| Συνδεθείτε στην Υπηρεσία Νομοσκόπιο | | | | | Νέοι χρήστες | | Εάν είστε νέος χρήστης, θα πρέπει να δημιουργήσετε ένα ΔΩΡΕΑΝ λογαριασμό προκειμένου να φύγει το παράθυρο αυτό και να αποκτήσετε πλήρη πρόσβαση στην υπηρεσία Νομοσκόπιο. | | Δημιουργία νέου λογαριασμού | | |
1. Τα ελάχιστα όρια εμβαδού και διαστάσεων των ως άνω οικοπέδων ορίζονται ως ακολούθως δι' άπαντες τους τομείς Ι, ΙΙ, ΙΙΙ και ΙV.
Ελάχιστο πρόσωπο: 15 m.
Ελάχιστο βάθος: 25 m.
Ελάχιστο εμβαδόν: 1000 m2.
2. Κατά παρέκκλιση της προηγουμένης παραγράφου εξακολουθούν να θεωρούνται άρτια και οικοδομήσιμα τα οικόπεδα τα οποία δεν έχουν μεν τα κατά την προηγούμενη παράγραφο καθοριζόμενα ελάχιστα όρια εμβαδού και διαστάσεων, πλην όμως ταύτα κατά την ημέραν δημοσιεύσεως του παρόντος έχουν:
Τομέας Ι
Ελάχιστο πρόσωπο: 15 m.
Ελάχιστο βάθος: 20 m.
Ελάχιστο εμβαδόν: 550 m2.
Τομέας ΙΙ
Ελάχιστο πρόσωπο: 14 m.
Ελάχιστο βάθος: 18 m.
Ελάχιστο εμβαδόν: 335 m2.
Τομέας ΙΙΙ
Των ως άνω παρεκκλίσεων εξαιρούνται τα οικόπεδα των οικοδομικών τετραγώνων ή τμημάτων αυτών υπό στοιχεία Ι, ΙΙ, ΙΙΙ.
Τομέας IV
Δια τα οικοδομικά τετράγωνα Α, Β, (Τμήμα ΟΤ 3) Β (Τμήμα ΟΤ 121) Γ (ΟΤ 120) Δ (ΟΤ 119)α).
Ελάχιστο πρόσωπο: 15 m.
Ελάχιστο βάθος: 25 m.
Ελάχιστο εμβαδόν: 550 m2.
3. Οικοδομικό σύστημα ορίζεται το πανταχόθεν ελεύθερον με ελάχιστες αποστάσεις των κτιρίων από τα πλάγια και οπίσθια όρια του 3 m.
4. Το μέγιστον ποσοστόν καλύψεως των οικοπέδων ορίζεται σε 40% της επιφανείας αυτών.
5. Ο συντελεστής δομήσεως ορίζεται σε 0,60 εκατοστά.
6. α) Ο μέγιστος επιτρεπόμενος αριθμός ορόφων ορίζεται σε 3 με μέγιστον επιτρεπόμενο ύψος κτιρίου 11 m.
β) Εις περίπτωσιν κεκλιμένου εδάφους, το κτίριον κλιμακώνεται, ούτως ώστε ουδεμία όψις (ή τμήμα όψεως) ή και τμήμα αυτού να υπερβαίνει το ύψος των 14 m, μετρούμενο από της στάθμης του πέριξ φυσικού η διαμορφωμένου εδάφους, άνευ ουδεμιάς υπερβάσεως του επιτρεπομένου συντελεστού δομήσεως. Εν προκειμένω δεν έχουν εφαρμογήν οι αντίστοιχοι διατάξεις της παραγράφου 1 (εδάφια β', ε', στ' και ζ') και της παραγράφου 4 (εδάφιο α) του άρθρου 37 του νομοθετικού διατάγματος 8/1973 περί Γενικού Οικοδομικού Κανονισμού ως τροποποιήθηκε δια του νομοθετικού διατάγματος 205/1974.
γ) Τα δια των ανωτέρω εδαφίων α' και β' καθοριζόμενα ανώτατα ύψη κτιρίων, προσαυξάνονται κατά 2 m εις περίπτωσιν κατασκευής στέγης.
δ) Τα ως άνω καθοριζόμενα ανώτατα ύψη δεν προσαυξάνονται εις περίπτωσιν δημιουργίας ελευθέρου χώρου σε ισόγειο, μη εχούσης εν προκειμένω εφαρμογής της σχετικής διατάξεως της παραγράφου 33 του άρθρου 1 του νομοθετικού διατάγματος 205/1974.
ε) Εις περίπτωσιν προσθήκης καθ' ύψος, επί υφισταμένων μονώροφων οικοδομών, επιτρέπεται υπέρβασις των δια των εδαφίων α' και β' του παρόντος καθοριζομένων μεγίστων υψών, άνευ όμως υπερβάσεως του ισχύοντος συντελεστού δομήσεως.
στ) Εις περίπτωσιν προσθήκης κατ' επέκτασιν υφισταμένων κτιρίων επιτρέπεται η ενεργηθησομένη προσθήκη να εξικνείται μέχρι του ύψους του υφισταμένου κτιρίου έστω και καθ' υπέρβαση των δια των εδαφίων α' και β' του παρόντος καθοριζομένων μεγίστων υψών, άνευ όμως υπερβάσεως του ισχύοντος συντελεστού δομήσεως και του ποσοστού καλύψεως.
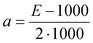
7. α) Επιτρέπεται η ανέγερσις περισσοτέρων της μιας οικοδομής επί του αυτού οικοπέδου κατά τις διατάξεις του Γενικού Οικοδομικού Κανονισμού και εφόσον πληρώνεται η ακόλουθη σχέσις:

όπου:
α = ο αριθμός των επιτρεπομένων οικοδομών πέραν της κυρίας οικοδομής και
Ε = το εμβαδόν του οικοπέδου εις m2.
Εις περίπτωσιν καθ' ην α προκύπτει δεκαδικός αριθμός (μείζων του 1), δια τον υπολογισμό λαμβάνεται υπόψη το ακέραιον ψηφίον.
β) Εκάστη αυτοτελής οικοδομή δεν επιτρέπεται να έχει μήκος προσόψεως μεγαλύτερο των 45 m. Ο περιορισμός αυτός εφαρμόζεται και εις περίπτωσιν κτιρίου του οποίου το πρόσωπον ή τα πρόσωπα είναι γραμμή τεθλασμένη υπό γωνία εξέχουσα άνω των 135°. Εις αυτήν την περίπτωσιν η ως άνω τεθλασμένη γραμμή θεωρείται ευθεία και το συνολικόν μήκος της δεν πρέπει να υπερβαίνει τα 45 m.
γ) Απαγορεύεται η καλυπτόμενη υπό ενιαίας οικοδομής επιφάνεια να είναι μεγαλύτερη των 650 m2.
δ) Επιτρέπεται η κατασκευή εξωστών με διακοσμητικά μη φέροντα στοιχεία διατεταγμένα κατά την όψιν των κτιρίων, όπου από λόγους αισθητικής επιβάλλεται άνευ υπολογισμού της επιφάνεια των εξωστών αυτών εις τον συντελεστή δομήσεως.
8. Εφ' εκάστης οικοδομής κατασκευάζεται υποχρεωτικώς, σταθμός αυτοκινήτων (Γκαράζ) δια την εξυπηρέτησιν των ενοίκων αυτής. Η πρόβλεψις του χώρου δια τον ως άνω σταθμό είναι απαραίτητος προϋπόθεσις δια την χορήγηση αδείας ανοικοδομήσεως.
9. Ελαχίστη επιφάνεια του ως άνω χώρου σταθμεύσεως αυτοκινήτων αναλόγως της χρήσεως της οικοδομής ορίζεται:
α) Προκειμένου δια κατοικία μία θέσις σταθμεύσεως ανά 100 m2 επιφανείας του κτιρίου (άθροισμα επιφανειών ορόφων) και πάντως ουχί ολιγότερο της μιας θέσεως σταθμεύσεως αυτοκινήτων ανά κατοικία ή ανά διαμέρισμα.
β) Προκειμένου δια Γραφεία - Καταστήματα: Κοινοτικά ή Δημόσια εν γένει κοινής ωφελείας κτίρια και λοιπές παρόμοιες χρήσεις μη αναφερόμενες εις το παρόν διάταγμα, 30% της συνολικής επιφανείας του κτιρίου (άθροισμα επιφανειών ορόφων).
γ) Προκειμένου δια Ξενοδοχεία, υπολογίζεται μία θέσις σταθμεύσεως αυτοκινήτου δια 4 δωμάτια.
δ) Προκειμένου δια εστιατόρια - Ζαχαροπλαστεία - Αναψυκτήρια ή έτερα κτίρια παρεμφερών αναψυχής και αιθουσών θεαμάτων, υπολογίζεται μία θέσις σταθμεύσεως δια 10 m2 αιθούσης (που εξυπηρετεί την βασική λειτουργία του κτιρίου εκ των ως άνω αναφερομένων).
ε) Προκειμένου δια Νοσοκομεία - Κλινικές, μία θέσις σταθμεύσεως αυτοκινήτων ανά 5 κλίνες.
στ) Ως μία θέσις σταθμεύσεως λαμβάνεται η μικτή επιφάνεια των 20 m2.
ζ) Ως χώρος σταθμεύσεως αυτοκινήτων δύναται να υπολογισθεί ο δημιουργούμενος ελεύθερος χώρος κάτωθι του τυχόν υπερυψωμένου ισογείου (Pilotis), ή και τμήμα υπέργειου ή υπογείου χώρου της οικοδομής.
10. Εκ των διατάξεων της προηγουμένης παραγράφου 9 του παρόντος άρθρου εξαιρούνται:
α) Οι προσθήκες καθ' ύψος υφισταμένων οικοδομών επιφανείας μικροτέρας των 100 m2.
β) Εις περίπτωσιν προσθήκης κατ' επέκτασιν υφισταμένων κτιρίων, ο χώρος σταθμεύσεως αυτοκινήτων υπολογίζεται βάσει της επιφανείας του κτιρίου προσθήκης και εφόσον η προκύπτουσα επιφάνεια του χώρου σταθμεύσεως είναι μεγαλύτερη ή ίση των 20 m2.
11. Επιβάλλεται η τοποθέτησις επί του δώματος των κτιρίων συλλογικής κεραίας λήψεως τηλεοράσεως και ραδιοφωνίας.