| Συνδεθείτε στην Υπηρεσία Νομοσκόπιο | | | | | Νέοι χρήστες | | Εάν είστε νέος χρήστης, θα πρέπει να δημιουργήσετε ένα ΔΩΡΕΑΝ λογαριασμό προκειμένου να φύγει το παράθυρο αυτό και να αποκτήσετε πλήρη πρόσβαση στην υπηρεσία Νομοσκόπιο. | | Δημιουργία νέου λογαριασμού | | |
Η αμοιβή Α για μελέτες σκοπιμότητας οδικών έργων εφαρμόζεται σε μελέτες που συντάσσονται με βάση τις εγκεκριμένες με την Απόφαση Υπουργού Περιβάλλοντος, Χωροταξίας και Δημοσίων Έργων με αριθμό ΔΜΕΟ/α/ο/1885/1996 Προσωρινές προδιαγραφές μελετών σκοπιμότητας οδικών έργων.
Η προεκτιμώμενη συνολική αμοιβή μελέτης σκοπιμότητας υπολογίζεται ως άθροισμα των αμοιβών των επιμέρους μελετών, οι οποίες είναι:
α. Αμοιβή Μελέτης Κυκλοφοριακών, που διακρίνονται σε:
| • | Έρευνες και Μετρήσεις: (ΑΜΚΕ) |
| • | Αμοιβή Οικονομικής Μελέτης: (ΑΟΜ) |
β. Αμοιβή Οικονομικής Μελέτης:
Οι προεκτιμώμενες αμοιβές της κυκλοφοριακής (ΑΜΚΕ, ΑΜΚΑ) και της οικονομικής μελέτης (ΑΟΜ) υπολογίζονται, αφού θα έχουν καθοριστεί από την αναθέτουσα Υπηρεσία οι εξής παράγοντες:
α). Η σημαντικότητα του έργου ανάλογα με την τοπική ή υπερτοπική εμβέλεια επιρροής αυτού. Σαν τοπικής εμβέλειας χαρακτηρίζεται η περίπτωση όπου δεν απαιτείται χρήση κυκλοφοριακού προτύπου, ενώ σαν υπερτοπικής όταν απαιτείται πρότυπο.
β). Ο αριθμός εναλλακτικών λύσεων, οι οποίες θα εξεταστούν και αξιολογηθούν, περιλαμβανομένης και της μηδενικής λύσης, κατά την οποία δεν προβλέπεται κανένα νέο έργο, αλλά μόνο χρήση και συντήρηση της υποδομής που υπάρχει.
γ). Ο αριθμός των συνεντεύξεων για έρευνα προέλευσης προορισμού (Π-Π) στην περίπτωση που απαιτείται να γίνει τέτοια έρευνα, εφόσον τα υπάρχοντα στοιχεία δεν επαρκούν. Ο τελικός αριθμός των συνεντεύξεων εγκρίνεται από την Υπηρεσία κατά τη διάρκεια της μελέτης, μετά από αντίστοιχη αιτιολογική έκθεση που θα υποβάλλει ο μελετητής στην Υπηρεσία, και αυτός λαμβάνεται υπόψη για την αναπροσαρμογή της αντίστοιχης αμοιβής.
δ). Η υποβολή των στοιχείων της μελέτης θα γίνεται σε ψηφιακά αρχεία, καθώς και σε έντυπη μορφή σε είκοσι (20) σειρές.
Προσδιορισμός αμοιβών:
Οι προεκτιμώμενες αμοιβές των κυκλοφοριακών και οικονομικών μελετών υπολογίζονται σύμφωνα με τα επόμενα:
α. Αμοιβή κυκλοφοριακών ερευνών και μετρήσεων που περιλαμβάνει τη συλλογή, ταξινόμηση, αξιολόγηση και υποβολή του σχετικού τεύχους των υπαρχόντων στοιχείων. Η αμοιβή προκύπτει από τον τύπο:

όπου:
Α1 αμοιβή με βάση την εκτίμηση απασχόλησης για συγκέντρωση υπαρχόντων στοιχείων, την αξιολόγηση αυτών και την υποβολή ολοκληρωμένου τεύχους παρουσίασης αυτών.
Νσ αριθμός συνεντεύξεων έρευνας Π-Π.
Α2 αμοιβή ανά συνέντευξη της έρευνας Π-Π, στην οποία περιλαμβάνεται η παρουσίαση και υποβολή των στοιχείων σε τεύχος και μαγνητικά μέσα (δισκέτες) ή CD ROM, σύμφωνα με την προκήρυξη.
β. Η αμοιβή κυκλοφοριακής ανάλυσης των στοιχείων της προηγούμενης παραγράφου (α) προκύπτει από τον τύπο:

όπου:
Α3 αμοιβή με βάση την εκτίμηση απασχόλησης για προσαρμογή του προτύπου.
Κ1 συντελεστής σημαντικότητας του έργου
Για έργα τοπικής εμβέλειας: Κ1 = 0
Για έργα υπερτοπικής εμβέλειας: Κ1 = 1
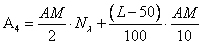
Α4 αμοιβή με βάση την εκτίμηση απασχόλησης για όλες τις εναλλακτικές λύσεις.
γ. Η αμοιβή της οικονομικής μελέτης υπολογίζεται από τον τύπο:

όπου:
Α5 αμοιβή με βάση την εκτίμηση απασχόλησης για κάθε εναλλακτική λύση.
Προσδιορισμός των αμοιβών (Α1, Α2, Α3, Α4, Α5):
Οι αμοιβές Α1, Α2, Α3, Α4, Α5 προκύπτουν από τους ακόλουθους τύπους:





όπου:
L το μήκος του οδικού έργου σε km.
ΑΜ η μηνιαία αμοιβή μηχανικού, στην οποία περιλαμβάνονται ανηγμένα η αμοιβή βοηθητικού προσωπικού, όλες οι εργασίες που απαιτούνται για την άρτια εκπόνηση, παρουσίαση και υποβολή της μελέτης, σε πλήρεις σειρές αντιγράφων, λαμβάνεται ίση με 9.000 €.
Νλ ο αριθμός των εναλλακτικών κυκλοφοριακών λύσεων περιλαμβανόμενης και της μηδενικής λύσης, δηλαδή ως ελάχιστη τιμή λαμβάνεται Νλ = 2.
Η συνολική αμοιβή (ΣΑ) ορίζεται σε ευρώ σύμφωνα με τον τύπο:

και τΚ Ο συντελεστής του άρθρου ΓΕΝ.3 του παρόντος Κανονισμού.