Οδηγία Μελετών Οδικών Έργων (ΟΜΟΕ) 8 - Άρθρο p2

Παράρτημα Β: Προσδιορισμός απαιτούμενου μήκους ορατότητας για στάση


Συνδεθείτε στην Υπηρεσία Νομοσκόπιο
Είσοδος στην υπηρεσία Νομοσκόπιο.
   
Χρήστης
Κωδικός
  Υπενθύμιση στοιχείων λογαριασμού
   
 
Νέοι χρήστες
Εάν είστε νέος χρήστης, θα πρέπει να δημιουργήσετε ένα ΔΩΡΕΑΝ λογαριασμό προκειμένου να φύγει το παράθυρο αυτό και να αποκτήσετε πλήρη πρόσβαση στην υπηρεσία Νομοσκόπιο.
Δημιουργία νέου λογαριασμού

 

 

Το απαιτούμενο μήκος ορατότητας για στάση ορίζεται ως το μήκος που χρειάζεται ένας οδηγός κινούμενος με την λειτουργική ταχύτητα, για να ακινητοποιήσει το όχημα του πριν από ένα απροσδόκητο εμπόδιο στο οδόστρωμα.

 

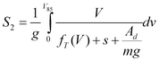
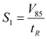
Το μήκος ορατότητας για στάση προκύπτει ως άθροισμα του μήκους που διανύει το όχημα κατά τη διάρκεια του χρόνου αντίληψης - αντίδρασης (perception - reaction time) και του μήκους πέδησης.

 

Ισχύει:

 

omoe.8.f.1(1)

 

omoe.8.f.2 (2)

 

omoe.8.f.3 (3)

όπου:

 

Sh: μήκος ορατότητας για στάση (m)

S1: διανυόμενο μήκος κατά τη διάρκεια αντίληψης - αντίδρασης (m)

S2: μήκος πέδησης (m)

V85: λειτουργική ταχύτητα (m/sec)

tR: χρόνος αντίληψης - αντίδρασης (λαμβάνεται 2 sec) (sec)

g: επιτάχυνση βαρύτητας (m/s2)

fT(V): συντελεστής εφαπτομενικής τριβής (-)

s: κατά μήκος κλίση (+): ανωφέρεια, (-): κατωφέρεια (%/100)

Ad: μετωπική αντίσταση τυπικού επιβατηγού οχήματος (N)

Ad/mg = 0.327 x 10-4 x V2 (-)

 

Στην περίπτωση υγρού οδοστρώματος, ο συντελεστής διαμήκους πρόσφυσης fT είναι συνάρτηση της ταχύτητας, και το μήκος ορατότητας για στάση δίδεται από τους ΟΜΟΕ-Χ.

Σε στεγνό οδόστρωμα η αντίστοιχη τιμή του fT είναι σταθερή και ελήφθη 0.60 (Harwood et al., 1993).

 

Τελικά προκύπτει:

 

omoe.8.f.4 (5)

 



Copyright © 2017 TechnoLogismiki. Με την επιφύλαξη παντός δικαιώματος.