήσουν σε ασυνεπείς εκτιμήσεις του χρόνου συγκέντρωσης και ως εκ τούτου της έντασης, καθώς και σε σφάλματα στον προσδιορισμό του πλέον κατάλληλου C.
5.3. Χρόνος συγκέντρωσης
Ο χρόνος συγκέντρωσης, όπως ορίζεται προηγουμένως, ποικίλει αναλόγως με το μέγεθος και το σχήμα της λεκάνης απορροής, την κλίση του εδάφους, το είδος της επιφάνειας, την ένταση της βροχόπτωσης, καθώς και το εάν η ροή διαχέεται σε όλη την επιφάνεια ή γίνεται μέσα σε τάφρους. Ο χρόνος συγκέντρωσης μπορεί να θεωρείται ως το άθροισμα του χρόνου της ροής επάνω στην επιφάνεια του εδάφους και των χρόνων της ροής μέσα σε ρείθρα τάφρους, υπονόμους, κ.τ.λ.
Πρακτικώς, ο χρόνος συγκέντρωσης είναι ο χρόνος που ταξιδεύει ένα κύμα, καθώς ανθίσταται στην ταχύτητα του νερού, από το πλέον υδραυλικά απομακρυσμένο σημείο μέχρι τη θέση που εξετάζεται. Εντούτοις, οι αβεβαιότητες για την πραγματική διαδρομή της ροής στην επιφάνεια του εδάφους, η τραχύτητα, η κλίση και οι μεταβολές της βροχόπτωσης (χρονικά και χωρικά) εμποδίζουν τόσο για τη διάκριση όσο και για την ακρίβεια οποιουδήποτε υπολογισμού. Η εξαιρετική ακρίβεια δεν μπορεί να είναι εγγυημένη κατά τον προσδιορισμό του χρόνου συγκέντρωσης, ειδικά για την μελέτη εγκαταστάσεων αποχέτευσης μικρών επιφανειών. Εντούτοις, επειδή η παροχή αιχμής είναι γενικά ευαίσθητη ως προς το χρόνο συγκέντρωσης, θα πρέπει να δίνεται ιδιαίτερη προσοχή εάν από τον υπολογισμό αυτό αποκτάται η καταλληλότερη τιμή.
Παράδειγμα πρόβλημα 2.1

Δεδομένα: Μια τάφρος ποδός συλλέγει την απορροή από το οδόστρωμα και μια πλευρική λεκάνη απορροής. Η συνεισφέρουσα έκταση έχει μια ομοιόμορφη διατομή ως εξής:
3,50 m ασφαλτικού οδοστρώματος
8,00 m συνολικό πλάτος επιφάνειας αμμοχάλικου που είναι το έρεισμα και η τάφρος με τα πρανή της
60,00 m δασωμένη εξωτερική λεκάνη
125,00 m συνολικό μήκος της επιφάνειας
Ζητούμενα: Ο συντελεστής απορροής C
Λύση:
Είδος επιφάνειας
|
C (-)
|
Επιφάνεια
Ε (m2)
|
Ανηγμένη Επιφάνεια
C x E (m2)
|
Ασφαλτικό οδόστρωμα
|
0,9
|
438
|
394
|
Έρεισμα, τάφρος και τα πρανή της
|
0,5
|
1 000
|
500
|
Δασωμένη λεκάνη απορροής
|
0,3
|
7 500
|
2 250
|
Άθροισμα
|
|
8 938
|
3 144
|
Μέσος σταθμισμένος συντελεστής C = 3 144 / 8 938 = 0,35.
Για την εκτίμηση του χρόνου συγκέντρωσης υπάρχει ένα πλήθος από εμπειρικές εξισώσεις. Όταν η αποχετευόμενη επιφάνεια περιλαμβάνει διαφορετικές διαδρομές ροής, ο χρόνος συγκέντρωσης είναι το άθροισμα των επιμέρους χρόνων που υπολογίζονται για κάθε διαδρομή του νερού. Ο χρόνος διαδρομής στο ρείθρο στον υπόνομο και στην τάφρο τυπικώς εκτιμάται από τη βασική υδραυλική εξίσωση t = απόσταση / ταχύτητα. Η ταχύτητα σε αβαθείς συγκεντρώσεις ροής μπορεί να εκτιμάται από το διάγραμμα του Σχήματος 2.5.3-1.
Η εξίσωση της κινηματικής των κυμάτων
Για ροή διάχυτη επάνω στην επιφάνεια του εδάφους, η πλέον ορθή προσέγγιση υπολογισμού βασίζεται στη θεωρεία της κινηματικής των κυμάτων:
(2.5.3-1)
όπου:
t (min): ο χρόνος συγκέντρωσης
L (m): το μήκος επιφανειακής ροής, η λεκάνη πρέπει να έχει μήκος < 91 m, προσφάτως η έρευνα υποδεικνύει μικρότερα μήκη ~30 m,
n (s/m1/3): ο συντελεστής τραχύτητας του Manning, για επιστρωμένες επιφάνειες η τιμή n συνήθως λαμβάνεται όπως για λείες επιφάνειες (π.χ. 0,016)
i (mm/h): η ένταση βροχόπτωσης
S (m/m): η μέση κλίση της επιφάνειας απορροής
Η επίλυση αυτής της εξίσωσης γίνεται με παλινδρομική διαδικασία επειδή τόσο ο χρόνος συγκέντρωσης όσο και ο χρόνος βροχόπτωσης είναι άγνωστοι. Όταν εφαρμόζεται η εξίσωση σε ροή επιφάνειας με χλόη η τιμή του n είναι πολύ μεγάλη (π.χ. 0,5). Αυτό είναι απαραίτητο να λαμβάνεται υπόψη για μεγάλες σχετικά τιμές τραχύτητας που προκύπτουν από το γεγονός ότι η ροή γίνεται ανάμεσα στη χλόη και όχι επάνω σε αυτή όπως είναι η περίπτωση της ροής μέσα σε τάφρους με χλόη.
Προκειμένου να αποφεύγεται η διαδικασία της παλινδρόμησης για την επίλυση της προαναφερόμενης εξίσωσης επιτρέπεται να χρησιμοποιείται η εξίσωση:
(2.5.3-2)
όπου:
P2 (mm): το ύψος βροχόπτωσης 24ωρου για διετή περίοδο επαναφοράς
Οι λοιπές παράμετροι όπως ορίζονται προηγουμένως.
Η εξίσωση αυτή δεν είναι πάντα προφανής όταν συμβαίνουν αλλαγές στη ροή δηλαδή περιλαμβάνεται ροή επάνω στην επιφάνεια αλλά και ροή σε αβαθείς συγκεντρώσεις. Εάν μια μικρή τάφρος ή άλλη συγκεντρωμένη ροή δεν είναι προφανής ότι συμβαίνει, τότε είναι λογικό να υποτεθεί μια μέγιστη επιφανειακή ροή επί μήκους 130 m. Ως γενικός κανόνας, εάν ο συνολικός χρόνος συγκέντρωσης είναι μικρότερος από 5 λεπτά, μια ελάχιστη τιμή των 5 λεπτών θα πρέπει να χρησιμοποιείται για την εκτίμηση της παροχής σχεδιασμού.
Πίνακα 2.5.3-1: Συντελεστές τραχύτητας n Manning για διάχυτη επιφανειακή ροή
#
|
Επιστρωμένες επιφάνειες
|
η
|
1
|
Ομαλή άσφαλτος
|
0,011
|
2
|
Ομαλό σκυρόδεμα
|
0,012
|
3
|
Επένδυση σκυροδέματος
|
0,013
|
4
|
Καλή ξύλινη επιφάνεια
|
0,014
|
5
|
Πλακόστρωτα με τσιμεντοκονίαμα
|
0,014
|
6
|
Ραβδωτό σκυρόδεμα
|
0,024
|
7
|
Χέρσο έδαφος
|
0,050
|
8
|
Υπόλοιπο κάλυψης <20%
|
0,06
|
9
|
Υπόλοιπο κάλυψης >20%
|
0,17
|
10
|
Φυσική κάλυψη
|
0,13
|
#
|
Φυτοκάλυψη
|
|
11
|
Λιβάδια ελάχιστου ύψους χλόης
|
0,15
|
12
|
Πυκνή
|
0,24
|
13
|
Γκαζόν
|
0,41
|
#
|
Δασικές εκτάσεις
|
|
14
|
Αραιών θάμνων
|
0,40
|
15
|
Πυκνών θάμνων
|
0,80
|
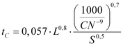
Η εξίσωση Kirpich
Συνδυασμένος χρόνος συγκέντρωσης από επιφανειακή και εντός μισγαγγειών ροή. Μια χονδρική προσέγγιση του συνολικού χρόνου συγκέντρωσης για μια αποχετευόμενη λεκάνη απιοειδούς σχήματος μπορεί να υπολογίζεται με την εφαρμογή της εξίσωσης Kirpich:
(2.5.3-3)
όπου:
tC (min): χρόνος συγκέντρωσης
L (m): η οριζόντια προβολή του μήκους της λεκάνης
Η (m): η υψομετρική διαφορά μεταξύ του απώτατου σημείου και του εξεταζόμενου σημείου όπου τα νερά διανύουν το μήκος L
Υπολογισμός χρόνου συγκέντρωσης σε επιφάνεια οδοστρώματος
Ο υπολογισμός του χρόνου συγκέντρωσης για ροή επάνω σε αβαθή τάφρο ή ρείθρο (Gutter) οδοστρώματος μπορεί να γίνεται από την εξίσωση που προκύπτει από το συνδυασμό της εξίσωσης Manning και της ορθολογικής εξίσωσης:
(2.5.3-4)
όπου:
tg (min): χρόνος συγκέντρωσης
SX (m/m): η κλίση
T (m): πλάτος νερού
C (-): συντελεστής απορροής
i (m/h): ένταση
WP (m): πλάτος οδοστρώματος που συνεισφέρει στη ροή

Σχήμα 2.5.3-1: Μέσες ταχύτητες για τον υπολογισμό του χρόνου διαδρομής σε αβαθείς συγκεντρώσεις ροής
5.4. Ένταση Βροχόπτωσης
Τα δεδομένα έντασης βροχόπτωσης - περιόδου επαναφοράς προαναφέρονται στην παράγραφο 4. Όταν παρέχονται τα συνολικά ύψη βροχόπτωσης αυτές οι τιμές μετατρέπονται σε ένταση βροχόπτωσης, για χρήση στην ορθολογική εξίσωση, διαιρώντας το ύψος βροχόπτωσης με τη διάρκεια εκφρασμένη σε ώρες.
5.5. Αποχετευόμενη Επιφάνεια
Η αποχετευόμενη επιφάνεια που συνεισφέρει στη ροή μέχρι την εξεταζόμενη θέση, μπορεί να μετρηθεί από τοπογραφικό χάρτη ή ακόμη και στο πεδίο. Τα απαιτούμενα δεδομένα για τον προσδιορισμό του χρόνου συγκέντρωσης και του συντελεστή απορροής θα πρέπει να σημειώνονται κατά την προκαταρκτική έρευνα πεδίου.
Υπολογισμός μέσης κλίσης λεκάνης
Μία μέθοδος μέτρησης της μέσης κλίσης της επιφάνειας μιας λεκάνης αναπτύχθηκε από τον Horton (1926). Αυτή περιλαμβάνει την τοποθέτηση ενός κάναβου επάνω στο χάρτη ισοϋψών καμπυλών της λεκάνης και τη μέτρηση του μήκους κάθε γραμμή του κάναβου μέσα στα όρια της λεκάνης. Μετράται ο αριθμός των σημείων τομής με τις ισοϋψείς. Κατόπιν η κλίση της επιφάνειας υπολογίζεται από τον τύπο:

όπου:
N (-): ο αριθμός των σημείων τομής των ισοϋψών με τις γραμμές του κάναβου
θ (r): η γωνία μεταξύ της πλευράς του κάναβου και της καθέτου στην ισοϋψή στο σημείο τομής (βλέπε λεπτομέρεια στο Σχήμα 2.5.5-1)
L (m): συνολικό μήκος των οριζόντιων και κάθετων τμημάτων του κάναβου που αποτέμνονται ανάμεσα στα όρια της λεκάνης
h (m): η υψομετρική διαφορά μεταξύ των ισοϋψών καμπυλών
Επειδή η μέτρηση των γωνιών είναι εξαιρετικά χρονοβόρα συνήθως παραλείπεται, οπότε τα αποτεμνόμενα τμήματα από τις οριζόντιες και κατακόρυφες γραμμές του κάναβου μετρώνται χωριστά και από το μέσο όρο αυτών υπολογίζεται η κλίση της επιφάνειας. Η εν λόγω απλοποιημένη μέθοδος δείχνεται στο επόμενο παράδειγμα με βάση το Σχήμα 2.5.5-1.
Η όλη διαδικασία πρέπει να γίνεται ηλεκτρονικά δηλαδή:
α. γίνεται ηλεκτρονική σάρωση χάρτη 1:5000 της Γεωγραφικής Υπηρεσίας Στρατού ή και άλλης κλίμακας εφόσον δεν υπάρχει τέτοιος,
β. σχεδιάζονται τα όρια της λεκάνης και αυτή εμβαδομετρείται ηλεκτρονικά,
γ. γίνονται οι μετρήσεις που προαναφέρονται για τον υπολογισμό της μέσης κλίσης.

Σχήμα 2.5.5-1: Παράδειγμα προσδιορισμού της μέσης κλίσης της λεκάνης με κατάλληλη μέθοδο
Ισοδιάσταση ισοϋψών 10 m
Πλήθος τομών ισοϋψών με τις κατακόρυφες γραμμές κάναβου NV = 137
Πλήθος τομών ισοϋψών με τις οριζόντιες γραμμές κάναβου NH = 138
Συνολικό μήκος αποτεμνόμενων κατακόρυφων γραμμών LV = 81 000 m
Συνολικό μήκος αποτεμνόμενων οριζόντιων γραμμών LH = 79 000 m

Μέση κλίση επιφάνειας S = (0,0169+0,0175) / 2 = 0,0172 m/m
5.6. Υπολογισμός Παροχής Σχεδιασμού Σύνθετων Αποχετευόμενων Επιφανειών
Η ορθολογική μέθοδος για μια απλή αποχετευόμενη επιφάνεια παρουσιάζεται στο παράδειγμα πρόβλημα 2.2 που ακολουθεί. Για άλλα σημεία κατά μήκος μιας τάφρου η παροχή σχεδιασμού υπολογίζεται χρησιμοποιώντας το υδραυλικά μακρύτερο χρόνο διαδρομής μέχρι το σημείο όπου πρόκειται να προσδιορισθεί η παροχή.
Σε μερικούς συνδυασμούς αποχετευόμενων επιφανειών, είναι δυνατόν η μέγιστη τιμή της απορροής να συμβεί για την υψηλότερη ένταση βροχόπτωσης σε χρονικό διάστημα μικρότερο από το χρόνο συγκέντρωσης που αφορά τη συνολική επιφάνεια, όταν ακόμα μόνο μέρος της αποχετευόμενης επιφάνειας συνεισφέρει. Αυτό μπορεί να συμβεί όταν ένα μέρος της αποχετευόμενης επιφάνειας έχει πολύ μεγάλη αδιαπερατότητα και η συνεισφορά του δίνεται σε ένα μικρό χρόνο συγκέντρωσης, ενώ ένα άλλο μέρος που είναι διαπερατό συνεισφέρει σε πολύ περισσότερο χρόνο συγκέντρωσης. Εκτός από τις περιπτώσεις που οι επιφάνειες ή οι χρόνοι συγκέντρωσης είναι ουσιαστικώς εκτός ισομετρίας, η ακρίβεια της μεθόδου δεν εγγυάται τον έλεγχο της αιχμής της ροής από ένα μόνο μέρος της αποχετευόμενης επιφάνειας. Ειδικώς αυτό είναι αληθές για σχετικώς μικρές αποχετευόμενες επιφάνειες που έχουν σχέση με εγκαταστάσεις αποχέτευσης οδοστρώματος οδών.
Παράδειγμα πρόβλημα 2.2
Δεδομένα: Η συνεισφέρουσα επιφάνεια όπως περιγράφεται στο παράδειγμα πρόβλημα 2.1 (βλέπε παράγραφο 5.1)
Ο σταθμισμένος συντελεστής είναι C=0,35 και η τάφρος έχει μήκος 125 m με κλίση 0,5%.
Ζητούμενα: Η παροχή για μια δεκαετή περίοδο επαναφοράς στη θέση στομίου υδροσυλλογής κοντά στο χαμηλότερο σημείο της παρόδιας τάφρου.
Λύση: Ο χρόνος διαδρομής στην επιφάνεια λαμβάνεται από την εξίσωση (2.5.3-1). Το μήκος της επιφανειακής ροής είναι 60 m, η τιμή n=0,5 και η κλίση S=0,005 m/m. Η ένταση βροχόπτωσης αρχικά υποτίθεται ότι είναι 55 mm/h.

Από τις καμπύλες του Σχήματος 2.4-1 η ένταση βροχόπτωσης για διάρκεια 53 min και δεκαετή περίοδο επαναφοράς είναι περίπου 50 mm/h, η οποία είναι ίση περίπου με την αρχικώς υποτεθείσα ένταση i=55 mm/h για τον υπολογισμό του t. Για την τάφρο μήκους 125 m ο χρόνος διαδρομής θα εκτιμηθεί με βάση τη μέση ταχύτητα και τη διανυόμενη απόσταση. Από το Σχήμα 2.5.3-1 η μέση ταχύτητα για μια ανεπίστρωτη επιφάνεια με αβαθή συγκεντρωμένη ροή είναι περίπου 0,35 m/s για μια κλίση 0,005 m/m. Για την τάφρο των 125 m ο χρόνος διαδρομής είναι:
tCH = 125/0,35 = 357 s = 6 min
Ο συνολικός χρόνος συγκέντρωσης είναι:
tc = 6 + 53 = 59 min
Από τις καμπύλες του Σχήματος 2.4-1 η ένταση της βροχόπτωσης για δεκαετή περίοδο επαναφοράς και για χρόνο συγκέντρωσης 59 min είναι περίπου 47 mm/h.
Η υπολογιζόμενη παροχή (από όλη την επιφάνεια 8 938 m2=8 938 · 10-6 km2) στο σημείο εξόδου της τάφρου είναι:
Q = 0,35·47·8 938·10-6/3,6 = 0,041 m3/s
6. Μέθοδοι Παλινδρόμησης
6.1. Επισκόπηση μεθόδων παλινδρόμησης
Τοπικές εξισώσεις παλινδρόμησης συνήθως χρησιμοποιούνται για την εκτίμηση της αιχμής ροών σε περιοχές άνευ δεδομένων μετρήσεων ή σε περιοχές με ανεπαρκή δεδομένα. Οι τοπικές εξισώσεις παλινδρόμησης συσχετίζουν την αιχμή ροής για μια συγκεκριμένη περίοδο επαναφοράς με τα φυσιογραφικά, υδρολογικά και μετεωρολογικά χαρακτηριστικά της λεκάνης απορροής. Οι σχέσεις παλινδρόμησης στηρίζονται κυρίως σε δεδομένα μετρήσεων, αλλά μπορεί επίσης να περιλαμβάνουν αναλυτικά προβλεπόμενες εκτιμήσεις παροχών οι οποίες είναι μέρος μιας βάσης δεδομένων και χρησιμοποιούνται για την ανάπτυξη μιας δεδομένης εξίσωσης.
6.2. Τοπικές εξισώσεις παλινδρόμησης
Εξισώσεις υπολογισμού της έντασης βροχόπτωσης σε σχέση με το χρόνο διάρκειας έχουν αναπτυχθεί για τις ανάγκες τοπικών έργων είτε αστικών περιοχών είτε τμημάτων αυτοκινητοδρόμων, μέχρι σήμερα για αρκετές περιοχές της χώρας. Βεβαίως δεν έχει γίνει κάποια συνολική επεξεργασία και αξιολόγηση των αποτελεσμάτων αυτών των εργασιών από αρμόδιο κεντρικό φορέα. Ως εκ τούτου προκύπτει ότι είναι στη διακριτική ευχέρεια της ενδιαφερόμενης Υπηρεσίας να υιοθετεί ή να εντέλλεται την ανάθεση σχετικών υδρολογικών μελετών. Πρέπει να σημειωθεί ότι η ακρίβεια των εξισώσεων μπορεί να είναι συζητήσιμη επειδή επιπλέον σε ορισμένες περιπτώσεις τα βροχομετρικά στοιχεία που χρησιμοποιούνται δεν είναι πάντα τα απαιτούμενα κυρίως σε βάθος χρόνου αλλά και θέσεων των σταθμών μετρήσεων.
6.3. Εξισώσεις παλινδρόμησης αστικών περιοχών
Η εκτίμηση της παροχής αιχμής σε αστικές περιοχές γίνεται με εξισώσεις για διάφορες περιόδους επαναφοράς. Οι εξισώσεις αυτές πρέπει να αναπτύσσονται για περίοδο επαναφοράς 2, 5, 25, 50, 100 και 500 έτη.
7. Λογισμικό Ανάλυσης - Σχεδιασμού
Για την ανάλυση και σχεδιασμό της αποχέτευσης οδών μπορεί να χρησιμοποιείται λογισμικό που έχει αναπτυχθεί από τη FHWA. Το λογισμικό αυτό είναι ελεύθερης χρήσης και θεωρείται ως το πλέον καταλληλότερο για την ολοκλήρωση των ποικίλων υδρολογικών και υδραυλικών αναλύσεων. Όμως στη διεθνή αγορά κυκλοφορούν και άλλα λογισμικά εξίσου ή και καλύτερα ως προς τη χρήση τους. Έτσι σήμερα επιβάλλεται η μελέτη αποχέτευσης να εκπονείται με τη βοήθεια αποδεδειγμένως αξιόπιστων προγραμμάτων Η/Υ.
8. Συνθετικό Μοναδιαίο Υδρογράφημα
8.1. Εισαγωγή
Το υδρογράφημα (hydrograph) είναι η συνεχής γραφική παράσταση της παροχής, Q, ενός υδατορέματος σε μια συγκεκριμένη διατομή στη διάρκεια του χρόνου, t. Το υδρογράφημα μπορεί να προκύψει από την απευθείας μετατροπή της στάθμης του υδατορέματος (που στη διάρκεια ενός πλημμυρικού επεισοδίου καταγράφεται σε συνεχή χρόνο από ένα αυτόματο καταγραφικό όργανο της στάθμης που ονομάζεται σταθμηγράφος) σε παροχή βάσει των καμπυλών στάθμης - παροχής (stage - discharge curves). Αυτές οι καμπύλες προκύπτουν από τις υδρομετρήσεις, δηλαδή τις περιοδικές αλλά ταυτόχρονες μετρήσεις στάθμης και παροχής και την προσαρμογή τους σε μια εξίσωση της μορφής:
Q=a(H - H0)b
Όπου, a και b είναι οι παράμετροι που προκύπτουν από την προσαρμογή της ευθείας των ελαχίστων τετραγώνων στους φυσικούς λογάριθμους της παροχής Q και της στάθμης H. Η στάθμη H0 αναφέρεται στη στάθμη αναφοράς για την οποία Q = 0.
Σε υδατορέματα για τα οποία δεν υπάρχουν καθόλου μετρήσεις της παροχής ούτε συνεχείς καταγραφές της στάθμης, η μετατροπή της βροχής σε απορροή μπορεί να γίνει είτε μέσω κατάλληλα προσαρμοσμένων μαθηματικών μοντέλων προσομοίωσης της απορροής είτε μέσω της διόδευσης του πλημμυρικού κύματος στην υπόψη διατομή σε περίπτωση που στο ίδιο υδατόρεμα αλλά σε άλλη θέση υπάρχει εγκατάσταση μέτρησης της στάθμης.
Σε περιπτώσεις κατασκευής τεχνικών έργων κοντά στην κοίτη ενός υδατορέματος (π.χ. υπολογισμός ύψους γέφυρας, σχεδιασμός αντιπλημμυρικής τάφρου αυτοκινητόδρομου) ενδιαφέρει άμεσα το υδρογράφημα της πλημμύρας σχεδιασμού ή πλημμυρογράφημα σχεδιασμού (design hydrograph) του τεχνικού έργου που συνδέεται άμεσα με την βροχόπτωση σχεδιασμού (design storm). Ως βροχόπτωση σχεδιασμού (αντιστοίχως: πλημμύρα σχεδιασμού) αναφέρεται συνήθως η βροχόπτωση (αντιστοίχως: παροχή) εκείνη της οποίας το συνολικό ύψος (αντιστοίχως: αιχμή παροχής 1) έχει μια συγκεκριμένη περίοδο επαναφοράς, Τ. Αυτό σημαίνει ότι θα παρουσιαστεί ύψος βροχόπτωσης μεγαλύτερο από εκείνο της βροχόπτωσης σχεδιασμού κατά μέσο όρο μία φορά στα Τ χρόνια της ζωής του έργου. Αντίστοιχα η πιθανότητα υπέρβασης, p, του ύψους της βροχόπτωσης σχεδιασμού σε ένα δεδομένο έτος θα είναι ίση με 1/Τ. Για παράδειγμα, αν γίνει η εκτίμηση της βροχόπτωσης σχεδιασμού με περίοδο επαναφοράς Τ = 20 έτη, δηλαδή θα έχουμε υπέρβαση κατά μέσο όρο μία φορά στα 20 έτη, τότε η πιθανότητα υπέρβασης για κάθε δεδομένο έτος θα είναι p = 1/20 = 0.05. Θα πρέπει να κατανοηθεί ότι το μέγεθος της περιόδου επαναφοράς είναι μόνο στατιστικό. Για παράδειγμα, δεν σημαίνει ότι θα γίνει υπέρβαση της βροχόπτωσης σχεδιασμού μόνο μια φορά στα 20 έτη, αλλά μπορεί να συμβαίνει και κάθε χρόνο καθώς η αντίστοιχη πιθανότητα είναι ίση με 5%.
Θα πρέπει επίσης να επισημανθεί ότι η περίοδος επαναφοράς της βροχόπτωσης σχεδιασμού δεν είναι ίση με την περίοδο επαναφοράς της πλημμύρας σχεδιασμού (π.χ. πλημμυρική αιχμή) κυρίως λόγω της επίδρασης των υδρολογικών απωλειών (κατακράτηση, διήθηση) που γενικά είναι διαφορετικές σε κάθε πλημμυρικό επεισόδιο. Σημειώνεται ότι η υιοθέτηση της περιόδου επαναφοράς της βροχόπτωσης σχεδιασμού είναι προτιμότερη από τον απευθείας υπολογισμό της περιόδου επαναφοράς της πλημμυρικής αιχμής δεδομένου ότι τα δεδομένα βροχόπτωσης αποτελούν στατιστικό δείγμα με μεγαλύτερη χρονική διάρκεια και πληρότητα καταγραφών ακόμα και στην περίπτωση εκείνη που υπάρχει θέση μέτρησης των παροχών στο υπόψη υδατόρεμα.
Η μετατροπή της βροχόπτωσης σχεδιασμού σε πλημμυρογράφημα σχεδιασμού μπορεί να γίνει με διάφορους τρόπους, στην περίπτωση που υπάρχουν μετρήσεις της απορροής στην υπόψη θέση του υδατορέματος ή όχι. Στην περίπτωση ύπαρξης μετρήσεων της απορροής ιστορικών πλημμυρικών επεισοδίων (γεγονός όχι και τόσο διαδεδομένο στην Ελλάδα), η μετατροπή της βροχόπτωσης σχεδιασμού σε πλημμύρα σχεδιασμού μπορεί να γίνει με την κατασκευή και την εφαρμογή του Μοναδιαίου Υδρογραφήματος ΜΥ (unit hydrograph) που προκύπτει από την ανάλυση αρκετών ιστορικών καταιγίδων και πλημμυρών της ανάντη λεκάνης απορροής για την υπόψη θέση. Σε υδατορέματα που δεν υπάρχουν μετρήσεις της παροχής, το μοναδιαίο υδρογράφημα κατασκευάζεται με βάση παραμέτρους που αφορούν σε γεωμορφολογικά χαρακτηριστικά της λεκάνης απορροής. Οι παράμετροι αυτοί έχουν προκύψει από την ανάλυση λεπτομερών καταγραφών βροχόπτωσης της ανάντη υδρολογικής λεκάνης και πλημμυρικής απορροής σε διάφορες λεκάνες άλλων χωρών κυρίως των Ηνωμένων Πολιτειών Αμερικής. Το μοναδιαίο υδρογράφημα της μορφής αυτής ονομάζεται συνθετικό μοναδιαίο υδρογράφημα (synthetic unit hydrograph).
1 Για το σχεδιασμό αντιπλημμυρικών έργων χρησιμοποιείται ως μέγεθος αναφοράς η πλημμυρική αιχμή ενώ για κάποιους άλλους λόγους θα μπορούσε να χρησιμοποιηθεί ο όγκος της απορροής (π.χ. σχεδιασμός δεξαμενών κατακράτησης).
Το Μοναδιαίο Υδρογράφημα
Το Μοναδιαίο Υδρογράφημα ΜΥ είναι το απλούστερο εμπειρικό υδρολογικό μοντέλο μετατροπής της βροχόπτωσης σε απορροή. Αναπαριστά την απορροή που προκύπτει από καθαρή (ή ενεργή ή ωφέλιμη) βροχόπτωση μοναδιαίου ύψους μέσα σε προκαθορισμένο χρονικό διάστημα. Η χρήση και η εφαρμογή του μοναδιαίου υδρογραφήματος στη σύνθεση των πλημμυρογραφημάτων μιας λεκάνης απορροής έμμεσα προϋποθέτει τις παραδοχές:
α. Η ωφέλιμη βροχόπτωση κατανέμεται ομοιόμορφα στη λεκάνη απορροής και η ένταση είναι σταθερή στο χρονικό διάστημα Δt.
β. Το μοναδιαίο υδρογράφημα αποτελεί ένα γραμμικό μοντέλο. Με άλλα λόγια, διπλασιασμός του όγκου της ωφέλιμης βροχόπτωσης προκαλεί επίσης διπλασιασμό των τιμών του υδρογραφήματος.
γ. Το υδρογράφημα που προκύπτει από ένα συγκεκριμένο τμήμα της ωφέλιμης βροχόπτωσης είναι ανεξάρτητο από τη διάρκεια της βροχόπτωσης όσο και από την προηγούμενη βροχόπτωση.
δ. Ωφέλιμη βροχόπτωση ίδιας διάρκειας θα προκαλέσει υδρογραφήματα με ίδιους χρόνους βάσης ανεξάρτητα από την ένταση της βροχόπτωσης.
H σύνθεση του πλημμυρογραφήματος από το μοναδιαίο υδρογράφημα και το ενεργό υετογράφημα γίνεται βάσει της εξίσωσης:
(2.8.1-1)
όπου:
Qn: η τεταγμένη του πλημμυρογραφήματος στο χρόνο η x Δt
Pm: η καθαρή βροχόπτωση στο χρονικό διάστημα από m x Δt έως (m+1) x Δt,
M: ο συνολικός αριθμός των τμηματικών βροχοπτώσεων
Un-m+1: η τεταγμένη του μοναδιαίου υδρογραφήματος στο χρόνο (n-m+1) x Δt.
Το Συνθετικό Μοναδιαίο Υδρογράφημα
Λόγω της γενικότερης απουσίας μετρήσεων των πλημμυρικών απορροών στην Ελλάδα (γεγονός που απαγορεύει την απευθείας κατασκευή του μοναδιαίου υδρογραφήματος), χρησιμοποιούνται τα συνθετικά μοναδιαία υδρογραφήματα της λεκάνης απορροής. Το συνθετικό μοναδιαίο υδρογράφημα χρησιμοποιείται σε λεκάνες απορροής χωρίς μετρήσεις και συσχετίζει τις παραμέτρους του μοναδιαίου υδρογραφήματος με κάποια γεωμορφολογικά χαρακτηριστικά των λεκανών απορροής. Το πιο γνωστό συνθετικό μοναδιαίο υδρογράφημα είναι εκείνο που αναπτύχθηκε από τη Soil Conservation Service (SCS) των Ηνωμένων Πολιτειών Αμερικής και οι παράμετροί του δίνονται σε αδιάστατη μορφή ως ποσοστά του χρόνου ανόδου και της παροχής αιχμής (Chow et al., 1988). Πλήρης περιγραφή του συνθετικού μοναδιαίου υδρογραφήματος της Soil Conservation Service δίνεται στην παράγραφο 8.2.4.
8.2. Εκτίμηση πλημμύρας σχεδιασμού
8.2.1. Γενική μεθοδολογία
Για την κατάρτιση των πλημμυρογραφημάτων σχεδιασμού ακολουθούνται τα εξής 4 στάδια:
α. Με βάση την τιμή του ύψους της βροχόπτωσης σχεδιασμού καταρτίζεται το υετογράφημα σχεδιασμού,
β. Καταρτίζεται το ωφέλιμο (καθαρό) υετογράφημα σχεδιασμού και υπολογίζονται οι υδρολογικές απώλειες κατά τη μετατροπή της βροχής σε απορροή,
γ. Καταρτίζεται το (συνθετικό) μοναδιαίο υδρογράφημα της λεκάνης απορροής του τεχνικού έργου,
δ. Υπολογίζεται το πλημμυρογράφημα σχεδιασμού και η τιμή της αιχμής της πλημμύρας σχεδιασμού.
8.2.2. Υπολογισμός βροχόπτωσης σχεδιασμού
Γενικά
Σε περιπτώσεις αντιπλημμυρικής προστασίας των τεχνικών έργων είναι απαραίτητη η προϋπόθεση της καταγραφής της επιφανειακής βροχόπτωσης της λεκάνης απορροής σε μικρό χρονικό βήμα της τάξης των 5 min έως της 1 h ανάλογα με την περίπτωση. Σε μια τέτοια περίπτωση είναι ιδιαιτέρως χρήσιμη η κατασκευή των όμβριων καμπυλών ή καμπυλών έντασης - διάρκειας βροχόπτωσης (intensity - duration - frequency curves) για διάφορες τιμές της περιόδου επαναφοράς. Η κατασκευή των όμβριων καμπυλών γίνεται από στατιστική ανάλυση των μεγίστων τιμών βροχόπτωσης για διάφορες διάρκειες με βάση το διατιθέμενο δείγμα μετρήσεων και την προσαρμογή μιας στατιστικής κατανομής ακρότατων (π.χ. κατανομή Gumbel, κατανομή Pareto). Στην Ελλάδα έχουν εξαχθεί οι όμβριες καμπύλες για ένα σημαντικό ποσοστό των βροχομετρικών σταθμών με δεδομένα βροχογράφου και θα είναι διαθέσιμες από την Εθνική Τράπεζα Υδρολογικής και Μετεωρολογικής Πληροφορίας (ΕΤΥΜΠ) όταν αυτή θα λειτουργήσει σε επιχειρησιακή μορφή.
Ύψος βροχόπτωσης
Το συνολικό ύψος της βροχόπτωσης σχεδιασμού προκύπτει από τις όμβριες καμπύλες αφού πρώτα έχουν αποφασιστεί οι τιμές της διάρκειας της βροχόπτωσης και της περιόδου επαναφοράς. Η τιμή της περιόδου επαναφοράς αποφασίζεται με βάση τη σπουδαιότητα του έργου και των ενδεχόμενων καταστροφών από μια πιθανή αστοχία. Γενικά οι τιμές της κυμαίνονται από 5 έτη (κατασκευή τάφρων αυτοκινητόδρομων) έως 10000 2 έτη για τον σχεδιασμό υπερχειλιστών φραγμάτων.
2 Σε μερικές περιπτώσεις λαμβάνεται η Πιθανή Μέγιστη Βροχόπτωση (ΠΜΒ).
Διάρκεια βροχόπτωσης
Η επιλογή της διάρκειας βροχόπτωσης είναι ιδιαίτερα σημαντική. Γενικά η διάρκεια της βροχόπτωσης σχεδιασμού πρέπει να είναι τουλάχιστο ίση με το χρόνο συρροής της λεκάνης ώστε να πιάνουμε την πλημμυρική αιχμή. Συνήθως λαμβάνεται ως πολλαπλάσια τιμή των 3 h ή των 6 h. Χρησιμοποιώντας ιστορικά δεδομένα οι Levy and McCuen (1999) απέδειξαν ότι οι 24ωρες βροχοπτώσεις είναι μια ικανοποιητική διάρκεια για λεκάνες απορροής στο Maryland των Ηνωμένων Πολιτειών Αμερικής επιφάνειας από 5 σε 130 km2. Αυτό οδηγεί στο συμπέρασμα ότι οι 24ωρες βροχοπτώσεις είναι μια λογική επιλογή για λεκάνες απορροής στις οποίες οι διάρκειες βροχόπτωσης είναι υψηλότερες από τους χρόνους συρροής.
Υετογράφημα σχεδιασμού
Έχουν δημοσιευτεί πολλές μελέτες στις οποίες αποδεικνύεται ότι η χρονική κατανομή της βροχόπτωσης είναι σημαντική για το παραγόμενο πλημμυρογράφημα. Πράγματι, δύο βροχοπτώσεις με ίδιο ύψος αλλά με διαφορετική κατανομή στην ίδια διάρκεια δίνουν διαφορετικά πλημμυρογραφήματα. Η χρονική κατανομή της βροχόπτωσης σχεδιασμού γίνεται με βάση δύο μεθόδους: τις καταιγίδες σχεδιασμού και τις όμβριες καμπύλες.
Οι καταιγίδες σχεδιασμού είναι παραμετρικά υετογραφήματα με βάση ιστορικά παρατηρημένες βροχοπτώσεις σε περιοχές με εντελώς διαφορετικό υδρολογικό καθεστώς από εκείνο της Ελλάδας. Τέτοιες καταιγίδες σχεδιασμού είναι οι καμπύλες του Huff, η βροχόπτωση κατά Soil Conservation Service και άλλες (Chow et al., 1988). Αντίθετα τα υετογραφήματα που προκύπτουν από τις όμβριες καμπύλες υπερτερούν σε σχέση με τις τυποποιημένες βροχοπτώσεις σχεδιασμού γιατί χρησιμοποιούνται αποκλειστικά δεδομένα της περιοχής μελέτης και όχι δεδομένα που έχουν προκύψει για άλλες λεκάνες με διαφορετικό υδρολογικό και μετεωρολογικό καθεστώς.
Παρακάτω προτείνεται η εξής μέθοδος κατάρτισης του υετογραφήματος της βροχόπτωσης σχεδιασμού:
Υπολογίζονται τα τμηματικά ύψη βροχόπτωσης Pi που δίνονται από τη σχέση:
(2.8.1-2)
όπου:
h(d): το ύψος βροχόπτωσης για διάρκεια d όπως προκύπτει από την όμβρια καμπύλη,
Δ: το χρονικό βήμα, και
Μ: D/Δ
D: η διάρκεια της βροχόπτωσης σχεδιασμού.
Τα τμηματικά ύψη διατάσσονται στο χρόνο με τη μέθοδο του alternating block (Chow et al., 1988). Η μέθοδος αυτή έχει αποδειχθεί ότι δίνει ελαφρά υψηλότερες τιμές της αιχμής της πλημμυρικής απορροής σε σχέση με τις τυποποιημένες καταιγίδες σχεδιασμού (Zarris et al., 1998), για αυτό και προτείνεται τελικά επειδή λειτουργεί υπέρ της ασφαλείας. Με το κατάλληλο χρονικό βήμα υπολογίζουμε την ένταση της βροχόπτωσης για κάθε μία από τις διάρκειες Δ, 2Δ, 3Δ, ..., ΜΔ, ενώ η αντίστοιχη βροχόπτωση βρίσκεται από το γινόμενο της έντασης και της διάρκειας. Λαμβάνοντας τις διαφορές μεταξύ διαδοχικών υψών βροχόπτωσης υπολογίζεται το ύψος της βροχόπτωσης που προστίθεται για κάθε χρονικό βήμα Δ. Τελικά τοποθετούμε τη μεγαλύτερη τμηματική βροχόπτωση στο μέσον του υετογραφήματος και τις υπόλοιπες τιμές κατά φθίνουσα σειρά εναλλάξ δεξιά και αριστερά της μέγιστης τιμής μέχρι να ολοκληρωθούν όλες οι επιμέρους διάρκειες. Ένα παράδειγμα υετογραφήματος βροχόπτωσης σχεδιασμού με τη μέθοδο του alternating block παρουσιάζεται στο Σχήμα 2.8.2.2-1.

Σχήμα 2.8.2-2: Σχηματική γραφική παράσταση υετογραφήματος με τη μέθοδο alternating block.
Το χρονικό βήμα του υετογραφήματος σχεδιασμού δεν θα πρέπει να είναι γενικά μεγαλύτερο από το 20% του χρόνου συρροής κυρίως για το τμήμα της ισχυρής έντασης της βροχόπτωσης, για το οποίο είναι αναγκαία η λεπτομερής καταγραφή των εντάσεων. Οι προτεινόμενες τιμές του Δ σύμφωνα με τη Roads and Transport Association of Canada, 1982, παρουσιάζονται στον Πίνακα 2.8.2.2-1.
Πίνακας 2.8.2.2-1: Προτεινόμενο χρονικό βήμα σύμφωνα με την ΚΤΑΟ, 1982.
Χρόνος συρροής, t0 (h)
|
<6
|
6 - 12
|
12 - 18
|
18 - 24
|
Χρονικό βήμα, Δ (h)
|
0.5
|
1.0
|
2.0
|
3.0
|
Με δεδομένη τη σημερινή δυνατότητα των Η/Υ να χειρίζονται με ευκολία ένα τεράστιο όγκο πληροφοριών μειώνοντας σημαντικά το δαπανώμενο υπολογιστικό χρόνο, προτείνεται η υιοθέτηση του όσο το δυνατόν μικρότερου χρονικού βήματος. Η απαίτηση για όσο το δυνατόν λεπτομερές χρονικό βήμα είναι αναγκαία στην περίπτωση των αστικών λεκανών όπου η απόκριση της λεκάνης είναι ραγδαία και επομένως απαιτείται πιο λεπτομερές πλημμυρογράφημα. Το ακριβές χρονικό βήμα είναι τελικά συνάρτηση πολλών παραμέτρων χωρίς να υπάρχει συγκεκριμένος κανόνας που να ισχύει σε κάθε περίπτωση.
8.2.3. Υπολογισμός ωφέλιμης βροχόπτωσης
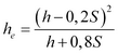
Από τις διαφορετικές μεθόδους εκτίμησης των υδρολογικών ελλειμμάτων και υπολογισμού της ενεργού (καθαρής) βροχόπτωσης εξετάζεται ως η πιο ρεαλιστική και σύγχρονη η μέθοδος της Soil Conservation Service των Ηνωμένων Πολιτειών Αμερικής (SCS, 1972). Για την βροχόπτωση ως σύνολο, το ύψος της ενεργού βροχόπτωσης, he, είναι πάντοτε μικρότερο από το συνολικό ύψος βροχόπτωσης, h, και επομένως αφού ξεκινήσει η απορροή το επιπλέον ύψος βροχόπτωσης που κατακρατείται στη λεκάνη απορροής, FΑ, είναι μικρότερο ή ίσο με τη μέγιστη πιθανή κατακράτηση, S. Για το αρχικό ύψος βροχόπτωσης, hΑ0, δεν υπάρχει απορροή και επομένως η δυνητική απορροή είναι h - hΑ0. Η υπόθεση της μεθόδου Soil Conservation Service είναι ότι οι λόγοι των δύο πραγματικών με των δύο δυνητικών ποσοτήτων είναι ίσοι, δηλαδή:
(2.8.2.3-1)
Με βάση την αρχή διατήρησης της μάζας ισχύει ότι:
(2.8.2.3-2)
Από παρατηρημένα δεδομένα ισχύει ότι:
(2.8.2.3-3)
οπότε η μέθοδος χρησιμοποιεί μόνο μια παράμετρο S. Επομένως η εξίσωση (2.8.2.3-1) γράφεται απλοποιημένα:
(2.8.2.3-4)
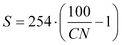
Σε περιπτώσεις που υπάρχουν μετρήσεις απορροής τότε η παράμετρος S μπορεί να υπολογιστεί απευθείας. Εκεί όπου δεν υπάρχουν μετρήσεις ακολουθείται μια εμπειρική μεθοδολογία εκτίμησης της S. Συγκεκριμένα η παράμετρος S (mm) συνδέεται με μια άλλη χαρακτηριστική παράμετρο, τη CN, η οποία είναι γνωστή ως αριθμός καμπύλης απορροής (runoff curve number), με τη σχέση:
(2.8.2.3-5)
Η Soil Conservation Service έχει δώσει σε πινακοποιημένη μορφή αντιπροσωπευτικές τιμές της παραμέτρου CN ανάλογα με:
α. Τον τύπο του εδάφους και τη διαπερατότητά του (τύποι A, B, C και D με μειούμενη διαπερατότητα), (βλέπε Πίνακα 2.8.2.3-1).
β. Τον τύπο των προηγηθεισών συνθηκών υγρασίας (antecedent soil moisture) (τύποι Ι, ΙΙ και ΙΙΙ με αυξανόμενη δυνατότητα παραγωγής απορροής), (βλέπε Πίνακα 2.8.2.3-2).
γ. Τον τύπο της χρήσης γης, (βλέπε Πίνακα 2.8.2.3-3).
Οι τιμές του Πίνακα 2.8.2.3-3 που έχει δημοσιεύσει η Soil Conservation Service αντιστοιχούν σε μέσες συνθήκες υγρασίας (τύπος ΙΙ). Γενικά επιλέγεται τύπος εδάφους C και τύπος προηγούμενων συνθηκών υγρασίας ΙΙΙ (συνδυασμός που δίνει και τη μέγιστη απορροή). Για συνθήκες αυξημένης υγρασίας, η παράμετρος CN(II) μετασχηματίζεται στην παράμετρο CN(IIΙ) σύμφωνα με τη σχέση:
(2.8.2.3-6)
Πίνακας 2.8.2.3-1: Τύποι εδαφών κατά Soil Conservation Service ανάλογα με τη διαπερατότητά τους (από Κουτσογιάννη, 1993)
Τύπος Εδαφών
|
Περιγραφή
|
Τύπος Α
|
Εδάφη με μεγάλους ρυθμούς διήθησης π.χ. αμμώδη και χαλικώδη με πολύ μικρό ποσοστό ιλύος και αργίλου
|
Τύπος Β
|
Εδάφη με μέσους ρυθμούς διήθησης, π.χ. αμμώδης πηλός
|
Τύπος C
|
Εδάφη με μικρούς ρυθμούς διήθησης, π.χ. εδάφη από αργιλοπηλό, εδάφη με σημαντικό ποσοστό αργίλου, εδάφη φτωχά σε οργανικό υλικό.
|
Τύπος D
|
Εδάφη με πολύ μικρούς ρυθμούς διήθησης, π.χ. εδάφη που διογκώνονται σημαντικά όταν διαβραχούν, πλαστικές άργιλοι. Εδάφη μικρού βάθους με σχεδόν αδιαπέρατους υπό-ορίζοντες κοντά στην επιφάνεια.
|
Πίνακας 2.8.2.3-2: Τύποι προηγηθεισών συνθηκών υγρασίας κατά Soil Conservation Service (από Κουτσογιάννη, 1993).
Χρήσεις γης
|
Υδρολογικός τύπος εδάφους
|
Α
|
Β
|
C
|
D
|
Καλλιεργούμενες εκτάσεις
|
62-72
|
71-81
|
78-88
|
81-91
|
Λιβάδια, βοσκότοποι
|
30-68
|
58-79
|
71-86
|
78-89
|
Δάση
|
25-45
|
55-66
|
70-77
|
77-83
|
Ανοιχτοί χώροι, πάρκα, κοιμητήρια κ.τ.λ.
|
|
|
|
|
Με κάλυψη πράσινου πάνω από 75% της έκτασης
|
39
|
61
|
74
|
80
|
Με κάλυψη πράσινου λιγότερο από 75% της έκτασης
|
49
|
69
|
79
|
84
|
Εμπορικές περιοχές
|
89
|
92
|
94
|
95
|
Βιομηχανικές περιοχές
|
81
|
88
|
91
|
93
|
Οικιστικές περιοχές
|
|
|
|
|
Μέσο μέγεθος οικοπέδου (στρέμματα)
|
Αδιαπέρατη επιφάνεια
|
|
|
|
|
<0,5
|
65%
|
77
|
85
|
90
|
92
|
<1,0
|
38%
|
61
|
75
|
83
|
87
|
<1,5
|
30%
|
57
|
72
|
81
|
86
|
<2,0
|
25%
|
54
|
70
|
80
|
85
|
<4,0
|
20%
|
51
|
68
|
79
|
84
|
Οδοί
|
|
|
|
|
με οδόστρωμα και αγωγούς ομβρίων
|
98
|
98
|
98
|
98
|
χαλικόστρωτοι
|
76
|
85
|
89
|
91
|
χωματόδρομοι
|
72
|
82
|
87
|
89
|
8.2.4. Μεθοδολογία κατάρτισης συνθετικού Μοναδιαίου Υδρογραφήματος
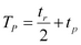
Για την πλήρη μορφή του συνθετικού Μοναδιαίου Υδρογραφήματος, υιοθετείται το μοναδιαίο υδρογράφημα της Soil Conservation Service (SCS) που δίνεται σε αδιάστατη μορφή σε ποσοστά του χρόνου ανόδου και της παροχής αιχμής (Chow et al., 1988). Ο χρόνος ανόδου (TP) ως την αιχμή του Μοναδιαίου Υδρογραφήματος δίνεται από τη σχέση:
(2.8.2.4-1)
όπου:
Tp (h): ο χρόνος ανόδου,
tp (h): ο χρόνος υστέρησης της λεκάνης,
tr (h): η διάρκεια της μοναδιαίας βροχόπτωσης.
Ο χρόνος υστέρησης της λεκάνης (ο χρόνος από το κέντρο βάρους του ωφέλιμου υετογραφήματος έως το χρόνο εμφάνισης της πλημμυρικής αιχμής) συνδέεται με τον αντίστοιχο χρόνο συρροής με την ακόλουθη σχέση:
tP = 0,6 tC (2.8.2.4-2)
Αντίστοιχα ο χρόνος συρροής δίνεται από τη σχέση:
(2.8.2.4-3)
όπου:
L (km): το μήκος του κύριου υδατορέματος στη λεκάνη απορροής,
S (m): η μέση κλίση της λεκάνης απορροής.
H παροχή αιχμής QP του συνθετικού μοναδιαίου υδρογραφήματος κατά Soil Conservation Service δίνεται από τη σχέση:
(2.8.2.4-4)
όπου:
QP (m3/s): η παροχή αιχμής για μοναδιαία βροχόπτωση ύψους 1 cm
Α (km2): η έκταση της λεκάνης απορροής.
Ένα παράδειγμα ενός μοναδιαίου υδρογραφήματος 15 min κατά Soil Conservation Service παρουσιάζεται στο Σχήμα 2.8.2.4-1.

Σχήμα 2.8.2.4-1: Γραφική παράσταση του μοναδιαίου υδρογραφήματος 15 λεπτών κατά Soil Conservation Service.
8.2.5. Κατάρτιση πλημμύρας σχεδιασμού
H σύνθεση του πλημμυρογραφήματος από το μοναδιαίο υδρογράφημα και το καθαρό υετογράφημα γίνεται βάσει της εξίσωσης:
(2.8.2.5-1)
όπου:
Qn: η τεταγμένη του πλημμυρογραφήματος στο χρόνο η x Δt,
Pm: είναι η καθαρή βροχή στο χρονικό διάστημα από m x Δt έως (m+1) x Δt,
M: είναι ο συνολικός αριθμός των τμηματικών βροχοπτώσεων,
Un-m+1: είναι η τεταγμένη του ΜΥ στο χρόνο (n-m+1) x Δt.
Μια σχηματική γραφική παράσταση του ενεργού υετογραφήματος και του αντίστοιχου πλημμυρογραφήματος παρουσιάζεται στο Σχήμα 2.8.2.5-1.

Σχήμα 2.8.2.5-1: Γραφική παράσταση υετογραφήματος της ενεργής βροχόπτωσης και του αντίστοιχου πλημμυρογραφήματος σχεδιασμού.
Αναφορές:
Κουτσογιάννης, Δ., Σχεδιασμός αστικών δικτύων αποχέτευσης, Τμήμα Πολιτικών Μηχανικών, Εθνικό Μετσόβιο Πολυτεχνείο, σελίδες 201, 1993.
Chow, V.T., D.R. Maidment and L.W. Mays, Applied Hydrology, McGraw-Hill, New York, 1988.
Levy, B. and R. McCuen, Assessment of storm duration for hydrologic design, Journal of Hydrologic Engineering, 4(3), ASCE, pp. 209-213, 1999.
Roads and Transport Association of Canada, Drainage manual, RTAC, 1982.
Soil Conservation Service, Hydrology, sec. 4 of National Engineering Handbook, Soil Conservation Service, U.S. Department of Agriculture, Washington, DC, 1972.
Zarris, D., D. Koutsoyiannis and G. Karavokyros, A simple stochastic rainfall disaggregation scheme for urban drainage modeling, Proceedings of the Fourth International Conference on Developments in Urban Drainage Modeling, Imperial College of Science, Technology and Medicine, London, U.K, 1998.