Προεδρικό διάταγμα 6/8/80

ΠΔ 06-08-1980: Περί τροποποιήσεως του από 21-11-1979 προεδρικού διατάγματος περί αναθεωρήσεως των όρων και περιορισμών δομήσεως των περιοχών Διονύσου - Νέας Αιολίδας του ρυμοτομικού σχεδίου της Κοινότητος Σταμάτας (Αττικής)


Συνδεθείτε στην Υπηρεσία Νομοσκόπιο
Είσοδος στην υπηρεσία Νομοσκόπιο.
   
Χρήστης
Κωδικός
  Υπενθύμιση στοιχείων λογαριασμού
   
 
Νέοι χρήστες
Εάν είστε νέος χρήστης, θα πρέπει να δημιουργήσετε ένα ΔΩΡΕΑΝ λογαριασμό προκειμένου να φύγει το παράθυρο αυτό και να αποκτήσετε πλήρη πρόσβαση στην υπηρεσία Νομοσκόπιο.
Δημιουργία νέου λογαριασμού

 

 

Προεδρικό Διάταγμα 06-08-1980: Περί τροποποιήσεως του από 21-11-1979 προεδρικού διατάγματος περί αναθεωρήσεως των όρων και περιορισμών δομήσεως των περιοχών Διονύσου - Νέας Αιολίδας του ρυμοτομικού σχεδίου της Κοινότητος Σταμάτας (Αττικής), (ΦΕΚ 451/Δ/1980), 22-08-1980.

 

Ο Πρόεδρος της Ελληνικής Δημοκρατίας

 

Έχοντες υπόψη:

 

1. Τις διατάξεις του από 17-07-1923 νομοθετικού διατάγματος περί σχεδίων πόλεων κ.λ.π., ως μεταγενεστέρως τροποποιήθηκαν και συμπληρώθηκαν και ειδικότερα του άρθρου 9 αυτού.

 

2. Τις διατάξεις του νόμου 947/1979 περί οικιστικών περιοχών (ΦΕΚ 169/Α/1979) και ειδικότερα του άρθρου 62 (παράγραφος 1) αυτού.

 

3. Τις διατάξεις του νόμου 1032/1980 περί συστάσεως Υπουργείου Χωροταξίας, Οικισμού και Περιβάλλοντος (ΦΕΚ 57/Α/1980) και ειδικότερα των άρθρων 2 (παράγραφος 2), 3 (παράγραφος 1 εδάφιο α) και 7 αυτού.

 

4. Τις υπ' αριθμούς 379/1979 και 71/1980 γνωμοδοτήσεις του Συμβουλίου Δημοσίων Έργων (Τμήμα Οικισμού) και

 

5. Την υπ' αριθμόν 407/1980 γνωμοδότηση του Συμβουλίου της Επικρατείας, με πρόταση του Υπουργού Χωροταξίας, Οικισμού και Περιβάλλοντος, αποφασίζουμε:

 

Άρθρο μόνο

 

Το εδάφιο α της παραγράφου 7 του άρθρου 2 του από 21-11-1979 προεδρικού διατάγματος περί αναθεωρήσεως των όρων και περιορισμών δόμησης των οικοπέδων των περιοχών Διονύσου - Νέας Αιολίδας του ρυμοτομικού σχεδίου της Κοινότητας Σταμάτας (Αττικής) (ΦΕΚ 710/Δ/1981) αντικαθίσταται ως ακολούθως:

 

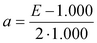
{7. α) Επιτρέπεται η ανέγερσις περισσοτέρων της μιας οικοδομής επί του αυτού οικοπέδου κατά τις διατάξεις του Γενικού Οικοδομικού Κανονισμού άνευ υπερβάσεως των οριζομένων εις τις παραγράφους 4 και 5 του παρόντος άρθρου μεγίστων επιτρεπομένων (ποσοστού καλύψεως και συντελεστού δομήσεως) και εφόσον πληρώνεται η ακόλουθος σχέσις:

 

Eqn572

 

όπου:

 

α ο αριθμός των επιτρεπομένων οικοδομών πέραν της κυρίας τοιαύτης και

Ε το εμβαδόν του οικοπέδου (m2).

 

Η μεγίστη τιμή την οποίαν δύναται να λαμβάνει το α είναι α = 2. Εις περίπτωσιν καθ' ην το α προκύπτει δεκαδικός αριθμός δια τον υπολογισμό λαμβάνεται υπόψη το ακέραιον ψηφίον.  Σε κάθε περίπτωση επιτρέπεται η ανέγερση 2 το πολύ οικοδομών επί οικοπέδων που αγοράστηκαν εξ αδιαιρέτου βάσει συμβολαίων που συντάχθηκαν μέχρι την 14-12-1979, άνευ υπέρβασης των οριζόμενων στις παραγράφους 4 και 5 του παρόντος άρθρου μεγίστων επιτρεπόμενων ποσοστού καλύψεως και συντελεστού δομήσεως.

 

Η απόσταση μεταξύ των τυχόν ανεγερθησομένων οικοδομών επί του αυτού οικοπέδου δεν δύναται να είναι μικρότερη των 5 m.}

 

Εις τον Υπουργό Χωροταξίας, Οικισμού και Περιβάλλοντος, αναθέτουμε την δημοσίευση και εκτέλεσιν του παρόντος Διατάγματος.

 

Εν Αθήναις τη 06-08-1980.

 

Ο Πρόεδρος της Δημοκρατίας

 



Copyright © 2020 TechnoLogismiki. Με την επιφύλαξη παντός δικαιώματος.