Προεδρικό διάταγμα 225/89 - Άρθρο 16

Άρθρο 16: Απαιτήσεις σε αερισμό


Συνδεθείτε στην Υπηρεσία Νομοσκόπιο
Είσοδος στην υπηρεσία Νομοσκόπιο.
   
Χρήστης
Κωδικός
  Υπενθύμιση στοιχείων λογαριασμού
   
 
Νέοι χρήστες
Εάν είστε νέος χρήστης, θα πρέπει να δημιουργήσετε ένα ΔΩΡΕΑΝ λογαριασμό προκειμένου να φύγει το παράθυρο αυτό και να αποκτήσετε πλήρη πρόσβαση στην υπηρεσία Νομοσκόπιο.
Δημιουργία νέου λογαριασμού

 

 

1. Η περιεκτικότητα σε οξυγόνο του αέρα σε όλους τους υπόγειους χώρους εργασίας δεν πρέπει να είναι μικρότερη από 19,5% σε όγκο.

 

2. Η έκθεση των εργαζομένων σε χημικούς παράγοντες (π.χ. διοξείδιο άνθρακα, μονοξείδιο άνθρακα, μεθάνιο, διοξείδιο θείου, υδρόθειο) πρέπει να αποφεύγεται ή να ελαχιστοποιείται όσο είναι πρακτικά δυνατόν. Σε κάθε περίπτωση το επίπεδο έκθεσης σε έναν παράγοντα πρέπει να είναι κατώτερο από εκείνο που ορίζει η αντίστοιχη οριακή τιμή έκθεσης.

 

3. Η ατμόσφαιρα υπογείων έργων και στοών σε όλο το μήκος τους και φρεάτων σε όλο το ύψος τους, πρέπει να πληρεί ποιοτικά και ποσοτικά τους όρους που είναι απαραίτητο για την ασφάλεια και υγιεινή των εργαζομένων. Προς τούτο πρέπει να γίνονται οι σχετικές μετρήσεις, τα αποτελέσματα των οποίων πρέπει να καταγράφονται.

 

4. Όταν από τους σχετικούς ελέγχους προκύπτει ότι ο φυσικός αερισμός των χώρων υπογείων έργων και στοών δεν αρκεί, πρέπει να γίνεται εξυγίανση της ατμόσφαιρας με εγκατάσταση

τεχνητού αερισμού. Ο τεχνητός αερισμός αποσκοπεί κυρίως στα ακόλουθα:

 

α) Να δώσει στους εργαζόμενους αέρα καθαρό, σε αντικατάσταση αυτού που έχει χρησιμοποιηθεί από τους ίδιους, τα μηχανήματα και τα οχήματα, ή έχει μειωθεί από τα αέρια και τα νερά που αναβλύζουν.

β) Να αραιώσει και απομακρύνει αέρια, καπνούς και σκόνη, τα οποία παράγονται κατά την εργασία, τις εκρήξεις ή αναδίδονται από το έδαφος.

γ) Να αντικαταστήσει το ζεστό αέρα των υπογείων με αέρα καθαρό χαμηλότερης θερμοκρασίας.

δ) Να εξισορροπήσει την πίεση στο εργασιακό περιβάλλον.

 

5. Στις θέσεις εργασίας πρέπει να εξασφαλίζεται ποσότητα αέρα τουλάχιστον 200 ft3/min/εργαζόμενο (5,66 m3 ανά πρώτο λεπτό και εργαζόμενο ή 94,40 Lt/sec/εργαζόμενο). Οι παραπάνω ποσότητες αέρα πρέπει να αυξάνονται, κατά ποσότητα τουλάχιστον 2 m3 ανά πρώτο λεπτό και ίππο μηχανών εσωτερικής καύσης.

 

6. Η μέση ταχύτητα του ρεύματος αέρα σε κάθε θέση εργασίας και διάδρομο κυκλοφορίας δεν πρέπει να είναι μικρότερη από 0,1 m/sec ούτε να υπερβαίνει τα 6,0 m/sec.

 

7. Σε στοές οι οποίες βρίσκονται υπό διάτρηση και στις οποίες γίνεται χρήση εκρηκτικών, πρέπει να εισάγεται στο μέτωπο εργασίας ποσότητα αέρα τουλάχιστον 200 Lt/sec/m2 της μεγαλύτερης διατομής της στοάς.

 

8. Μετά κάθε ανατίναξη, για τη μείωση του κονιορτού και των αερίων της έκρηξης που αιωρούνται, συνιστάται να γίνεται αναρρόφηση από θέση η οποία πρέπει να είναι κοντά στο μέτωπο όπου έγινε η ανατίναξη. Η αναρρόφηση συνιστάται να επικουρείται με τοπική προσαγωγή αέρα με φορητό σύστημα για τη μη δημιουργία στο μέτωπο εργασίας ζώνης ακινήτου αέρα.

 

9. Για τον υπολογισμό των ποσοτήτων αέρα που απαιτούνται κατά περίπτωση έργου πρέπει να λαμβάνονται υπόψη μεταξύ άλλων και τα ακόλουθα:

 

α) Το τελικό μήκος στοάς ή ο τελικός όγκος υπογείων χώρων τα οποία πρέπει να καλυφθούν.

β) Οι θέσεις στις οποίες ενδέχεται ο αέρας να μείνει στάσιμος (αλλαγές διεύθυνσης στοών κατά την οριζόντια ή κατακόρυφη έννοια, τυφλές εκσκαφές) ή να κινηθεί φυσιολογικά (είσοδοι και άλλα ανοίγματα, πηγές).

 

10. Ο αέρας που εισάγεται πρέπει να είναι σε κάθε περίπτωση απαλλαγμένος από κάθε μόλυνση, σκόνη και καπνούς και για το σκοπό αυτό πρέπει η λήψη του να τοποθετείται μακριά από κάθε πηγή ενδεχόμενης μόλυνσης.

 

11. Για τη δυνατότητα καλύτερης εξυπηρέτησης μπορεί να προβλεφθεί δυνατότητα αναστροφής κατεύθυνσης του αέρα στην εγκατάσταση τεχνητού αερισμού.

 

12. Τα συστήματα παροχής αέρα πρέπει να είναι διάφορα από τα συστήματα παροχής αέρα που χρησιμοποιούνται για την κίνηση. Πρέπει πάντα να λαμβάνεται υπόψη και η κατεύθυνση των επικρατούντων ανέμων της περιοχής ή των άλλων τοπικών ρευμάτων.

 

13. Ο σχεδιασμός και η κατασκευή του κυκλώματος αερισμού πρέπει να εξασφαλίζει το διαγωνισμό του εισερχομένου ρεύματος καθαρού αέρα από το εξερχόμενο ρεύμα.

 

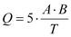
14. Το προσωπικό του έργου δεν επιτρέπεται να επιστρέψει στις θέσεις απασχόλησής του, μετά την ανατίναξη, προτού απομακρυνθούν τα αέρια της έκρηξης. Ενδεικτικά δίνεται η σχέση υπολογισμού της παροχής αέρα μετά από ανατίναξη:

 

Eqn088

 

όπου:

S συντελεστής ανανέωσης του αέρα

Α το βάρος των εκρηκτικών σε KG

Β το ποσό του CO που παράγεται ανά KG εκρηκτικών σε LT

Τ ο χρόνος εξαερισμού σε ΜΙΝ.

 

Η τιμή του Β εξαρτάται από τη μέθοδο ανατίναξης, το χρησιμοποιούμενο υλικό, τον αριθμό των διατρημάτων των εκρηκτικών π.χ. 1 kg δυναμίτη δίνει 600 lit καπνού με περιεκτικότητα 28 - 46% CO δηλαδή Β = 250 lit.

 

Άλλος εμπειρικός τύπος είναι:

 

Eqn089

 

όπου:

S μήκος μολυσμένης σήραγγας από καπνούς εκρηκτικών = 20 m.

Τ ελάχιστο ασφαλές χρονικό διάστημα = 10 min.

n αναποιητική αλλαγή του αέρα στα 10 min = 5 φορές.

F το εμβαδόν της διατομής της σήραγγας σε m2.

 

15. Σε εργοτάξια ή σε τμήματά τους στα οποία δεν γίνονται εργασίες και έχει γίνει διακοπή του τεχνητού αερισμού διαπιστώνεται συχνά μείωση της περιεκτικότητας της ατμόσφαιρας σε οξυγόνο. Η μείωση αυτή μπορεί να οφείλεται στην οξείδωση των υλικών στο εργοτάξιο ή στην απορρόφηση του οξυγόνου από νερά που αναβλύζουν (η περιεκτικότητα νερού σε οξυγόνο σε σχέση με αυτή που μπορεί να απορροφήσει είναι κατώτερη και συνεπώς παίρνει την διαφορά από την γύρω του ατμόσφαιρα μέσα στο υπόγειο έργο). Για την αντιμετώπιση των ενδεχομένων συνεπειών των παραπάνω φαινομένων, η ταχύτητα των οποίων εξαρτάται καθαρά από τις τοπικές συνθήκες, επιβάλλονται τα ακόλουθα:

 

α) Η διατήρηση στοιχειώδους τουλάχιστον αερισμού ακόμα και σε τμήματα υπογείων έργων στα οποία προσωρινά δεν υπάρχει εργασία.

β) Η παρεμπόδιση προσέγγισης με ουσιαστικά εμπόδια (τοίχοι ή κιγκλιδώματα) και επιπλέον επισήμανση με ευκρινείς επιγραφές του κινδύνου σε έργα στα οποία δεν υπάρχει εργασία και δεν γίνεται αερισμός.

γ) Προκειμένου να γίνει επίσκεψη σε απομονωμένα μέτωπα υπογείων έργων π.χ. για έλεγχο κατάστασης, δειγματοληψία νερών και αέρα, το σχετικό προσωπικό πρέπει να εφοδιάζεται με αυτοδύναμη αναπνευστική συσκευή. Το προσωπικό αυτό πρέπει να κινείται κατά ζεύγη, ποτέ ατομικά.

δ) Για να γίνουν οι ίδιοι έλεγχοι - δειγματοληψίες, σε περιπτώσεις που για το σκοπό αυτό επαναλειτουργήσει ειδικά το σύστημα αερισμού η επίσκεψη επιτρέπεται να αρχίσει αφού διοχετευθεί στο υπόγειο έργο αέρας όγκου τουλάχιστον διπλασίου του όγκου των τμημάτων αυτών.

 



Copyright © 2020 TechnoLogismiki. Με την επιφύλαξη παντός δικαιώματος.