Προεδρικό διάταγμα 1/6/79 - Άρθρο 9

Άρθρο 9: Παραδείγματα οροφών, δαπέδων και τοίχων που έχουν την υπό του άρθρου 7 καθοριζόμενη θερμομόνωση


Συνδεθείτε στην Υπηρεσία Νομοσκόπιο
Είσοδος στην υπηρεσία Νομοσκόπιο.
   
Χρήστης
Κωδικός
  Υπενθύμιση στοιχείων λογαριασμού
   
 
Νέοι χρήστες
Εάν είστε νέος χρήστης, θα πρέπει να δημιουργήσετε ένα ΔΩΡΕΑΝ λογαριασμό προκειμένου να φύγει το παράθυρο αυτό και να αποκτήσετε πλήρη πρόσβαση στην υπηρεσία Νομοσκόπιο.
Δημιουργία νέου λογαριασμού

 

 

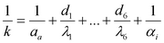
Εις τα παραδείγματα που ακολουθούν τα πάχη της στεγάνωσης και του φράγματος υδρατμών, επειδή είναι ελάχιστα, δεν ελήφθησαν υπ' όψιν εις τους υπολογισμούς.

 

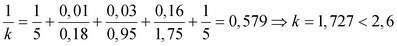
1. Οροφή ωπλισμένου σκυροδέματος - Μόνωσις υπεράνω της εκ σκυροδέματος πλάκας

 

pd.1.6.79.5

 

Στρώσεις του στοιχείου

d (m)

λ (kcal/m h °C)

1. πλάκες εκ μαρμάρου

0,03

3,00

2. ασβεστοτσιμεντοκονίαμα

0,02

0,75

3. κισσηρόδεμα 1000 kg/m3

0,20

0,30

4. μονωτικό υλικό

0,06

0,035

5. πλάκα ωπλισμένου σκυροδέματος

0,16

1,75

6. ασβεστοκονίαμα

0,02

0,75

 

Eqn519

Eqn520

 

k = 0,366 < 0,4

 

 

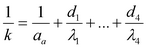
2. Οροφή ωπλισμένου σκυροδέματος - Μόνωσις κάτωθεν της εκ σκυροδέματος πλάκας

 

pd.1.6.79.6

 

Στρώσεις του στοιχείου

d (m)

λ (kcal/m h °C)

1. ασφαλτική επίστρωσις

0,002

0,15

2. πλάκα ωπλισμένου σκυροδέματος

0,15

1,75

3. μονωτικό υλικό

0,075

0,035

4. μοριοσανίδες

0,02

0,15

 

Eqn521

Eqn522

 

k = 0,389 < 0,4

 

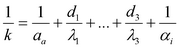
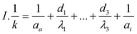
3. Οροφή ωπλισμένου σκυροδέματος - Πλάκα τύπου Zollner

 

pd.1.6.79.7

 

Στρώσεις του στοιχείου

I d (m)

II d (m)

λ (kcal/m h °C)

1. μαλτεζόπλακες

0,03

0,03

0,90

2. ασβεστοτσιμεντοκονίαμα

0,025

0,025

0,75

3. κισσηρόδεμα 1000 kg/m3

0,15

0,15

0,30

4. πλάκα ωπλισμένου σκυροδέματος

0,25

0,08

1,75

5. διογκωμένο συνθετικό υλικό

-

0,17

0,035

6. πλάκες π.χ. εκ φυτικών ινών

0,03

0,03

0,08

7. ασβεστοκονίαμα

0,02

0,02

0,75

 

Eqn523

Eqn524

 

Eqn525

Eqn526

 

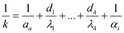
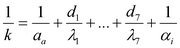
4. Δάπεδο υπεράνω Pilotis με ορατό σκυρόδεμα

 

pd.1.6.79.8

Στρώσεις του στοιχείου

d (m)

λ (kcal/m h °C)

1. ξύλινο δάπεδον δρύινο

0,015

0,18

2. ξύλινο υπόστρωμα ελάτης

0,02

0,12

3. μονωτικό υλικό

0,07

0,035

4. πλάκα ωπλισμένου σκυροδέματος

0,18

1,75

 

Eqn521

 

Eqn527

 

5. Δάπεδον ξύλινο, κολλητό, υπεράνω κλειστού υπογείου χώρου - Ζώνη Α

 

pd.1.6.79.9

 

Στρώσεις του στοιχείου

d (m)

λ (kcal/m h °C)

1. ξύλινο δάπεδον κολλητό

0,01

0,18

2. Γαρμπιλοσκυρόδεμα 1900 kg/m3

0,03

0,95

3. πλάκα ωπλισμένου σκυροδέματος

0,16

1,75

 

Eqn528

 

Eqn529

 

6. Δάπεδον ξύλινο υπεράνω κλειστού υπογείου χώρου - Ζώνη Β

 

pd.1.6.79.10

 

Στρώσεις του στοιχείου

d (m)

λ (kcal/m h °C)

1. ξύλινο δάπεδον δρύινο

0,015

0,18

2. ξύλινο υπόστρωμα ελάτης

0,02

0,12

3. διάκενο αέρος ≥ 5 cm (d/λ=0,24)

διάκενο αέρος

4. πλάκα ωπλισμένου σκυροδέματος

0,16

1,75

 

Eqn521

 

Eqn530

 

7. Δάπεδον ξύλινο υπεράνω κλειστού υπογείου χώρου - Ζώνη Γ

 

pd.1.6.79.11

 

Στρώσεις του στοιχείου

d (m)

λ (kcal/m h °C)

1. ξύλινο δάπεδον δρύινο

0,015

0,18

2. ξύλινο υπόστρωμα ελάτης

0,02

0,12

3. μονωτικό υλικό

0,05

0,035

4. πλάκα ωπλισμένου σκυροδέματος

0,16

1,75

 

Eqn521

Eqn531

 

8. Δάπεδον επί φυσικού εδάφους - Ζώνη Α

 

pd.1.6.79.12

Στρώσεις του στοιχείου

d (m)

λ (kcal/m h °C)

1. πλάκες εκ μαρμάρου

0,025

3,00

2. ασβεστοτσιμεντοκονίαμα

0,025

0,75

3. Γαρμπιλοσκυρόδεμα 1700 kg/m3

0,10

0,70

φυσικό έδαφος

 

 

 

Eqn532

Eqn533

 

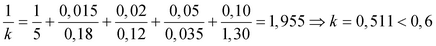
9. Δάπεδον επί φυσικού εδάφους - Ζώνη Β

 

pd.1.6.79.13

Στρώσεις του στοιχείου

d (m)

λ (kcal/m h °C)

1. ξύλινο δάπεδον δρύινο

0,015

0,18

2. ξύλινο υπόστρωμα ελάτης

0,02

0,12

3. διάκενο αέρος ≥ 5 cm (d/λ = 0,24)

διάκενο αέρος

4. σκυρόδεμα Β < 120 (γκρο μπετόν)

0,10

1,30

φυσικό έδαφος

 

 

 

Eqn534

Eqn535

 

10. Δάπεδον επί φυσικού εδάφους - Ζώνη Γ

 

pd.1.6.79.14

Στρώσεις του στοιχείου

d (m)

λ (kcal/m h °C)

1. ξύλινο δάπεδον δρύινο

0,015

0,18

2. ξύλινο υπόστρωμα ελάτης

0,02

0,12

3. μονωτικό υλικό

0,05

0,035

4. σκυρόδεμα Β < 120 (γκρο μπετόν)

0,10

1,30

 

Eqn534

Eqn536

 

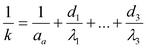
11. Φέρων τοίχος εκ πλήρων οπτόπλινθων (εσωτερική μόνωσις)

 

pd.1.6.79.15

 

Στρώσεις του στοιχείου

d (m)

λ (kcal/m h °C)

1. φέρων τοίχος εκ πλήρων οπτόπλινθων 1800 kg/m3

0,2

0,68

2. μονωτικό υλικό

0,05

0,035

3. πλάκες π.χ. εκ φυτικών ινών

0,025

0,08

4. ασβεστοκονίαμα

0,02

0,75

 

Eqn521

Eqn537

 

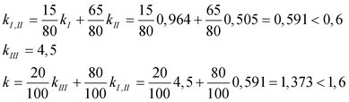
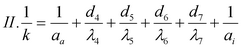
12. Τοίχος πληρώσεως επί σκελετού εξ ωπλισμένου σκυροδέματος με εξωτερικά ορατά στοιχεία (συνδυασμός στοιχείου εκ σκυροδέματος, τοιχοποιίας, παραθύρου)

 

pd.1.6.79.16

 

Στρώσεις του στοιχείου

d (m)

λ (kcal/m h °C)

I. 1. οπλισμένο σκυρόδεμα

0,18

1,75

2. πλάκες π.χ. εκ φυτικών ινών

0,05

0,07

3. ασβεστοκονίαμα

0,02

0,75

II. 4. οπτόπλινθοι πλήρεις 1800 kg/m3

0,09

0,68

5. μονωτικό υλικό

0,05

0,035

6. οπτόπλινθοι διάτρητοι 1200 kg/m3

0,09

0,45

7. ασβεστοκονίαμα

0,02

0,75

 

Eqn538

Eqn539

Eqn542

 

Eqn540

 

Eqn541

 

ΣΗΜΕΙΩΣΗ: Το παρόν άρθρο καταργήθηκε με το άρθρο 18 της υπ' αριθμού οίκοθεν Δ6Β/5825/2010 υπουργικής απόφασης (ΦΕΚ 407/Δ/2010).

 



Copyright © 2020 TechnoLogismiki. Με την επιφύλαξη παντός δικαιώματος.