| Συνδεθείτε στην Υπηρεσία Νομοσκόπιο | | | | | Νέοι χρήστες | | Εάν είστε νέος χρήστης, θα πρέπει να δημιουργήσετε ένα ΔΩΡΕΑΝ λογαριασμό προκειμένου να φύγει το παράθυρο αυτό και να αποκτήσετε πλήρη πρόσβαση στην υπηρεσία Νομοσκόπιο. | | Δημιουργία νέου λογαριασμού | | |
Η ενιαία τιμή προεκτιμώμενης αμοιβής (Α) για την εκπόνηση μελέτης αγωγού μεταφοράς ακαθάρτων υπολογίζεται συναρτήσει του μήκους του αγωγού με βάση τον τύπο:

όπου:
L: το μήκος του αγωγού μεταφοράς σε m
D: η διάμετρος του αγωγού σε m και
β: συντελεστής ως εξής:
| o | για αγωγούς διαμέτρου ≤D250 mm β=30 |
| o | για αγωγούς διαμέτρου D400 mm β=40 |
| o | για αγωγούς διαμέτρου D600 mm β=60 |
| o | για αγωγούς διαμέτρου D900 mm β=100 |
| o | για αγωγούς διαμέτρου D1200 mm β=180 |
| o | για αγωγούς διαμέτρου ≥D1600 mm β=330 |
Για ενδιάμεσες διαμέτρους ο συντελεστής β υπολογίζεται με γραμμική παρεμβολή.
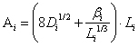
Προκειμένου για αγωγό με επιμέρους τμήματα διαφορετικών διαμέτρων Α = Σ(Αi), όπου:

Εφόσον τμήμα του αγωγού διέρχεται υψομετρικά κάτω από την στάθμη υπόγειου υδροφορέα, τότε η αμοιβή Α προσαυξάνεται κατά (3000+0,20 x L) x τΚ, όπου L το συνολικό μήκος του υπόψη αγωγού σε m, για την κάλυψη των απαραίτητων μελετών αντιστήριξης, ελέγχου υδάτων, κ.λ.π.
Σε περίπτωση πολλαπλών αγωγών ιδίας διαμέτρου η αμοιβή υπολογίζεται ως ανωτέρω για έναν αγωγό και προσαυξάνεται κατά 30% για κάθε επιπλέον αγωγό.