| Συνδεθείτε στην Υπηρεσία Νομοσκόπιο | | | | | Νέοι χρήστες | | Εάν είστε νέος χρήστης, θα πρέπει να δημιουργήσετε ένα ΔΩΡΕΑΝ λογαριασμό προκειμένου να φύγει το παράθυρο αυτό και να αποκτήσετε πλήρη πρόσβαση στην υπηρεσία Νομοσκόπιο. | | Δημιουργία νέου λογαριασμού | | |
Οι διάδρομοι ανάγκης διαφυγής κατασκευάζονται όταν επικρατεί έντονη κατωφέρεια σε μεγάλο μήκος της οδού. Σ' αυτές τις περιπτώσεις υπάρχει η πιθανότητα για τα φορτηγά οχήματα να απολέσουν την ικανότητα πέδησης και να βρεθούν εκτός ελέγχου με υψηλή ταχύτητα. Οι θέσεις κατασκευής των υπόψη διατάξεων συνήθως προσδιορίζονται από τα σχετικά συμβάντα ατυχημάτων.
Οι τύποι των διαδρόμων ανάγκης διαφυγής είναι:
| • | Βαρύτητας, που κατασκευάζονται ως διάδρομοι ανωφέρειας σχεδόν παράλληλα με το οδόστρωμα της οδού. Το μεγάλο μήκος και η μεγάλη ανωφέρεια τους μπορεί να παρουσιάζουν μεγάλα προβλήματα ελέγχου του οχήματος, όχι μόνο για τη στάση αλλά και την οπισθοδρόμηση μετά από τη στάση. Αυτός ο τύπος είναι ο ελάχιστα επιθυμητός. |
| • | Αμμοθίνες, που κατασκευάζονται από σωρούς μη συμπυκνωμένης ξηράς άμμου επί του διαδρόμου διαφυγής, συνήθως μήκους μικρότερου των 120 m. Η επιβράδυνση που επιφέρει στο όχημα η άμμος είναι μεγάλη, όμως η συμπεριφορά της άμμου μπορεί να επηρεάζεται από τις καιρικές συνθήκες. Ως εκ τούτου είναι κατασκευή ολιγότερο επιθυμητή από την ακολούθως αναφερόμενη κλίνη συγκράτησης, όμως όταν υπάρχει περιορισμένος χώρος, αυτός ο τύπος μπορεί να είναι καταλληλότερος. |
| • | Κλίνη συγκράτησης, που κατασκευάζεται με πλήρωση του διαδρόμου με υλικό από χοντρόκοκκους, ελεύθερα αποστραγγιζόμενους, χάλικες. Ο τύπος αυτός σταματά το εκτός ελέγχου όχημα χάρις στην αυξημένη αντίσταση στην κύλιση, κατασκευάζεται δε ως ανωφέρεια για να συνεισφέρει και η δράση της βαρύτητας στη λειτουργία της αντίστασης στην κύλιση. Τέτοιοι διάδρομοι έχουν αποδειχθεί επιτυχείς ακόμη και με οριζόντια κατά μήκος κλίση, αλλά και ως κατωφέρεια. |
Οι θέσεις κατασκευής των διαδρόμων διαφυγής ποικίλουν ανάλογα με τη μορφολογία του εδάφους, το μήκος της κατά μήκος κλίσης, και της γεωμετρίας της οδού. Οι βέλτιστες θέσεις είναι πριν από την κρίσιμη οριζόντια καμπύλη της οδού, κοντά στο χαμηλό σημείο της κατωφέρειας ή πριν από ένα σημείο υποχρεωτικής στάσης. Είναι επιθυμητό ο διάδρομος διαφυγής να αποχωρίζεται της οδού σε θέση ευθυγραμμίας της χάραξης, τουλάχιστον 5 km μετά από την αρχή της κατωφέρειας.
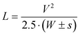
Το μήκος των διαδρόμων διαφυγής εξαρτάται από την ταχύτητα, την κλίση της κατωφέρειας, και τον τύπο του διαδρόμου που θα χρησιμοποιηθεί. Το ελάχιστο μήκος είναι 60 m. Ο υπολογισμός του μήκους γίνεται από την εξίσωση:
(12-1)
Όπου:
L (m) = το μήκος στάσης
V (km/h) = η ταχύτητα εισόδου στο διάδρομο
W (m/s2) = η αντίσταση στην κύλιση
s (%) = η κλίση του διαδρόμου
Η ταχύτητα εξόδου από την οδό συνήθως δεν υπερβαίνει τα 145 km/h, και ως εκ τούτου προτείνεται αυτή η τιμή για τον υπολογισμό του L. Άλλες ταχύτητες μπορεί να χρησιμοποιούνται, όταν αυτές τεκμηριώνονται.
Η αντίσταση στην κύλιση ποικίλει ανάλογα με το υλικό επίστρωσης του διαδρόμου (βλέπε Πίνακα 12-1).
Πίνακας 12-1: Τιμές αντίστασης σε κύλιση
Υλικά
|
Τιμή W (m/s2)
|
Ασφαλτικό οδόστρωμα
|
1
|
Οδόστρωμα σκυροδέματος
|
1,5
|
Οδόστρωμα αμμοχάλικου
|
1,2
|
Μη συμπυκνωμένη στρώση
|
θραυστών χαλίκων
|
5
|
άθραυστων χαλίκων
|
10
|
άμμου
|
15
|
Ασβεστολιθικές ψηφίδες (6-8 mm)
|
25
|
Το πλάτος των διαδρόμων διαφυγής κατασκευάζεται ανάλογα με τις ανάγκες και είναι τουλάχιστο 8 m, ή για την περίπτωση χρήσης από δυο οχήματα, 12 m.
Στο τέλος του διαδρόμου, εφόσον το μήκος αυτού δεν επαρκεί, μπορεί να τοποθετείται και συσκευή απορρόφησης ενέργειας από την πρόσκρουση του οχήματος.
Παράλληλα με το διάδρομο διαφυγής κατασκευάζεται και οδός εξυπηρέτησης που χρησιμοποιείται από τα οχήματα ρυμούλκησης των εκτρεπόμενων οχημάτων αλλά και για τη συντήρηση του διαδρόμου.
Η κατασκευή του διαδρόμου ανάγκης διαφυγής γίνεται είτε με ενιαία κατά μήκος κλίση (ανωφέρεια ή και κατωφέρεια) είτε με τμήματα διαφορετικής κλίσης (Σχήμα 12-1). Μέρος της έναρξης του διαδρόμου που βρίσκεται σε ανωφέρεια μπορεί να έχει ασφαλτικό οδόστρωμα ενώ η συνέχεια να επιστρώνεται με άλλο υλικό μεγαλύτερου συντελεστή αντίστασης στην κύλιση. Ο υπολογισμός του απαιτούμενου μήκους για κάθε τμήμα του διαδρόμου σε διαφορετικά χαρακτηριστικά κλίσης και υλικού επίστρωσης γίνεται χωριστά με την επίλυση ανάλογα ως προς V ή L της εξίσωσης (12-1).

Σχήμα 12-1: Τυπική σχεδίαση διαδρόμου ανάγκης διαφυγής