Υγειονομική διάταξη 3010/85 - Άρθρο 2

Άρθρο 2: Ορισμοί


Συνδεθείτε στην Υπηρεσία Νομοσκόπιο
Είσοδος στην υπηρεσία Νομοσκόπιο.
   
Χρήστης
Κωδικός
  Υπενθύμιση στοιχείων λογαριασμού
   
 
Νέοι χρήστες
Εάν είστε νέος χρήστης, θα πρέπει να δημιουργήσετε ένα ΔΩΡΕΑΝ λογαριασμό προκειμένου να φύγει το παράθυρο αυτό και να αποκτήσετε πλήρη πρόσβαση στην υπηρεσία Νομοσκόπιο.
Δημιουργία νέου λογαριασμού

 

 

1. Ηχοστάθμη, ή σταθμισμένη στάθμη, ηχητικής πίεσης λέγεται το μέγεθος.

 

Eqn677σε db (A) (1)

 

Όπου ΡΣ είναι η ενεργός τιμή της ηχητικής πίεσης, μετρημένης με ηχόμετρο μέσω του σταθμιστικού κυκλώματος Σ (Σ = Α, Β, C,...) και Ρ0 = 20 μPa η ηχητική πίεση αναφοράς. Έτσι έχουμε την Α - ηχοστάθμηΑ - στάθμη ηχητικής πίεσης) που δίνεται με τον τύπο:

 

Eqn678 σε dB (A) (2)

 

τη Β - ηχοστάθμη, τη C - ηχοστάθμη, κ.λ.π.

 

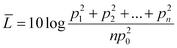
2. Χωρική μέση ηχοστάθμη, L,

 

Eqn679 σε dB (Σ) (3)

 

Όπου p0 = 20 μPa και p1, p2, ..., pn, είναι οι ενεργές τιμές της ηχητικής πίεσης μετρημένης με ηχόμετρο μέσω του σταθμιστικού κυκλώματος Σ (Σ = Α, Β,..) σε n σημεία, τυχαία κατανεμημένα σε όλο το δωμάτιο, εκτός από τις θέσεις όπου υπάρχει σημαντική επίδραση από το κοντινό πεδίο ηχητικών πηγών ή περατωτικών επιφανειών.

 

Δεδομένου ότι το ηχόμετρο δίνει συνήθως την τιμή της ηχοστάθμης Eqn682 στο σημείο μέτρησης, ο τύπος (3) εφαρμόζεται με την πιο εύχρηστη μορφή:

 

Eqn680σε dB (Σ) (4)

 

όπου L1, L2, ..., Ln οι τιμές της ηχοστάθμης στα σημεία 1, 2, ... n, αντίστοιχα. Στην εφαρμογή αυτής της Υγειονομικής Διάταξης, η μικρότερη και η μεγαλύτερη από τις τιμές L1, L2, ..., Ln δεν αναμένεται να διαφέρουν πολύ και ο τύπος (4) προσεγγίζεται με τον πιο απλό τύπο:

 

Eqn681 σε dB (Σ) (5)

 

Δηλαδή η χωρική μέση ηχοστάθμη L προσεγγίζεται με την αριθμητική μέση τιμή των L1, L2, ..., Ln.

 

3. Ηχοαπομόνωση D, μεταξύ δύο δωματίων είναι η διαφορά ανάμεσα στις χωρικές μέσες Α - ηχοστάθμες που δημιουργούνται στα δύο δωμάτια από τη λειτουργία πρότυπης ηχητικής πηγής στο ένα από αυτά, όπως περιγράφονται στο Παράρτημα Ι αυτής της Υγειονομικής Διάταξης.

 

D = L8 - Lr σε dB (Α) (6)

 

Όπου L8 είναι η χωρική μέση ηχοστάθμη στο δωμάτιο εκπομπής και Lr είναι η χωρική μέση Α-ηχοστάθμη στο δωμάτιο λήψης.

 

4. Μέγιστη Α - ηχοστάθμη LAMAX είναι η τιμή της Α - ηχοστάθμης, που επαναλαμβάνεται πολλές φορές κατά τη διάρκεια της μέτρησης.

 

5. Αερόφερτος ήχος είναι ο ήχος που φτάνει στα σημεία που ενδιαφέρουν μέσω του αέρα.

 

6. Κτυπογενής ήχος είναι γενικά ο ήχος που παράγεται από τη σύγκρουση δύο στερεών σωμάτων και φτάνει στα σημεία που ενδιαφέρουν μέσω στερεού και σε συνέχεια του αέρα. Στην περίπτωση κτιρίων είναι ο ήχος που παράγεται από κτυπήματα πάνω στις περατωτικές επιφάνειες του κτιρίου (π.χ. πάτωμα, τοίχοι, κ.λ.π.).

 

7. Ισχύουσα Υγειονομική Διάταξη νοείται η υπ' αριθμόν 8577/1983 απόφαση (ΦΕΚ 526/Β/1983), (ΦΕΚ 646/Β/1983), (ΦΕΚ 672/Β/1983).

 



Copyright © 2020 TechnoLogismiki. Με την επιφύλαξη παντός δικαιώματος.