| Συνδεθείτε στην Υπηρεσία Νομοσκόπιο | | | | | Νέοι χρήστες | | Εάν είστε νέος χρήστης, θα πρέπει να δημιουργήσετε ένα ΔΩΡΕΑΝ λογαριασμό προκειμένου να φύγει το παράθυρο αυτό και να αποκτήσετε πλήρη πρόσβαση στην υπηρεσία Νομοσκόπιο. | | Δημιουργία νέου λογαριασμού | | |
1. Γενικά
(1) Οι σύγχρονες ανάγκες συγκοινωνιακών έργων συχνά απαιτούν κατασκευές γεφυρών σε περιοχές δύσβατες ή πάνω από άκαμπτα εμπόδια (π.χ. σιδηροδρομικοί σταθμοί σε λειτουργία, θαλάσσιοι δίαυλοι κ.λ.π.). Παράλληλα, υπάρχει η απαίτηση για συντόμευση του χρόνου κατασκευής στο μέγιστο δυνατό βαθμό. Οι παραπάνω απαιτήσεις ξεχωριστά ή συνδυασμένες έχουν σαν αποτέλεσμα να καθιστούν τις συμβατικές μεθόδους κατασκευής των γεφυρών (δηλαδή ικριώματα που εδράζονται επί του φυσικού ή διαμορφωμένου εδάφους) ασύμφορες ή /και αδύνατες. Η προσπάθεια για την ικανοποίηση των αναγκών αυτών, λαμβάνοντας υπόψη και το ειδικό γεγονός της κατασκευής στην Ελλάδα μεγάλων οδικών αξόνων και της υποχρέωσης απορρόφησης εντός τακτού χρονικού διαστήματος των κονδυλίων που διατίθενται από τα Κοινοτικά Πλαίσια Στήριξης, καθιστά τη διευρυμένη εφαρμογή των Μηχανοποιημένων Μεθόδων κατασκευής, η οποία συνδέεται με την εισαγωγή στην όλη κατασκευαστική διαδικασία ειδικού εξοπλισμού, επιβεβλημένη. Τονίζεται ότι οι μέθοδοι αυτοί δεν αποτελούν κάτι το καινούργιο για τη χώρα μας, αφού μερικές τουλάχιστον έχουν εφαρμοσθεί, σποραδικά όμως, ήδη από τα μέσα της δεκαετίας του 1960.
(2) Πρέπει να σημειωθεί από την αρχή ότι η διευρυμένη ορθολογική εφαρμογή τέτοιων μεθόδων προϋποθέτει βεβαίως και έργα κατάλληλης κλίμακας, τα οποία όπως προαναφέρθηκε ευρίσκονται στο στάδιο της υλοποίησής τους. Χαρακτηριστική είναι η σύγκριση μεταξύ των εικόνων 5.1.(2)α και 5.1.(2)β στις οποίες απεικονίζονται αντίστοιχα μία υπό κατασκευή γέφυρα σε χώρα της κεντρικής Ευρώπης και η υπό κατασκευή γέφυρα του Γρεβενιώτικου, η οποία ευρίσκεται στον άξονα της Εγνατίας οδού.
(3) Τονίζεται ότι η εφαρμογή των μεθόδων αυτών απαιτεί πολύ περισσότερο από τις κλασσικές μεθόδους κατασκευής τη συνεργασία μελετητή και κατασκευαστή αλλά και τον σωστό προγραμματισμό των έργων προ και μετά - δημοπρασιακό.

Εικόνα 5.1.(2)α
Με δεδομένο ότι οι απαιτήσεις της τελευταίας ιδίως δεκαετίας για τέτοιας κλίμακας τεχνικά έργα έχουν αυξηθεί σε μεγάλο βαθμό και ότι, ως αποτέλεσμα, δημοπρατούνται τέτοιας μορφής έργα με επαναλαμβανόμενα τεύχη δημοπράτησης χωρίς συστηματοποιημένες διατάξεις, στο κεφάλαιο αυτό κωδικοποιείται και αναπτύσσεται η εφαρμογή των Μηχανοποιημένων μεθόδων κατασκευής, με ανάλυση των επιμέρους μεθοδολογιών και με βάση τη βιβλιογραφία και παροχή οδηγιών για τη σύνταξη μελετών των έργων αυτών.

Εικόνα 5.1.(2)β
2. Μορφές μηχανοποιημένων μεθόδων κατασκευής φορέων
(1) Κοινά χαρακτηριστικά όλων (σχεδόν) των σε χρήση μεθόδων είναι τα εξής:
α) Κατασκευή των βάθρων σε προηγούμενη φάση
β) Κατασκευή του καταστρώματος κατά τμήματα των οποίων το μέγεθος σε σχέση με το τελικό μέγεθος εμφανίζει τις εξής ποικιλίες:
| • | Τμήματα πλήρους μήκους (τυπικού ανοίγματος) και μέρους του πλάτους (μέθοδος προκατασκευασμένων δοκών) |
| • | Τμήματα πλήρους πλάτους και μέρους του μήκους (προβολοδόμηση, μέθοδος σταδιακής προώθησης) |
| • | Τμήματα πλήρους πλάτους και πλήρους μήκους (μέθοδος προωθούμενων αυτοφερόμενων δοκών) |
(2) Οι συνηθέστερες σε χρήση μέθοδοι είναι οι εξής:
α) Μέθοδος προωθούμενων - αυτοφερόμενων δοκών
β) Μέθοδος προβολοδόμησης
| • | Διάφορες παραλλαγές της κλασσικής μεθόδου |
γ) Μέθοδος σταδιακής προώθησης
δ) Μέθοδος προκατασκευασμένων δοκών. Σημειώνεται ότι η μέθοδος αυτή είναι η περισσότερο χρησιμοποιούμενη στη χώρα μας σε σχέση με τις άλλες μεθόδους του παρόντος κεφαλαίου.
(3) Με εξαίρεση την προβολοδόμηση η οποία αναπτύσσεται συμμετρικά περί τον άξονα του εκάστοτε μεσόβαθρου, όλες οι άλλες μέθοδοι προχωρούν (γενικώς γιατί υπάρχουν και εξαιρέσεις) από το ένα ακρόβαθρο προς το άλλο χωρίς παλινδρόμηση.
(4) Ο απαιτούμενος εξοπλισμός έχει συνήθως ειδική χρήση, υπάρχουν όμως περιπτώσεις συνδυασμού (π.χ. μέθοδος προωθούμενων-αυτοφερόμενων δοκών με προβολοδόμηση)
3. Κριτήρια επιλογής μηχανοποιημένων μεθόδων κατασκευής φορέων
(1) Όπως είναι ευνόητο, η επιλογή της συμφερότερης κατά περίπτωση μεθόδου εξαρτάται από αρκετούς παράγοντες όπως:
| • | Μήκος επιμέρους ανοίγματος και συνολικό μήκος γεφύρωσης |
| • | Γεωμετρία της χάραξης κατά μήκος και οριζοντιογραφικά |
Για την κάθε μέθοδο η πράξη έχει καθορίσει μια βέλτιστη περιοχή ανοιγμάτων εφαρμογής. Επειδή οι περιοχές αυτές των ανοιγμάτων παρουσιάζουν αλληλοκάλυψη, η επιλογή της μεθόδου βασίζεται τελικώς και σε άλλα κριτήρια, τα οποία όμως είναι δυνατόν να διαφέρουν από κατασκευαστή σε κατασκευαστή όπως:
| • | Κόστος ή διαθεσιμότητα εξοπλισμού |
(2) Στον πίνακα 5.3.(2) δίνονται συνοπτικά, για κάθε μία από τις προαναφερθείσες μεθόδους, τα όρια εφαρμογής τους σε συσχετισμό με το μήκος ανοίγματος, το συνολικό μήκος της γέφυρας, καθώς και ο ρυθμός προόδου σε τρέχοντα μέτρα ανά εβδομάδα.
Στα σχήματα 5.3.(2)α, 5.3.(2)β, 5.3.(2)γ παριστάνεται η κλασσική μέθοδος προβολοδόμησης και οι παραλλαγές της με τη χρήση βοηθητικών καλωδίων και βοηθητικών φορέων αντίστοιχα.
Στα σχήματα 5.3.(2)δ και 5.3.(2)ε παριστάνονται αντίστοιχα η μέθοδος προωθούμενων - αυτοφερόμενων δοκών και η μέθοδος σταδιακής προώθησης.
Πίνακας 5.3.(2)

Σχήμα 5.3.(2)α

Σχήμα 5.3.(2)β

Σχήμα 5.3.(2)γ

Σχήμα 5.3.(2)δ

Σχήμα 5.3.(2)ε

4. Μέθοδος προωθούμενων - αυτοφερόμενων δοκών
4.1. Γενική περιγραφή
(1) Κατά τη μέθοδο αυτή η κατασκευή προχωρεί σε τμήματα μήκους ίσου προς το (τυπικό) άνοιγμα και σε πλήρες πλάτος (άνοιγμα - άνοιγμα). Η μέθοδος άνοιγμα - άνοιγμα αρχικά, αλλά και σήμερα, εφαρμόσθηκε σε γέφυρες συνεχείς περισσοτέρων ανοιγμάτων επί συμβατικών ή μηχανοποιημένων ικριωμάτων στηριζόμενων απευθείας στο έδαφος.
Κύριο χαρακτηριστικό της μεθόδου είναι ο αυτοπροωθούμενος σχηματισμός επί του οποίου στηρίζεται το καλούπι του φορέα της ανωδομής και μεταφέρεται από τη μια θέση στην άλλη. Στο παρακάτω σχήμα 5.4.1.(1) δίνεται μία συνοπτική εικόνα της όλης διαδικασίας.
(2) Στη χώρα μας η μέθοδος έχει εφαρμοσθεί σε γέφυρες της παράκαμψης Πατρών και στη γέφυρα της Κρυσταλλοπηγής στον άξονα της Εγνατίας οδού.





Σχήμα 5.4.1.(1)
4.2. Κύρια Μέλη του συστήματος
(1) Το σύστημα αποτελείται από (Βλέπε σχήματα 5.4.2.(1)α και β):
α) Ζεύγος δικτυωτών ή ολόσωμων κυρίων δοκών, οι οποίες γεφυρώνουν τις αποστάσεις μεταξύ των διαδοχικών βάθρων. Συνήθως έχουν μήκος λίγο μεγαλύτερο από το 2Ι0 (Ι0 = τυπικό άνοιγμα).
β) Ζεύγος δικτυωτών δοκών έδρασης (κονσόλες), οι οποίες τοποθετούνται εγκαρσίως και συνδέονται προσωρινώς αλλά σταθερά με τα ήδη κατασκευασμένα μεσόβαθρα του προς σκυροδέτηση ανοίγματος.
γ) Κατάλληλο αριθμό διαιρετών διαδοκίδων επί των οποίων στηρίζεται το καλούπι.
δ) Διατάξεις αναρτήσεων.
ε) Συμπληρωματικές διατάξεις και συστήματα, όπως μηχανισμοί προώθησης (βίντσια), γρύλοι έδρασης, ράβδοι και φορεία μεταφοράς κ.λ.π.

Σχήμα 5.4.2.(1)α
(2) Σημειώνεται ότι ο σχεδιασμός του συστήματος γίνεται επί παραγγελία για κάθε γέφυρα, είναι σημαντικά δαπανηρός και συχνά οι προσπάθειες μετατροπών για την επαναχρησιμοποίηση σε άλλη γέφυρα είναι το ίδιο ακριβές με την εξαρχής κατασκευή.
Πάντως, και παρά την ανωτέρω διαπίστωση, ο εξοπλισμός του συστήματος αυτού μπορεί να χρησιμοποιηθεί με επιτυχία για την ανάρτηση του φορείου προβολοδόμησης με επί τόπου σκυροδέτηση.

Σχήμα 5.4.2.(1)β
4.3. Θέση κυρίων δοκών συστήματος
(1) Διακρίνονται δύο περιπτώσεις ανάλογα με τη θέση των κυρίων δοκών σε σχέση με τον υπό κατασκευή φορέα:
α) Φορέας από πάνω: Στην περίπτωση αυτή το καλούπι αναρτάται μέσω καταλλήλων ράβδων από τον φορέα.
β) Φορέας από κάτω: Στην περίπτωση αυτή το καλούπι φέρεται απευθείας από τον φορέα.
Προσφάτως επιχειρείται με επιτυχία συνδυασμός των παραπάνω διατάξεων.
(2) Τα πλεονεκτήματα της περίπτωσης κατά την οποία ο υπό κατασκευή φορέας είναι πάνω από τις κύριες δοκούς του συστήματος είναι:
| • | Δεν υπάρχει περιορισμός στο ύψος του φορέα |
| • | Ο εφοδιασμός με υλικά μπορεί να γίνει μέσω του ήδη κατασκευασθέντος φορέα |
| • | Δυνατότητα μικρότερων ακτίνων καμπυλότητας οριζοντιογραφικά |
| • | Δυνατότητα στέγασης για προστασία από δυσμενείς καιρικές συνθήκες του προσωπικού. |
Τα μειονεκτήματα είναι:
| • | Ράβδοι ανάρτησης διαμέσου του ήδη κατασκευασθέντος φορέα |
| • | Ο φορέας του καλουπιού δεν αξιοποιείται στατικώς κατά τη διαμήκη έννοια (περισσότερος χάλυβας) |
| • | Μεγαλύτερη προσβαλλόμενη επιφάνεια (άνεμος) |
| • | Μεγαλύτερα φορτία στο νεαρό σκυρόδεμα κατά την προώθηση |
| • | Απαίτηση σημαντικού πρόσθετου εύρους καταλήψεως |
(3) Τα πλεονεκτήματα της περίπτωσης κατά την οποία ο υπό κατασκευή φορέας είναι κάτω από τους κυρίους δοκούς του συστήματος είναι:
| • | Ελεύθερη άνω επιφάνεια του φορέα |
| • | Δυνατότητα στατικής εκμετάλλευσης του φορέα του καλουπιού (οικονομία υλικού) |
| • | Δεν υπάρχουν ράβδοι ανάρτησης (παρά μόνον στις άκρες) |
| • | Λιγότερη έκθεση σε ανεμοπιέσεις |
| • | Μικρότερα φορτία στο νεαρό σκυρόδεμα |
| • | Μηδενικό πρόσθετο εύρος καταλήψεως |
Τα μειονεκτήματα είναι:
| • | Δέσμευση στο ελεύθερο ύψος |
| • | Σε περίπτωση μικρών ακτίνων καμπυλότητας απαιτούνται ειδικές ρυθμίσεις οι οποίες καθυστερούν την προώθηση |
4.4. Βάρος εξοπλισμού
Στον πίνακα 5.4.4 δίνεται το βάρος σε t του απαιτουμένου εξοπλισμού σε συνάρτηση με το μήκος του υπό κατασκευήν ανοίγματος.
Πίνακας 5.4.4
Μήκος ανοίγματος (m)
|
35
|
40
|
45
|
50
|
106
|
Βάρος (t)
|
300
|
400
|
500
|
600
|
2100
|
Με βάση τον πίνακα αυτό είναι δυνατόν να γίνουν γρήγορες εκτιμήσεις για το κόστος του εξοπλισμού. Σημειώνεται ότι τα δεδομένα του πίνακα ισχύουν για πλάτος γέφυρας 15,0 m.
4.5. Περιοχή Εφαρμογής της μεθόδου
(1) Η μέθοδος μπορεί να εφαρμοσθεί ορθολογικά σε συνεχείς γέφυρες μεγάλου συνολικού μήκους (ΣL > 400 m) ή και σε γέφυρες μικρότερου μήκους αλλά εντός της ίδιας εργολαβίας (και για επιμέρους ανοίγματα μεταξύ 30 και 60 m).
(2) Οι περιορισμοί της μεθόδου οι οποίοι πρέπει να λαμβάνονται υπόψη είναι:
| • | Ακτίνα καμπυλότητας R > 300 m |
| • | Διατομή σταθερού ύψους και κατά το δυνατόν σταθερού εξωτερικού περιγράμματος |
Σημειώνεται ότι η κατά μήκος κλίση της ερυθράς και η επίκλιση δεν προκαλούν δεσμεύσεις στην εφαρμογή της μεθόδου.
4.6. Θέματα Μελέτης
(1) Η μελέτη γεφυρών που κατασκευάζονται με τη μέθοδο των προωθούμενων - αυτοφερόμενων ικριωμάτων δεν παρουσιάζει ιδιαίτερα προβλήματα, πέραν των συνήθων τα οποία απαντώνται στις τμηματικές δομήσεις, δηλαδή:
| • | Ερπυστική ανακατανομή της έντασης λόγω αλλαγής του στατικού συστήματος |
| • | Λεπτομερή σχεδιασμό του αρμού διακοπής εργασίας |
(2) Η μέθοδος προσφέρεται τόσο για έδραση του φορέα επί εφεδράνων, όσο και για μονολιθική σύνδεση του με τα βάθρα.
4.7. Πλεονεκτήματα - Μειονεκτήματα
(1) Τα πλεονεκτήματα της μεθόδου είναι:
| • | Δεν υπάρχουν σπόνδυλοι προσαρμογής |
| • | Μικρός αριθμός αρμών διακοπής εργασίας |
| • | Ένταση στον υπό κατασκευή φορέα ανάλογη με την τελική χωρίς αλλαγές πρόσημου (οικονομία υλικών) |
| • | Άνετη πρόσβαση προσωπικού / μηχανημάτων / υλικών από το ήδη κατασκευασμένο τμήμα |
| • | Αρκετά ταχύς ρυθμός προόδου |
(2) Τα μειονεκτήματα της μεθόδου είναι:
| • | Απαιτεί χώρο στην είσοδο έξοδο για τη συναρμολόγηση / αποσυναρμολόγηση του εξοπλισμού |
| • | Δύσκολη η εφαρμογή της στα ακραία ανοίγματα |
4.8. Ρυθμός Προόδου - Πρόγραμμα εργασιών
Ο συνήθης ρυθμός προόδου για άνοιγμα μήκους της τάξεως 30 m είναι 5 έως 8 ημέρες. Για ανοίγματα πιο μεγάλα 2 εβδομάδες / άνοιγμα. Στον πίνακα 5.4.8 δίνεται το πρόγραμμα εργασιών κατασκευής γεφυρών με τη μέθοδο αυτή στην περιφερειακή οδό της Πάτρας.
Πίνακας 5.4.8
5. Μέθοδος προβολοδόμησης
5.1. Γενική Περιγραφή
(1) Η αρχή της μεθόδου βασίζεται στην τεχνική που αναπτύχθηκε από την εταιρεία Dyckerhoff & Widmann και η οποία είναι γνωστή σαν μέθοδος προβολοδόμησης (κλασσική μέθοδος).
Με τη μέθοδο αυτή γίνεται δυνατή η σταδιακή κατασκευή φορέων γεφυρών σε σπονδύλους μήκους της τάξεως 3,0 - 5,0 m σε πρόβολο από την προηγούμενη φάση (βλέπε σχήμα 5.5.1.(1)).
(2) Στη χώρα μας η μέθοδος έχει εφαρμοσθεί από τη δεκαετία του 1960 και εντεύθεν, σε γέφυρες συνδεόμενες με έργα της Δημόσιας Επιχείρισης Ηλεκτρισμού, Μέγδοβας, Τατάρνα, Υψηλή γέφυρα Σερβίων (βλέπε Εικόνα 5.5.1.(2)α, 1974), Πλατανόβρυση περιοχή ποταμού Νέστου (βλέπε Εικόνα 5.5.1.(2)β,1993) κ.λ.π.
Στην εντελώς σύγχρονη πραγματικότητα η μέθοδος εφαρμόζεται σε γέφυρες κατά μήκος μεγάλων οδικών αξόνων, όπως η Εγνατία οδός (βλέπε Εικόνα 5.1.(1)β), αλλά και σε μικρότερης κλίμακας έργα, όπως ο Βόρειος άξονας Κρήτης.

Σχήμα 5.5.1.(1)
(3) Συνήθως η κατασκευή γίνεται περίπου συμμετρικά ως προς το μεσόβαθρο και εφαρμόζεται με:
| • | επιτόπια σκυροδέτηση σπονδύλων |

Εικόνα 5.5.1.(2)α


Εικόνα 5.5.1.(2)β
5.2. Επιτόπια σκυροδέτηση
(1) Η επιτόπια σκυροδέτηση συνδέεται συνήθως με φορείς μεταβλητού ύψους, δηλαδή με έντονη μείωση ύψους φορέα από τη στήριξη προς το άνοιγμα.
Η λυγηρότητα του φορέα στην περιοχή των μεσόβαθρων διαμορφώνεται σε l / h ~ 17 και στην περιοχή του μέσου των ανοιγμάτων σε l /h ~ 50. Κατά κανόνα, η κατασκευή γίνεται χωρίς ενδιάμεση προσωρινή στήριξη (βλέπε σχήμα 5.5.2.(1)α). Σπανιότερα με ενδιάμεση προσωρινή στήριξη (βλέπε σχήμα 5.5.2.(1)β).

Σχήμα 5.5.2.(1)α

Σχήμα 5.5.2.(1)β
(2) Καταρχήν ο φορέας κατασκευάζεται σε επιμέρους προβόλους οι οποίοι στη συνέχεια ενοποιούνται σε ένα πλαισιακό σύστημα. Στην πρώτη δεκαετία εφαρμογής της μεθόδου η ενοποίηση γίνονταν με αρθρώσεις με παράλληλη διάταξη ειδικών εφεδράνων, τα οποία απαιτούσαν αρκετό χώρο (βλέπε σχήμα 5.5.2.(2)α) ή μέσω επικαθήμενων τμημάτων μικρού μήκους.
Σχήμα 5.5.2.(2)α
Κατά τα τελευταία χρόνια η ενοποίηση γίνεται κυρίως με πλήρη αποκατάσταση της συνέχειας του φορέα (ανάληψη και ροπών). Συστήματα με αρθρώσεις γενικά είναι οικονομικότερα από διατάξεις που μπορούν να παραλάβουν ροπές, διότι αποκλείουν την ανακατανομή της έντασης από την περιοχή της στήριξης στην περιοχή του ανοίγματος.
Από την άλλη πλευρά, όσον αφορά τη λειτουργικότητα της γέφυρας, τα συστήματα αρθρώσεων παρουσιάζουν μειονεκτήματα ήτοι:
| • | Σχηματισμός γόνατος στη θέση σύνδεσης |
| • | Κόστος αρχικής κατασκευής αρμού στην περίπτωση που η άρθρωση συνδέεται με την κατασκευή αρμού |
Εάν παρόλα αυτά για οποιονδήποτε λόγο επιλεγεί η λύση της άρθρωσης, τότε θα πρέπει να εφαρμόζονται προεντεταμένες αρθρώσεις χωρίς δυνατότητα μετακίνησης (βλέπε σχήμα 5.5.2.(2)β).
Επειδή στην περιοχή της άρθρωσης η διάρκεια ζωής της μόνωσης του καταστρώματος περιορίζεται και από το πρόσθετο γεγονός της στροφής της άρθρωσης από κινητά φορτία, θερμοκρασία κ.λ.π., συνιστάται η τοποθέτηση ενισχυτικού ελάσματος. Κάτω από την περιοχή της άρθρωσης προβλέπεται χώρος επιθεώρησης.

Σχήμα 5.5.2.(2)β
5.3. Περιοχή εφαρμογής της μεθόδου
Η κλασσική μέθοδος προβολοδόμησης συνιστάται από οικονομική άποψη για ανοίγματα από 70 m έως 200 m και για συνολικό μήκος γέφυρας μεγαλύτερο από 200 m.
Το μήκος του σκυροδετούμενου σπονδύλου κυμαίνεται από 3,0 m έως 5,0 m συνήθως.
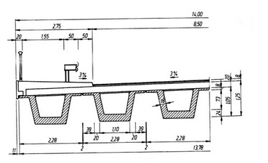
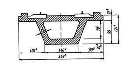
5.4. Διαμόρφωση διατομής
(1) Η διατομή, λόγω των μεγάλων αρνητικών ροπών, διαμορφώνεται συνήθως ως κιβώτιο και πολλές διαστάσεις διατηρούνται σταθερές για την απλοποίηση των εργασιών του ξυλότυπου.
(2) Οι δοκοί του κιβωτίου προβλέπονται γενικά κατακόρυφοι (βλέπε σχήμα 5.5.4.(2)). Κεκλιμένοι δοκοί δυσχεραίνουν τη σκυροδέτηση. Εφόσον δεν συντρέχουν κατασκευαστικοί λόγοι, π.χ. αγκυρώσεις τενόντων, διάκενα δόνησης κ.λ.π., το πάχος των δοκών καθορίζεται από την απαιτούμενη αντοχή σε διάτμηση. Το ελάχιστο πάχος δοκών χωρίς τένοντες προέντασης συνιστάται να μην είναι μικρότερο των 35 cm.

Σχήμα 5.5.4.(2)
(3) Ιδιαίτερη προσοχή απαιτείται στον καθορισμό του πάχους της πλάκας καταστρώματος (πάνω πλάκα κιβωτίου). Οι πολυάριθμοι τένοντες, οι οποίοι διατάσσονται κατά κύριο λόγο στην πλάκα καταστρώματος, εξασθενίζουν την αντοχή σε διάτμηση κατά την κατακόρυφη και οριζόντια διεύθυνση. Εφόσον οι διαμήκεις τένοντες αγκυρώνονται στην περιοχή σύνδεσης της πλάκας κυκλοφορίας με τις δοκούς εκτός των συνδετήρων, θα πρέπει η περιοχή αυτή να έχει επαρκές πάχος (βλέπε σχήμα 5.5.4.(3)).

Σχήμα 5.5.4.(3)
(4) Η κάτω πλάκα του κιβωτίου κατασκευάζεται με μεταβλητό πάχος, πράγμα που από κατασκευαστικής πλευράς δεν παρουσιάζει σοβαρά προβλήματα.
(5) Η μεταβολή του ύψους του φορέα, συνήθως παραβολική ή ημιτονική, μεταξύ των ορίων που αναφέρονται στο εδάφιο (1) της παραγράφου 5.2, παίζει σημαντικό ρόλο στη διατμητική καταπόνηση και συνεπώς στο πάχος των δοκών καθώς και στο ποσοστό του διαμήκους οπλισμού και του οπλισμού διάτμησης.
Φορείς με γρήγορα απομειούμενο ύψος παρουσιάζουν στο άνοιγμα τη μεγίστη διατμητική καταπόνηση η οποία καθορίζει το πάχος των δοκών και το οποίο συνήθως διατηρείται σταθερό καθ' όλο το μήκος του φορέα. Σημειώνεται ότι η ανάλωση του διαμήκους οπλισμού είναι σχετικά μεγάλη. Από την άλλη πλευρά, η ανάλωση του οπλισμού διάτμησης είναι σχετικά μικρή επειδή στην περιοχή των μεγάλων υψών του φορέα επικρατεί μικρότερη διατμητική καταπόνηση.
Φορείς με λιγότερο γρήγορα απομειούμενο ύψος παρουσιάζουν μια εξισορροπημένη διατμητική καταπόνηση με συνέπεια στην περίπτωση αυτή το στατικά απαιτούμενο πάχος των δοκών να είναι ελάχιστο. Η ανάλωση του διαμήκους οπλισμού είναι σχετικά μικρή. Από την άλλη πλευρά, η ανάλωση του οπλισμού διάτμησης είναι μεγαλύτερη επειδή στην περιοχή των μεγάλων υψών του φορέα επικρατεί η μεγίστη διατμητική καταπόνηση.
Στα παρακάτω σχήματα 5.5.4.(5) δίνεται παραστατικά η επίδραση της μορφής του φορέα (μεταβολή του ύψους) στο πάχος των δοκών, στον διαμήκη οπλισμό και στον οπλισμό διάτμησης.





Σχήματα 5.5.4.(5)
5.5. Διάταξη προέντασης
(1) Η διαμήκης προένταση αποτελείται βασικά από τρεις ομάδες τενόντων:
| • | Τένοντες προβόλου (άνω πλάκα) |
| • | Τένοντες ανοίγματος (κάτω πλάκα) |
| • | Τένοντες συνέχειας (κορμοί) |

Σχήμα 5.5.5.(1)
(2) Οι τένοντες προβόλου αποτελούν τον κύριο οπλισμό του συστήματος ο οποίος τοποθετείται στην πλάκα κυκλοφορίας (άνω πλάκα).
Σημειώνεται ότι η αγκύρωση των τενόντων της ομάδας αυτής γίνεται στην περιοχή συναρμογής των κορμών και της άνω πλάκας του κιβωτίου (βλέπε σχήματα 5.5.5.(2)α και β).
Για λόγους κατασκευαστικούς η ελεύθερη απόσταση μεταξύ των τενόντων δεν πρέπει να είναι μικρότερη από 8,0 cm. Θα πρέπει επίσης να εξετάζεται εάν η διάτμηση μπορεί να παραληφθεί στο μεταξύ των τενόντων διάστημα. Για την αποφυγή ρηγμάτωσης στο επίπεδο των τενόντων, πρέπει η πλάκα να οπλίζεται επαρκώς με οπλισμό διάτμησης (βλέπε σχήμα 5.5.5.(2)γ).
Επίσης, θα πρέπει να δίνεται προσοχή στις οριζόντιες διατμητικές τάσεις, ιδιαίτερα κατά τη φάση κατασκευής.

Σχήμα 5.5.5.(2)α

Σχήμα 5.5.5.(2)β

Σχήμα 5.5.5.(2)γ
(3) Οι τένοντες ανοίγματος εξυπηρετούν, όπως είναι γνωστό, την ανάληψη θετικών ροπών στο μεσαίο τρίτο του ανοίγματος. Οι απαιτούμενοι τένοντες τοποθετούνται στην κάτω πλάκα του κιβωτίου, παραπλεύρως των δοκών (βλέπε σχήμα 5.5.5.(3)).
Ιδιαίτερη προσοχή θα πρέπει να δίνεται στις ακτινικές δυνάμεις των τενόντων ανοίγματος συνεπεία της καμπύλης διαμόρφωσης της κάτω πλάκας.

Σχήμα 5.5.5.(3)
5.6. Βαθμός προέντασης
(1) Για τη μείωση των παραμορφώσεων του φορέα και τον περιορισμό των προβλημάτων που συνδέονται με αυτές, είναι σκόπιμη κατά το δυνατόν η αυξημένη προένταση. Επιπροσθέτως, η σημαντική διαμήκης προένταση της πλάκας κυκλοφορίας (άνω πλάκα) έχει σαν αποτέλεσμα ο τοποθετούμενος χαλαρός οπλισμός να είναι ο ελάχιστος απαιτούμενος, γεγονός το οποίο διευκολύνει την παράθεσή του κατά τις φάσεις των διαδοχικών σκυροδετήσεων των σπονδύλων. Είναι σκόπιμο επομένως να προσδιορίζεται καταρχήν ο απαιτούμενος ελάχιστος οπλισμός από τον έλεγχο της ρηγμάτωσης και στη συνέχεια να προσδιορίζεται ο απαιτούμενος οπλισμός προέντασης από τον έλεγχο θραύσης.
(2) Στις περισσότερες περιπτώσεις προκύπτει πλήρης προένταση για τα μόνιμα φορτία και για σημαντικό ποσοστό των κινητών φορτίων. Υπενθυμίζεται ότι:
α) Γενικά στις γέφυρες: Σύμφωνα με το εδάφιο (2) της παραγράφου 10.1.2 του DIN 4227/1988, Μέρος 1, στις γέφυρες και για την περίπτωση φόρτισης μόνιμα + προένταση + 1/2 κινητά + ερπυσμός + συστολή πήξης δεν επιτρέπονται εφελκυστικές τάσεις.
β) Ειδικά για τους αρμούς εργασίας: Σύμφωνα με το εδάφιο (1) της παραγράφου 10.3 του DIN 4227/1988, Μέρος 1, στις θέσεις των αρμών εργασίας (αρμοί μεταξύ των σπονδύλων) οι επιτρεπόμενες εφελκυστικές τάσεις ανέρχονται στο μισό των επιτρεπομένων εφελκυστικών τάσεων των παραγράφων 10.1.1 και 10.1.2 του προαναφερθέντος κανονισμού και ότι για την περίπτωση φόρτισης μόνιμα + προένταση + συστολή λόγω πήξεως + ερπυσμός δεν επιτρέπεται η ανάπτυξη εφελκυστικών τάσεων.
5.7. Ανακατανομή της έντασης λόγω ερπυσμού και αλλαγής στατικού συστήματος
(1) Όπως είναι γνωστό, η μεταβολή των φορτίων διατομής ενός συστήματος επέρχεται μέσω του ερπυσμού μόνο όταν συνδέονται τμήματα από σκυρόδεμα διαφορετικής ηλικίας ή διαφορετικής σύνθεσης, όπως συμβαίνει στην περίπτωση της τμηματικής κατασκευής γεφυρών.
(2) Η ανακατανομή αφορά μόνιμες φορτίσεις που επιβάλλονται στο αρχικό σύστημα προβόλων, ήτοι:
(3) Για ένα αρκούντως ακριβή υπολογισμό, σύμφωνα με την αντίστοιχη βιβλιογραφία, των τελικά αναπτυσσομένων εντατικών μεγεθών, π.χ. ροπών, ισχύει η σχέση:

όπου:
Μ η τελική ροπή
Μ0 η αντίστοιχη ροπή στο αρχικό ισοστατικό (πρόβολοι) σύστημα
ΜC η αντίστοιχη ροπή στο υπερστατικό σύστημα (βλέπε σχήμα 5.5.7.(3))
συντελεστής ερπυστικής ανακατανομής
ρ = ρ (t1, t0) ~ 0,8 συντελεστής ωρίμανσης

Σχήμα 5.5.7.(3)
5.8. Υπολογισμός υπερυψώσεων και υψομέτρων ξυλότυπου
5.8.1. Γενικά
(1) Με τις υπερυψώσεις γίνεται αναίρεση των παραμορφώσεων του φορείου, καθώς και του φορέα, ώστε να επιτευχθούν σε κατάσταση λειτουργίας τα προβλεπόμενα από τη μελέτη υψόμετρα της ερυθράς.
Οι υπερυψώσεις αντιστοιχούν στις παραμορφώσεις που προκύπτουν κατά τη φάση της κατασκευής και μετά την ολοκλήρωσή της από την επιβολή όλων των μονίμων φορτίων, από ένα μικρό τμήμα των κινητών φορτίων και από ανομοιόμορφη μεταβολή της θερμοκρασίας, δηλαδή σ' ένα σημείο του φορέα i η απαιτουμένη υπερύψωση είναι ίση με τη βύθιση του σημείου αυτού σ' ένα χρονικό ορίζοντα ίσο με το ½ της ζωής της γέφυρας.
Σημειώνεται ότι το μέτρο ελαστικότητας, ο ερπυσμός, η πήξη, η χαλάρωση του χάλυβα και οι παραμορφώσεις του εδάφους παίζουν σημαντικό ρόλο στον υπολογισμό των προαναφερθεισών υπερυψώσεων.
(2) Σε γέφυρες κατασκευαζόμενες με τη μέθοδο της δόμησης σε πρόβολο, λόγω ακριβώς του τρόπου κατασκευής τους, οι βυθίσεις είναι σχετικά μεγάλες. Για τον υπολογισμό των υπερυψώσεων πρέπει ιδιαίτερα να προσεχθούν οι ακόλουθες παραμορφώσεις:
| • | Βύθιση του φορείου κατά τη σκυροδέτηση του σπονδύλου |
| • | Παραμορφώσεις του στατικού συστήματος κατά τη φάση κατασκευής (πρόβολος) λόγω των σκυροδετηθέντων σπονδύλων, του φορείου και της σκυροδέτησης της κλείδας (Κλείσιμο ανοίγματος) |
| • | Παραμορφώσεις του συστήματος σε τελική φάση λαμβάνοντας υπόψη την προένταση ανοίγματος, την προένταση συνέχειας, ένα μικρό τμήμα των κινητών φορτίων και ανομοιόμορφη θερμοκρασιακή μεταβολή. |
| • | Καθιζήσεις των θέσεων έδρασης του φορέα λόγω παραμορφώσεων των βάθρων και καθίζησης του εδάφους θεμελίωσης. |
Το υψόμετρο του ξυλότυπου στο τέλος του προς σκυροδέτηση σπονδύλου i+1, προσδιορίζεται από τη γραμμή υπερυψώσεων ΔI+1 του φορέα και τη βύθιση Δ0I+1 στο σημείο i+1, συνεπεία της σκυροδέτησης και της προέντασης του σπονδύλου i+1 (βλέπε σχήμα 5.5.8.1.(2)).

Σχήμα 5.5.8.1.(2)
5.8.2. Υπολογισμός της υπερύψωσης Δ0I+1
Ο υπολογισμός της υπερύψωσης Δ0I+1 περιλαμβάνει τις ακόλουθες παραμέτρους:
| • | Παραμόρφωση του φορείου κατά τη σκυροδέτηση του σπονδύλου i+1 |
| • | Βύθιση του προβόλου 0, i στο σημείο i+1 λόγω σκυροδέτησης και προέντασης του σπονδύλου i+1 |
Σημειώνεται ότι η παραμόρφωση του φορείου μπορεί να προσδιορισθεί με μετρήσεις κατά την έναρξη της προβολοδόμησης. Ο ξυλότυπος του προς σκυροδέτηση σπονδύλου συνδέεται με τον πρόβολο στο επίπεδο του αρμού σκυροδέτησης με τρόπο ώστε να αποφεύγονται οι σχετικές μετακινήσεις στην περιοχή αυτή και το φορείο να αναλαμβάνει το μισό βάρος του σπονδύλου.
Ο υπολογισμός της βύθισης του προβόλου στο σημείο i +1 λόγω της σκυροδέτησης και της προέντασης του σπονδύλου i +1 δεν παρουσιάζει καμία δυσκολία και γίνεται με τις γνωστές μεθόδους της στατικής, με την τοποθέτηση μοναδιαίου φορτίου 1 στο σημείο i +1.
5.8.3. Υπολογισμός της καμπύλης υπερύψωσης ΔI
(1) Η υπερύψωση ΔI αντιστοιχεί βασικά στη βύθιση δi στο σημείο i του φορέα μετά την κατασκευή του μέχρι το μισό της ζωής της γέφυρας και περιλαμβάνει τους ακολούθους τρεις παράγοντες:
| • | Βύθιση του προβόλου λόγω σκυροδέτησης της κλείδας δiF (Κλείσιμο ανοίγματος) |
| • | Βύθιση στο τελικό σύστημα μετά το κλείσιμο του αρμού δiE |
(2) H βύθιση δiΒ ενός σημείου i μετά την κατασκευή του και μέχρι την κατασκευή του σπονδύλου n και την απομάκρυνση του φορείου (L) ανέρχεται σε:

όπου:
δiΒ(0, n) (g0,P) = Βύθιση στο σημείο i λόγω g0 και P σε όλο το μήκος του προβόλου
δiΒ(0,i) (g0,P) = Βύθιση στο σημείο i λόγω g0 και P σε το μήκος προβόλου από 0 έως I
δiΒ (n)(L) = Βύθιση στο σημείο i λόγω φορείου στο σημείο n
δiΒ(i)(L) = Βύθιση στο σημείο i λόγω φορείου στο σημείο i (βλέπε σχήμα 5.5.8.3.(2))
Για τον μερικό συντελεστή ερπυσμού Δ φ μπορούν να ληφθούν υπόψη οι παρακάτω τιμές:
i στο πρώτο τέταρτο του προβόλου Δ φ ~ 0,1*φ
i στο τρίτο τέταρτο του προβόλου Δ φ ~ 0,05*φ
i στο τέλος του προβόλου Δ φ = 0
Η προένταση Ρ λαμβάνεται υπόψη με το μέσο όρο της φάσεως κατασκευής από το σημείο i έως n. Στο στάδιο αυτό κατασκευής λαμβάνονται ακόμη υπόψη οι καθιζήσεις του εδάφους και οι παραμορφώσεις του βάθρου που σημειώνονται στο διάστημα από την κατασκευή του σημείου i μέχρι τη σκυροδέτηση της κλείδας.

Σχήμα 5.5.8.3.(2)
(3) Για τη βύθιση δiF, δηλαδή τη βύθιση στον πρόβολο λόγω της σκυροδέτησης της κλείδας, λαμβάνονται υπόψη:
| • | Απώλεια προέντασης κατά τη φάση από n μέχρι m |
| • | Ερπυσμός κατά τη φάση από n μέχρι m |
| • | Βάρος του σπονδύλου της κλείδας m |
| • | Οι βυθίσεις αυτές όπως προαναφέρθηκε υπολογίζονται στον πρόβολο. |
(4) Μετά τη σκυροδέτηση της κλείδας, το στατικό σύστημα λαμβάνει την τελική του μορφή. Οι ερπυστικές βυθίσεις από ίδιον βάρος και προένταση προβολοδόμησης υπολογίζονται λαμβάνοντας υπόψη την ανακατανομή των εντατικών μεγεθών. Όλες οι άλλες βυθίσεις υπολογίζονται στην τελική μορφή του στατικού συστήματος. Στην τελική αυτή φάση προκαλούν βυθίσεις οι παρακάτω παράγοντες:
| • | Υπολειπόμενος ερπυσμός σχετικά με το ίδιον βάρος και την προένταση της προβολοδόμησης |
| • | Υπολειπόμενη απώλεια προέντασης προβολοδόμησης |
| • | Απώλειες προέντασης ανοίγματος και προέντασης συνέχειας |
| • | Μόνιμα φορτία (πεζοδρόμια κ.λ.π.) |
| • | Ενδεχομένως τμήμα κινητών φορτίων και ανομοιόμορφη θερμοκρασιακή μεταβολή |
| • | Υπόλοιπα καθιζήσεων και παραμορφώσεων βάθρων μετά τη σκυροδέτηση της κλείδας |
Με τον υπολογισμό των υπερυψώσεων σε τέσσερα μέχρι έξι σημεία του προβόλου, χαράσσεται η καμπύλη υπερυψώσεων η οποία γενικά έχει τη μορφή του σχήματος 5.5.8.3.(4).

Σχήμα 5.5.8.3.(4)
5.9. Εβδομαδιαίος κύκλος δραστηριοτήτων
Ένας τυπικός εβδομαδιαίος κύκλος δραστηριοτήτων κατασκευής μπορεί να είναι ως εξής:
α) Συμμετρική Προβολοδόμηση
1. Προένταση, προώθηση φορείου
2. Πέρασμα τενόντων
3. Τοποθέτηση οπλισμού
4. Σκυροδέτηση
5. Σκλήρυνση

β) Ασύμμετρη Προβολοδόμηση
1. Προένταση, προώθηση φορείου
2. Πέρασμα τενόντων
3. Τοποθέτηση οπλισμού
4. Σκυροδέτηση
5. Σκλήρυνση

5.10. Πλεονεκτήματα - Μειονεκτήματα της κλασσικής μεθόδου
(1) Τα πλεονεκτήματα της μεθόδου είναι:
α) Το κόστος των ικριωμάτων στην κλασσική προβολοδόμηση ανέρχεται συνήθως στο 25% - 35% του συνολικού κόστους της γέφυρας έναντι 40% περίπου σε γέφυρες με συμβατικά ικριώματα και είναι ανεξάρτητο από το ύψος των βάθρων και την τοπογραφία της θέσεως κατασκευής της.
β) Ο επαναληπτικός κύκλος δραστηριοτήτων μειώνει σημαντικά το κόστος εργασίας ανά μονάδα υλικών.
γ) Το φορείο σκυροδέτησης των σπονδύλων είναι ρυθμιζόμενο και επιδεκτικό πολλαπλών εφαρμογών.
(2) Τα μειονεκτήματα της μεθόδου είναι:
α) Η κατασκευή οδών πρόσβασης σε κάθε μεσόβαθρο θα πρέπει να εξασφαλίζει τον εφοδιασμό του συστήματος με τα απαιτούμενα υλικά κατασκευής του φορέα.
β) Σημαντικό κόστος μεταφόρτωσης των υλικών ιδιαίτερα στην περίπτωση υψηλών βάθρων.
γ) Ανάγκη, μετά την ολοκλήρωση της κατασκευής κάθε φάσεως, καταβιβασμού των φορείων, μεταφοράς τους μέσω του δύσβατου συνήθως εδάφους της χαράδρας στη θέση του επομένου μεσόβαθρου και ανύψωση στη νέα θέση λειτουργίας τους.
5.11. Παραλλαγές της κλασσικής μεθόδου
Για την εξουδετέρωση των προαναφερθέντων μειονεκτημάτων έχουν αναπτυχθεί παραλλαγές της κλασσικής μεθόδου, οι οποίες σε γενικές γραμμές περιγράφονται ως ακολούθως:
(α) Δόμηση σε πρόβολο με βοηθητικό φορέα (βλέπε σχήμα 5.5.11)α).
Με τη μέθοδο αυτή επιτυγχάνεται:
| • | Μεταφορά προσωπικού και υλικών μέσω του ήδη κατασκευασθέντος τμήματος του φορέα καθώς και του βοηθητικού φορέα. |
| • | Απλή μετάθεση των φορείων σκυροδέτησης στο επόμενο μεσόβαθρο μέσω του βοηθητικού φορέα. |

Σχήμα 5.5.11)α
(β) Δόμηση σε πρόβολο με βοηθητικό φορέα όπως και στην περίπτωση (α), αλλά κατασκευή της διατομής σε δύο φάσεις με τη βοήθεια ενός προσθέτου φορείου
Σε πρώτη φάση κατασκευάζεται, κατά τα γνωστά, το κεντρικό τμήμα της διατομής (κιβώτιο) και σε δεύτερη φάση με το πρόσθετο φορείο οι πρόβολοι του κιβωτίου και οι αντηρίδες. Η μέθοδος είναι ιδιαίτερα κατάλληλη για την κατασκευή φορέων διατομής μεγάλου πλάτους, όταν για οποιονδήποτε λόγο δεν έχει προκριθεί η λύση των ανεξαρτήτων φορέων ανά κλάδο οδού.
Στα σχήματα 5.5.11)β)1 και 5.5.11)β)2 δίνεται παραστατικά η εφαρμογή της μεθόδου.





Σχήμα 5.5.11)β)1

Σχήμα 5.5.11)β)2
(γ) Στις περιπτώσεις κατά τις οποίες έχει προδιαγραφεί φορέας σταθερού ύψους και επειδή δεν είναι δυνατή η παραλαβή της αναπτυσσόμενης στη θέση του μεσόβαθρου ροπής προβόλου, γίνεται χρήση καλωδίων ανάρτησης και βοηθητικού πυλώνα (βλέπε σχήμα 5.5.11.(γ)).

Σχήμα 5.5.11)γ
6. Μέθοδος σταδιακής προώθησης
6.1. Γενική περιγραφή
(1) Πρόκειται για μέθοδο αναπτυχθείσα από τους W. Baur - F. Leonhardt στις αρχές της δεκαετίας 1960 και που κατοχυρώθηκε με δίπλωμα ευρεσιτεχνίας μέχρι και το 1982. Σταθμό στην ανάπτυξη της μεθόδου αποτελούν οι γέφυρες στους ποταμούς Rio Caroni - Βενεζουέλα 1961 και Inn στο Kufstein της Αυστρίας 1965. Μέχρι σήμερα περισσότερες από 1000 γέφυρες σε όλο τον κόσμο έχουν κατασκευασθεί με τη μέθοδο της προώθησης.
(2) Στη χώρα μας η μέθοδος έχει εφαρμοσθεί:
α) Στην γέφυρα που κατασκευάστηκε στον ποταμό Φιλιουρή στην περιοχή της Κομοτηνής κατά μήκος του άξονα της Εγνατίας οδού (βλέπε εικόνες 5.6.1.(2).α)1 και α)2)
β) Στη γέφυρα Δρυμώνα που κατασκευάστηκε στον άξονα Πάτρα - Αθήνα - Θεσσαλονίκη - Εύζωνοι.
Σημειώνεται ότι υπό κατασκευή ευρίσκεται μία ακόμη γέφυρα στον άξονα της Αττικής οδού.


Εικόνα 5.6.1.(2).α)1

Εικόνα 5.6.1.(2).α)2
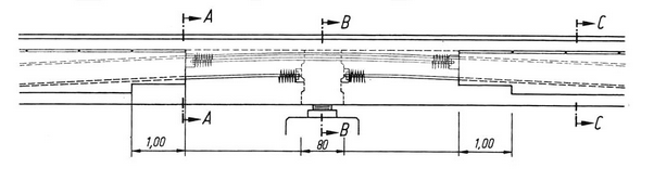
(3) Η μέθοδος συνίσταται στην προοδευτική κατασκευή του φορέα κατά σπονδύλους 15 -30 m και την εν συνεχεία προώθησή τους συνήθως από το ένα ακρόβαθρο (βλέπε σχήμα 5.6.1.(3)).

Σχήμα 5.6.1.(3)
6.2. Βασικά χαρακτηριστικά της μεθόδου
Τα βασικά χαρακτηριστικά της μεθόδου είναι (βλέπε σχήμα 5.6.2):
(α) Σκυροδέτηση κάθε σπονδύλου παραπλεύρως του προηγουμένου.
β) Μήκος του σπονδύλου, που ταυτίζεται με το βήμα προώθησης, συνήθως 50% του ανοίγματος.
γ) Χρόνος κατασκευής κάθε σπονδύλου 1 εβδομάδα, ανεξάρτητα από το μήκος του.
δ) Μόνιμες εγκαταστάσεις παραγωγής (γερανός, μόρφωση οπλισμών, συγκρότημα σκυροδέτησης).
ε) Απόσταση του μετώπου της κλίνης σκυροδέτησης κατά κανόνα από τον άξονα του ακροβάθρου 1,2 x 1 x τ, όπου 1 x τ το βήμα προώθησης.
στ) Προωθητήρας τοποθετημένος κατά κανόνα στο ακρόβαθρο
ζ) Μήκος ρύγχους συνήθως 60% του τυπικού ανοίγματος.

Σχήμα 5.6.2
6.3. Περιοχή εφαρμογής της μεθόδου
(1) Το μέγιστο μήκος γέφυρας που επιτεύχθηκε που κατασκευάστηκε με τη μέθοδο αυτή είναι της τάξεως 1200 m (προώθηση από τα δύο ακρόβαθρα και σύνδεση των δύο τμημάτων). Σύνηθες μέγιστο μήκος γέφυρας 600 m.
(2) Τα μήκη των επί μέρους ανοιγμάτων κυμαίνονται από 30 - 60 m. Με χρήση βοηθητικού μεσόβαθρου μπορεί το μήκος του ανοίγματος να φθάσει τα 80 m (βλέπε σχήμα 5.6.3.(2)).
(3) Η κατά μήκος κλίση της ερυθράς πρέπει να είναι ≤ 4%. Σημειώνεται ότι η μέθοδος έχει χρησιμοποιηθεί και σε χαράξεις με κατά μήκος κλίσεις ερυθράς 7%.


Σχήμα 5.6.3.(2)
(4) Ιδανική εφαρμογή έχει η μέθοδος σε ευθύγραμμες και κυκλικές χαράξεις. Σημειώνεται όμως ότι είναι δυνατή η εφαρμογή της και σε κλωθοειδείς, όπως περιγράφεται παρακάτω.
Οι εφαρμοζόμενες σήμερα χαράξεις οδών είναι τόσο τεταμένες ώστε οι αποκλίσεις μεταξύ της κλωθοειδούς και του κύκλου της προώθησης είναι μικρές (βλέπε σχήμα 5.6.3.(4)α).
Σημειώνεται ότι στις περιπτώσεις αυτές το κιβώτιο κατασκευάζεται σαν τμήμα κύκλου (ο κύκλος προώθησης αφορά το κιβώτιο) και οι προκύπτουσες διαφορές μεταξύ κλωθοειδούς και κύκλου εξισώνονται με αντίστοιχη μεταβολή του πλάτους της πάνω πλάκας (βλέπε σχήμα 5.6.3.(4)β). Τονίζεται ότι εάν οι αποκλίσεις υπερβαίνουν το 0,75 m -1,0 m, τότε η εξίσωσή τους με αντίστοιχη μεταβολή του πλάτους της πάνω πλάκας του κιβωτίου είναι δύσκολη. Στην περίπτωση αυτή είναι δυνατόν τη λύση να δώσει η προώθηση από τα δύο ακρόβαθρα της γέφυρας, εφόσον βέβαια και το μήκος της συνηγορεί σ' αυτή τη μεθοδολογία.
Από μηκοτομική άποψη, σε περίπτωση κατά την οποία η γέφυρα ευρίσκεται εν μέρει σε ευθύγραμμο τμήμα και εν μέρει σε καμπύλη συναρμογής (τόξο κύκλου), τότε η μέθοδος μπορεί να εφαρμοσθεί εφόσον και πάλι η προώθηση πραγματοποιηθεί από δύο πλευρές και γίνει σύνδεση των δύο τμημάτων (βλέπε σχήμα 5.6.3.(4)γ). Σε περίπτωση κατά την οποία οι διαφορές μεταξύ της μηκοτομής της γέφυρας και του κύκλου προώθησης είναι της τάξεως λίγων χιλιοστών του μέτρου, δεν προκύπτει σοβαρό πρόβλημα. Για μεγαλύτερες αποκλίσεις, θεωρητικά είναι δυνατή η εξίσωση των αποκλίσεων με αντίστοιχη μεταβολή του ύψους του φορέα, γεγονός που έχει συνέπειες στο καλούπι και κατ' επέκταση στο όλος κόστος κατασκευής.

Σχήμα 5.6.3.(4)α

Σχήμα 5.6.3.(4)β

Σχήμα 5.6.3.(4)γ
6.4. Γενική διάταξη του συστήματος
6.4.1. Προωθητήρες
(1) Οι προωθητήρες, κατά κανόνα, εδράζονται στο ακρόβαθρο. Κατ' εξαίρεση είναι δυνατό να τοποθετηθούν και στο 1ο μεσόβαθρο. Αποτελούνται από ένα ανυψωτήρα (γρύλο κατακόρυφης διαδρομής) που ολισθαίνει πάνω σ' ένα φύλλο ολίσθησης (Teflon) με χαμηλό συντελεστή τριβής, τάξεως 3%. Το κατακόρυφο έμβολο εφαρμόζει στο πέλμα του προωθούμενου φορέα. Μία αδρής επιφανείας χαλύβδινη πλάκα εφαρμοσμένη στην κεφαλή του εμβόλου, επιτρέπει την ανάπτυξη τριβής τάξεως 70% (βλέπε σχήμα 5.6.4.1.(1)).

Σχήμα 5.6.4.1.(1)
(2) Οριζόντιοι γρύλοι, αρθρωτά συνδεδεμένοι με τους κατακόρυφους, τους ωθούν προς τα εμπρός και δια μέσου αυτών ωθούν το φορέα. Το βήμα κάθε ώθησης είναι της τάξεως των 20 έως 25 cm. Η προώθηση μιας μονάδας 20 έως 30 μέτρα διαρκεί 2 έως 3 ώρες. Μετά από κάθε βήμα, ο κατακόρυφος γρύλος κατεβαίνει και ο οριζόντιος κινείται προς τα πίσω. Στη φάση αυτή ο φορέας εδράζεται στα εφέδρανα παγίωσης. Η όλη διαδικασία εμφανίζεται στο σχήμα 5.6.4.1.(2).
Ο συντελεστής τριβής είναι ίσος προς 0,70 (οριακή τιμή). Λαμβανομένου υπόψη ενός συντελεστού ασφαλείας 1,4, ο ωφέλιμος λειτουργικός συντελεστής τριβής ανέρχεται σε 0,50.




Σχήμα 5.6.4.1.(2)
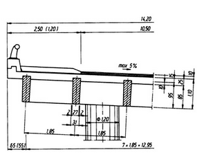
6.4.2. Χαλύβδινο ρύγχος
(1) Το μήκος του είναι της τάξεως του 60% του τυπικού ανοίγματος. Μικρότερο μήκος συνεπάγεται αύξηση της ροπής στήριξης, της απαιτούμενης προέντασης και των θλιπτικών τάσεων στην κάτω πλάκα (βλέπε και πίνακα 5.6.10.2.(4), στήλη min Μ).
Μεγαλύτερο μήκος μειώνει τη ροπή στήριξης, δεν μειώνει όμως ουσιαστικά την προένταση.
Σημειώνεται ότι το κόστος του ρύγχους, μαζί με το κόστος της διάταξης προώθησης, αποτελούν το σημαντικότερο τμήμα της επένδυσης που απαιτείται για την εφαρμογή της μεθόδου.
(2) Οι διαμήκεις δοκοί του ρύγχους μορφώνονται κατά κανόνα σαν ολόσωμες διατομές, όντας οικονομικότερες από τις δικτυωτές.
(3) Συνιστάται το ρύγχος να είναι εύστρεπτο, δηλαδή να μην υπάρχει ο πάνω οριζόντιος αντιανέμιος καθώς και διαφραγματική λειτουργία μέσω αντιανέμιων, ώστε να μην καταπονείται υπέρμετρα σε περίπτωση ανισοσταθμίας των εφεδράνων. Επιπλέον, ο πρόβολος γίνεται οικονομικότερος και τροποποιείται ευκολότερα σε περίπτωση επαναχρησιμοποίησης. Η εγκάρσια σύνδεση πραγματοποιείται με λειτουργία ημιπλαισίου (βλέπε σχήμα 5.6.4.2.(3)).

Σχήμα 5.6.4.2.(3).
(4) Το πάχος του κορμού είναι κατ' ελάχιστο 20 mm, καθοριζόμενο από κριτήρια ύβωσης. Κατακόρυφα μέλη ακαμψίας τερματίζουν πάντα προ του κάτω πέλματος.
(5) Το πλάτος και το πάχος του κάτω πέλματος προσδιορίζονται με κριτήρια την αναλαμβανόμενη εφελκυστική δύναμη, τις επιτρεπόμενες τάσεις διαστασιολόγησης των πλακών ολίσθησης και τις τάσεις κάμψεως κατά την εγκάρσια διεύθυνση. Συνήθως εκλέγεται πλάτος κάτω πέλματος ~300 mm. Η ελαστική υποχωρητικότητα του κάτω πέλματος κατά την εγκάρσια διεύθυνση λαμβάνεται υπόψη με την παραδοχή γραμμικής μείωσης των αναπτυσσομένων τάσεων προς τα έξω (βλέπε σχήμα 5.6.4.2.(5))

Σχήμα 5.6.4.2.(5)
(6) Οι ενώσεις του ρύγχους πραγματοποιούνται με προεντεταμένους, φρεζαριστούς κοχλίες.
(7) Το ρύγχος τοποθετείται εμπρός από την κλίνη και ο πρώτος σπόνδυλος σκυροδετείται σε επαφή.
Η συρραφή του ρύγχους πραγματοποιείται με προεντεταμένες αγκυρόβιδες τύπου Dywidag (4,0 m μέσα στον φορέα, 0,5 m στο ρύγχος). Στα πρώτα 5 έως 6 m, οι κορμοί του κιβωτίου του φορέα της γέφυρας διαπλατύνονται ώστε να εγκιβωτιστούν οι αγκυρόβιδες. Οι αγκυρόβιδες είναι ελεύθερες, χωρίς τσιμεντένεμα, ώστε να μπορούν να επαναχρησιμοποιηθούν. Απλά προστατεύονται με αντισκωριακή επάλειψη.
Η ανάληψη της τέμνουσας γίνεται με πρόβολο σκυροδέματος και οδόντωση (βλέπε σχήμα 5.6.4.2.(7).)

Σχήμα 5.6.4.2.(7)
6.4.3. Προσωρινά εφέδρανα προώθησης
(1) Τα προσωρινά εφέδρανα προώθησης κατασκευάζονται πλέον εξωτερικά - πλευρικά από συγκολλούμενα πλαίσια σιδηροδοκών τα οποία εσωτερικά πληρούνται με σκυρόδεμα. Στην πάνω επιφάνεια του με τον προαναφερθέντα τρόπο σχηματιζόμενου κιβωτίου συγκολλιέται χαλύβδινη πλάκα ικανού πάχους.

Σχήμα 5.6.4.3.(1)
(2) Επί του κιβωτίου τοποθετείται ελαστομερής στρώση πάχους 20-50 mm, ώστε να υπάρχει μία ελαστικότητα στην έδραση του φορέα. Επί της στρώσεως αυτής τοποθετείται μία χαλύβδινη πλάκα ολίσθησης, πλανισμένη, της οποίας τα άκρα διαμορφώνονται όπως φαίνεται στο σχήμα 5.6.4.3.(2)α. Οι σημειούμενες διαστάσεις είναι οι ελάχιστες απαιτούμενες για ασκούμενη πίεση πάνω στην πλάκα ολίσθησης μέχρι 13 Ν/mm2. Το πάχος της πλάκας είναι 4 mm και το είδος του χάλυβα St 52.

Σχήμα 5.6.4.3.(2)α
Η χαλύβδινη πλάκα ολίσθησης επικαλύπτεται με ανοξείδωτη λαμαρίνα πάχους 1 mm και μέγιστο βάθος τραχύτητας 1 μm Κατά τη φάση της προώθησης το κενό μεταξύ χαλύβδινης πλάκας και κάτω πέλματος φορέως τροφοδοτείται με τις αποκαλούμενες πλάκες προώθησης.
Οι πλάκες προώθησης είναι ελαστομερείς οπλισμένες πλάκες, των οποίων η κάτω επιφάνεια (η εφαπτόμενη με τη χαλύβδινη επιφάνεια) είναι εφοδιασμένη με μία στρώση PTFE. Το συνολικό πάχος τους ανέρχεται σε 13 mm (βλέπε σχήμα 5.6.4.3.(2)β). Τονίζεται ότι για να μην έχουμε υπέρβαση της μεγίστης επιτρεπόμενης τριβής 4%, πρέπει η στρώση PTFE να αποτελείται από καθαρό καινούργιο υλικό και να γίνεται προσεκτική λίπανση. Τα ενσωματωμένα χαλύβδινα ελάσματα πρέπει να παρουσιάζουν υψηλό όριο διαρροής ώστε να αποφεύγονται μόνιμες παραμορφώσεις. Το ελαστομερές υλικό θα πρέπει να παρουσιάζει σκληρότητα 60 Shore.
Πλάκες προώθησης κατασκευάζονται πρακτικά σε όλες τις διαστάσεις. Η διαστασιολόγησή τους γίνεται επίσης με επιτρεπόμενη τάση 13 Ν/mm2.
Σημειώνεται ότι το πλάτος τους καθορίζεται ανάλογα με το πλάτος του κορμού του κιβωτίου του φορέα της γέφυρας και το πλάτος του προσωρινού εφεδράνου προώθησης. Το μήκος τους όμως δεν θα πρέπει να υπερβαίνει τα 30 cm ώστε να είναι εύκολος ο χειρισμός τους. Σε γέφυρες μέχρι 500 m δεν χρειάζεται αλλαγή των πλακών προώθησης. Σε μεγαλύτερες γέφυρες τα φύλλα των πρώτων βάθρων φθείρονται και χρειάζονται αλλαγή.

Σχήμα 5.6.4.3.(2)β
(3) Οι πλευρικοί οδηγοί τοποθετούνται μόνο στην κάτω πλευρά του κεκλιμένου κιβωτίου και σχεδιάζονται βασικά κατά τον ίδιο τρόπο (βλέπε σχήμα 5.6.4.3.(3)).
Σημειώνεται ότι κατά την εγκάρσια διεύθυνση και στο ύψος των πλευρικών οδηγών, θα λαμβάνεται υπόψη ένα πρόσθετο οριζόντιο φορτίο ίσο προς V/100 (V η κατακόρυφη αντίδραση).
Το φορτίο αυτό θα συνδυάζεται κατά τον δυσμενέστερο τρόπο με τα φορτία από άνεμο και ενδεχομένως με τα φορτία από εγκάρσια κλίση του φορέα, από καμπυλότητα κ.λ.π., θα λαμβάνεται υπόψη συντελεστής ασφαλείας 1,2 για την περίπτωση κατά την οποία ένας πλευρικός οδηγός τίθεται εκτός λειτουργίας.
Για τη θεμελίωση ισχύουν οι απαιτήσεις της περίπτωσης φόρτισης 3 κατά DIN 1054

Σχήμα 5.6.4.3.(3)
(4) Υπολογισμός των εφεδράνων προώθησης γίνεται σύμφωνα προς τους ισχύοντες κανονισμούς εφεδράνων και τις οδηγίες που συνοδεύουν την άδειά τους. Οι απαιτήσεις βέβαια σε ανθεκτικότητα μπορεί να είναι περιορισμένες.
6.4.4. Μόνιμα εφέδρανα
(1) Τα μόνιμα εφέδρανα τα οποία χρησιμοποιούνται στο τελικό στάδιο των γεφυρών που κατασκευάζονται με τη μέθοδο της σταδιακής προώθησης δεν διαφοροποιούνται από τα εφέδρανα τα οποία χρησιμοποιούνται σε γέφυρες που κατασκευάζονται με άλλες μεθόδους, αλλά λόγω της προώθησης και της εκ των υστέρων τοποθετήσεώς των, προκύπτουν ιδιαιτερότητες, κυρίως όσον αφορά την αγκύρωσή τους, οι οποίες θα πρέπει να προσεχθούν τόσο κατά τον υπολογισμό όσο και κατά το στάδιο της κατασκευής.
(2) Ενώ με τις άλλες μεθόδους κατασκευής (εκτός επίσης από τη μέθοδο των προκατασκευασμένων δοκών) ο φορέας σκυροδετείται επί των εφεδράνων που έχουν ήδη τοποθετηθεί, στη μέθοδο της προώθησης απαιτείται η κατασκευή στρώσεως από κονία μεταξύ της πάνω επιφανείας των εφεδράνων και της κάτω επιφανείας του φορέα, ελαχίστου πάχους 20 mm.
Λόγω του γεγονότος ότι η κάτω επιφάνεια του φορέα παρουσιάζει εγκάρσια κλίση ενώ η πάνω πλευρά του εφεδράνου πρέπει να είναι οριζόντια, προκύπτει μεταβλητού πάχους στρώση κονίας.
Π.χ. για εγκάρσια κλίση 3%, κατά μήκος κλίση 5%, μήκος πλευράς εφεδράνου 1,20 m προκύπτει υψομετρική διαφορά ΔΗ = (5 + 3) * 120 / 100 = 9,6 cm. Λαμβάνοντας υπόψη ότι το ελάχιστο πάχος της στρώσεως της κονίας είναι 2,0 cm, το πάχος της στη δυσμενέστερη γωνία του εφεδράνου προκύπτει 9,6 + 2,0 = 11,6 ~ 12,0 cm. Με τις εφαρμοζόμενες σήμερα κονίες δεν αποτελεί πρόβλημα η κατασκευή μιας τέτοιας στρώσεως.
(3) Ο ακριβής προσδιορισμός της θέσεως των εφεδράνων δεν είναι εκ των προτέρων γνωστός.
Σε γέφυρα π.χ. μήκους 500 m, η οποία στο ένα ακρόβαθρο εδράζεται επί σταθερού εφεδράνου, θερμοκρασιακή διακύμανση 10° προκαλεί μεταβολή του μήκους της ΔL = 10.500.103.10 - 5 = 50 mm. Σημειώνεται ότι οι μεταβολές μήκους λόγω θερμοκρασιακών αιτίων μόνο χονδρικά μπορούν να εκτιμηθούν εκ των προτέρων.
Στις προαναφερθείσες μεταβολές προστίθενται η ελαστική βράχυνση συνεπεία της κεντρικής προέντασης, καθώς και οι βραχύνσεις λόγω ερπυσμού και συστολής πήξεως παράγοντες οι οποίοι προκαλούν διαφοροποιήσεις που είναι διπλάσιες ή και τριπλάσιες της διαφοροποίησης λόγω της θερμοκρασιακής διακύμανσης.
Έτσι, για τη γέφυρα των 500 m μήκους προκύπτει συνολική βράχυνση της τάξεως των 150 - 200 mm.
Οι βραχύνσεις συνεπεία προέντασης, ερπυσμού και συστολής λόγω πήξης, οι οποίες πρέπει να αναιρούνται με αντίστοιχη αύξηση του μήκους του βήματος προώθησης, θα λαμβάνονται υπόψη με εύρος διακύμανσης ± 25% πέραν των ανοχών μέτρησης.
(4) Διατάξεις οι οποίες χρησιμοποιούνται για την αγκύρωση των εφεδράνων στον φορέα, θα πρέπει να λαμβάνουν υπόψη τις ανοχές οι οποίες αναφέρθηκαν προηγουμένως.
Οι διαστάσεις των οπών στην κάτω επιφάνεια του φορέα, οι οποίες θα υποδεχθούν τα αγκύρια των εφεδράνων και οι οποίες στη συνέχεια πληρούνται με κατάλληλο ένεμα, προσαυξάνονται λαμβάνοντας υπόψη το εύρος διακύμανσης της θέσεως του εφεδράνου.
Σε περίπτωση κατά την οποία χαλύβδινη πλάκα ενσωματώνεται στην κάτω πλευρά του φορέα κατά τη φάση της σκυροδέτησής του, τότε η σύνδεσή της με το υπόλοιπο εφέδρανο γίνεται μόνο με στεγανωτικές διατάξεις των οποίων οι διαστάσεις προσδιορίζονται (και συνεπώς η κατασκευή τους γίνεται) μετά το τέλος της προώθησης.
Σε όλα σχεδόν τα εφέδρανα ολίσθησης και σε πολλά σταθερά εφέδρανα μπορεί κανείς να παραιτηθεί από διατάξεις αγκύρωσης, εάν προσδιορισθεί η πραγματικά δρώσα οριζόντια δύναμη στον αρμό της κονίας.
Σε κινητά εφέδρανα η οριζόντια δύναμη HR η οποία αναπτύσσεται στον αρμό, συνήθως ανέρχεται στο 4% της αντίστοιχης κατακόρυφης αντίδρασης V, ενώ σε εφέδρανα κινητά μόνο κατά μία διεύθυνση, τα οποία πρέπει να παραλάβουν επιπρόσθετα και φορτίσεις λόγω ανέμου, η οριζόντια δύναμη μόνο σε εξαιρετικές περιπτώσεις μπορεί να φτάσει το 10% της αντίστοιχης κατακόρυφης αντίδρασης V. Τέτοιου μεγέθους οριζόντιες δυνάμεις μπορούν να παραληφθούν χωρίς αμφιβολία από τον αρμό κονίας. Σε σταθερά εφέδρανα μπορεί o λόγος H/V να υπερβεί την τιμή 0,1.
Σε περιπτώσεις 0,1 ≤ H / V ≤ 0,2 τα εφέδρανα εγκιβωτισμένου ελαστομερούς υλικού χρειάζονται ενίσχυση και σε περίπτωση H / V >0,2 απαιτούνται ιδιαίτερες διατάξεις.
Αντίθετα προς την επικρατούσα άποψη, το κάτω όριο του συντελεστή τριβής μεταξύ σκυροδέματος, χαλύβδινων πλακών και κονίας, με βάση διεξαχθέντα πειράματα, λαμβάνεται ίσο με 0,60, οπότε υπό λειτουργικά φορτία και συντελεστή ασφαλείας γ=3, η δυναμένη να αναληφθεί οριζόντια δύναμη H μπορεί να φθάσει το 20% της κατακόρυφης V.
Σε περίπτωση κατά την οποία ο Κύριος του Έργου απαιτεί την ύπαρξη αγκύρωσης ή H/V >0,4, τότε, όπως φαίνεται στο σχήμα 5.6.4.4.(4), ενσωματώνεται χαλύβδινη πλάκα με αγκύρια στην κάτω πλευρά του φορέα κατά τη φάση της σκυροδέτησής του και κοχλιώνονται μετά το πέρας της προώθησης εγκάρσιοι πήχεις. Το κενό μεταξύ της ενσωματωμένης χαλύβδινης πλάκας και της άνω επιφανείας του εφεδράνου πληρούται με κονία, καθώς επίσης το διάκενο μεταξύ των εγκαρσίων πήχεων.

Σχήμα 5.6.4.4.(4)
6.4.5. Μονάδα παραγωγής - Ξυλότυπος - Οπλισμοί
(1) Ο επικρατέστερος σήμερα σχεδιασμός της μονάδας παραγωγής προβλέπει την τοποθέτηση όλου του συστήματος του τυποποιημένου ξυλότυπου σε εσχάρα δοκών, η οποία έχει τη δυνατότητα κατακόρυφης μετακίνησής της με τη βοήθεια γρύλων και της οποίας η παραμόρφωση υπό τα φορτία σκυροδέτησης κ.λ.π. πρέπει να είναι μικρότερη του 1 mm. Για το λόγο αυτό οι εγκάρσιοι δοκοί της εσχάρας είναι χαλυβδοδοκοί, μορφής Η ύψους 400 mm ~ 600 mm οι οποίοι με τη σειρά τους εδράζονται σε διαμήκεις δύσκαμπτες δοκούς κατασκευαζόμενες επί τόπου από οπλισμένο ή και από προεντεταμένο σκυρόδεμα σε περίπτωση μεγαλυτέρων φορτίων (βλέπε σχήμα 5.6.4.5.(1)).
Σημειώνεται ότι η μονάδα παραγωγής απαιτεί ένα βάθος τάξεως 1,5 m μεταξύ κάτω πλάκας φορέα και εκσκαφής, στοιχείο που πρέπει να ληφθεί υπόψη στο σχεδιασμό της.


Σχήμα 5.6.4.5.(1)
(2) Η διαδρομή των γρύλων για την κατακόρυφη μετακίνηση του ξυλότυπου είναι συνήθως 150 έως 200 mm, ώστε να απομένει ικανοποιητικό διάκενο μεταξύ του ξυλότυπου και του σκυροδετηθέντος βήματος και να αποφεύγεται το φρακάρισμα κατά τη διάρκεια της προώθησής του.
(3) Τα βοηθητικά εφέδρανα της μονάδας παραγωγής τοποθετούνται κάτω από τους κορμούς του κιβωτίου. Λεπτομέρειες των εφεδράνων αυτών σε διαμήκη και εγκάρσια τομή παριστάνονται στο σχήμα 5.6.4.5.(3). Σημειώνεται ότι το πέτσωμα στην περιοχή υπεράνω των εφεδράνων αντικαθίσταται με χαλύβδινη πλάκα St 52 πάχους 25 mm της οποίας το μήκος καθορίζεται κατά τρόπο που να επιτρέπεται η τροφοδότηση των εφεδράνων με πλάκες προώθησης.
Μετά τον καταβιβασμό του ξυλότυπου και την έναρξη της προώθησης, ύστερα από διαδρομή 1 m περίπου, οι χαλύβδινες πλάκες απομακρύνονται, οπότε η τροφοδοσία του εφεδράνου πρέπει να γίνεται με πλάκες προώθησης πάχους αυξημένου κατά το πάχος των χαλύβδινων πλακών που απομακρύνθηκαν.


Σχήμα 5.6.4.5.(3).
(4) Τα εφέδρανα τα οποία βρίσκονται πριν από τη μονάδα παραγωγής (βλέπε σχήμα 5.6.4.5.(1)) τοποθετημένα πάνω σε βάθρο από σκυρόδεμα είναι εφέδρανα προώθησης όμοια με τα περιγραφόμενα στην παράγραφο 5.6.4.3.
Ο ρόλος τους είναι η σταθεροποίηση κατά την οριζόντια και κατακόρυφη διεύθυνση των περάτων των βημάτων κατά τη φάση της προώθησης.
Η απόσταση στην οποία τοποθετούνται από τη μονάδα παραγωγής καθορίζεται κατά τρόπο ώστε να είναι δυνατή η τροφοδοσία με πλάκες ολίσθησης. Λόγω του σημαντικού ρόλου στην όλη παραγωγική διαδικασία, πρέπει να ελέγχονται συνεχώς έναντι καθιζήσεων και παραμορφώσεων.
(5) Ο οπλισμός συνήθως προκατασκευάζεται πριν την κλίνη σκυροδέτησης και σύρεται με την προώθηση.
6.5. Καθορισμός μήκους βήματος προώθησης.
(1) Κατά τον καθορισμό του μήκους βήματος προώθησης θα λαμβάνονται υπόψη οι παρακάτω κανόνες:
α) Το μήκος του βήματος πρέπει να καθορίζεται όσο μεγαλύτερο γίνεται αλλά όχι μεγαλύτερο από αυτό που μπορεί να κατασκευασθεί εντός μιας εβδομάδας. Στην πράξη έχει αποδειχθεί ότι βήματα μήκους μέχρι 30 m για πλάτος γέφυρας μέχρι 20 m μπορούν να κατασκευασθούν εντός μιας εβδομάδος.
β) Κατά την κατασκευή της γέφυρας θα πρέπει να επιδιώκεται όσο είναι δυνατόν μεγάλος αριθμός βημάτων προώθησης με ίδιο μήκος.
γ) Οι αρμοί μεταξύ των βημάτων προώθησης δεν πρέπει να βρίσκονται στις περιοχές των μεγάλων ροπών, δηλαδή δεν πρέπει να βρίσκονται στην περιοχή του μέσου των ανοιγμάτων ή στην περιοχή των στηρίξεων.
(2) Στη σύγχρονη πρακτική της μεθόδου το μήκος του βήματος προώθησης καθορίζεται ίσο με SR / 2, όπου SR το μήκος του τυπικού ανοίγματος της γέφυρας (βλέπε σχήμα 5.6.5.(2)). Στην τελική θέση της γέφυρας τα βήματα προώθησης S είναι τοποθετημένα συμμετρικά στις στηρίξεις, οπότε οι αρμοί μεταξύ των βημάτων βρίσκονται στα τέταρτα του ανοίγματος. Το μήκος των βημάτων στα ανοίγματα F είναι επίσης ~ SR / 2. Στα ακραία ανοίγματα διατάσσονται επίσης βήματα F μήκους ~ SR / 2, καθώς και τα ειδικά βήματα Α και Ε.

Σχήμα 5.6.5.(2)
(3) Τα αναφερόμενα στο παραπάνω εδάφιο (2) ισχύουν για συνήθεις περιπτώσεις κατασκευής γεφυρών με προώθηση και για μήκη ανοιγμάτων 40 m έως 60 m.
Στις περιπτώσεις γεφυρών με διαφορετικά ανοίγματα, συνιστάται η σχεδίαση βημάτων S του αυτού μήκους, που θα τοποθετηθούν υπεράνω των μεσόβαθρων, και η εξισορρόπηση της προκύπτουσας διαφοράς μήκους στα απλούστερα βήματα F που θα τοποθετηθούν στα μέσα των ανοιγμάτων. Σε μεγαλύτερα ανοίγματα με χρήση και βοηθητικού βάθρου το μήκος των βημάτων S τα οποία θα τοποθετηθούν υπεράνω των μεσόβαθρων, θα είναι επίσης 20 m έως 30 m και θα προβλεφθούν βήματα F ίσου μήκους.
Σε περίπτωση κατά την οποία το μήκος των ακραίων ανοιγμάτων είναι ~ 0,7 SR, τότε τα ειδικά βήματα Α και Ε θα ενοποιούνται με τα παρακείμενα βήματα F με ανάλογη εξοικονόμηση χρόνου.
6.6. Διαμόρφωση της διατομής.
6.6.1. Γενικά
Η διατομή φορέων γεφυρών που κατασκευάστηκαν με τη μέθοδο προώθησης, σε ποσοστό που υπερβαίνει το 90%, έχει τη μορφή κιβωτίου. Για το λόγο αυτό το παρόν κεφάλαιο που αφορά τη μέθοδο της προώθησης, είναι προσανατολισμένο στη μορφή αυτή της διατομής.
Σημειώνεται ότι σε περίπτωση διατομής μορφής πλακοδοκού ή πλάκας ισχύουν αναλογικά τα αναφερόμενα στο παρόν κεφάλαιο.
6.6.2. Αρμοί διακοπής εργασίας
Η επικρατούσα άποψη είναι ότι ο αρμός διακοπής εργασίας στη φάση σκυροδέτησης του βήματος προώθησης πρέπει να προβλέπεται στην περιοχή συναρμογής της πάνω πλάκας με τους κορμούς του κιβωτίου. Υπέρ της άποψης αυτής συνηγορούν:
(α) Η σκυροδέτηση των κορμών και της κάτω πλάκας του κιβωτίου στο πρώτο μισό της εβδομάδας κατασκευής του βήματος προώθησης και η σκυροδέτηση της πάνω πλάκας στο δεύτερο μισό, είναι πολύ ευνοϊκή από την άποψη της εξέλιξης της όλης διαδικασίας.
(β) Ο διαχωρισμός του εσωτερικού ξυλότυπου σ' ένα ξεχωριστό τμήμα (πάνω σε φορείο) για την πάνω πλάκα και ένα άλλο για τους κορμούς του κιβωτίου, επιτρέπει την καλύτερη προσαρμογή των διαφόρων τμημάτων του ξυλότυπου στις ειδικές θέσεις με ενισχύσεις των διατομών.
(γ) Η θερμοκρασιακή διαφορά η οποία αναπτύσσεται μεταξύ των κορμών του κιβωτίου και της πάνω πλάκας κατά τη διάρκεια της πήξεως του σκυροδέματος είναι ιδιαίτερα μικρή επειδή ο ρυθμός έκλυσης θερμότητας από τους κορμούς, λόγω του μεγαλυτέρου πάχους και της κάλυψης των με τον ξυλότυπο, είναι ιδιαίτερα βραδύς. Το γεγονός αυτό έχει πιστοποιηθεί πολλές φορές με μετρήσεις, όπως χαρακτηριστικά φαίνεται και στο διάγραμμα 5.6.6.2.γ.
Διάγραμμα 5.6.6.2.γ
6.6.3. Κορμοί κιβωτίου
(1) Ιδιαίτερη προσοχή απαιτείται στο σχεδιασμό των κάτω πλευρών των κορμών κιβωτίου, διότι καθ' όλο το μήκος της γέφυρας κατά τη διάρκεια της προώθησης πρέπει να αναλαμβάνουν τις αναπτυσσόμενες αντιδράσεις.
(2) Όπως αναγράφεται στο εδάφιο (2) της παραγράφου 6.4.3, η διαστασιολόγηση των πλακών προώθησης γίνεται με τάση 13 Ν/mm2. Συνιστάται οι αναπτυσσόμενες στην κάτω πλευρά του κορμού θλιπτικές τάσεις να μην υπερβαίνουν το όριο αυτό, λόγω των εκκεντρότητων που υπεισέρχονται στην εγκάρσια διεύθυνση από κατασκευαστικές ανοχές.
(3) Οι αντιδράσεις στήριξης του φορέα θα πρέπει να εισάγονται σε ικανοποιητική απόσταση από την εξωτερική παρειά του κορμού. Η απόσταση αV της πλάκας προώθησης από την εξωτερική παρειά του κορμού, δεν θα πρέπει να υπολείπεται των 100 mm, ήτοι αV ≥ 100 mm (βλέπε σχήμα 5.6.6.3.(3)).

Σχήμα 5.6.6.3.(3)
(4) Η απόσταση αH των περιβλημάτων των τενόντων προέντασης από την κάτω παρειά των κορμών του κιβωτίου δεν πρέπει να υπολείπεται των 150 mm, ήτοι αH ≥ 150 mm (βλέπε σχήμα 5.6.6.3.(3)). Τονίζεται ότι στους τένοντες της έκκεντρης προέντασης δεν έχει γίνει τσιμεντένεση κατά τη φάση της προώθησης, γεγονός που μπορεί να οδηγήσει σε τοπικές θραύσεις αν δεν τηρηθεί η προαναφερθείσα απόσταση. Τονίζεται επίσης ότι κατά τη διαστασιολόγηση της περιοχής αυτής του κορμού θα πρέπει να ληφθεί υπόψη η σημειούμενη στο σχήμα 5.6.6.3.(3) εκκεντρότητα e, καθώς επίσης και η απομείωση της διατομής λόγω μη τσιμεντένεσης των τενόντων της έκκεντρης προέντασης.
Το κατώτερο μέρος των κορμών, σε ύψος 400 έως 500 mm, διαμορφώνεται με μεγαλύτερη κλίση από το υπόλοιπο τμήμα, ώστε να μειωθούν οι εκκεντρότητες των αντιδράσεων αφ' ενός και για να υπάρχει ικανοποιητική απόσταση των πλακών προώθησης αφ' ετέρου.
Σημειώνεται ότι για την αφαίρεση του ξυλότυπου μόνο με καταβιβασμό, όπως αναφέρεται στο εδάφιο (2) της παραγράφου 6.4.5, απαιτείται τουλάχιστον κλίση 10% έναντι της κατακόρυφου.
Σε περίπτωση διάταξης των τενόντων της έκκεντρης προέντασης εκτός των κορμών του κιβωτίου (εξωτερική προένταση), η περιοχή αυτή του κορμού γίνεται ανθεκτικότερη και το πάχος των δοκών μικρότερο (βλέπε σχήμα 5.6.6.3.(4)).

Σχήμα 5.6.6.3.(4)
6.6.4. Κάτω πλάκα κιβωτίου
(1) Το πάχος D της κάτω πλάκας στη συναρμογή της με τους κορμούς του κιβωτίου καθορίζεται με βάση τις απαιτήσεις της διάταξης σύνδεσης των τενόντων προέντασης (βλέπε σχήμα 5.6.6.4.(1)α).
Σημειώνεται ότι η ενίσχυση της κάτω πλάκας στην περιοχή σύνδεσης των τενόντων προέντασης, σε αντίθεση με ότι συμβαίνει στην πάνω πλάκα του κιβωτίου, γίνεται μόνο τοπικά. Για τη διευκόλυνση όμως του ξυλότυπου του κορμού, το πάχος D είναι σταθερό καθ' όλο το μήκος του βήματος.
(2) Μία άλλη παραλλαγή της διαμόρφωσης της κάτω πλάκας φαίνεται στο σχήμα 5.6.6.4.(1)β, η οποία έχει το πλεονέκτημα της επίπεδης διαμόρφωσης της εσωτερικής επιφανείας της, ο καθορισμός όμως της διάστασης D γίνεται με βάση τις απαιτήσεις στη δυσμενέστερη σύνδεση τενόντων.

Σχήμα 5.6.6.4.(1)α

Σχήμα 5.6.6.4.(1)β
6.7. Διάταξη προέντασης
6.7.1. Γενικά
(1) Τονίζεται ότι για την απρόσκοπτη εφαρμογή της μεθόδου προώθησης, όπως και των άλλων μηχανοποιημένων μεθόδων κατασκευής γεφυρών, απαιτείται η πλήρης συμβατότητα κατασκευαστικών λεπτομερειών. Είναι τελείως απαραίτητο επικαλύψεις οπλισμών, αποστάσεις και διατάξεις χαλαρών οπλισμών, μεγέθη τενόντων προέντασης, διατάξεων αγκύρωσης, διαστάσεις πρεσών επιβολής της δύναμης προέντασης, να είναι πλήρως εναρμονισμένες μεταξύ τους.
(2) Ιδιαίτερη προσοχή πρέπει να δίνεται στις διαστάσεις των πρεσών επιβολής της δύναμης προέντασης που θα χρησιμοποιηθούν σε σχέση με τη θέση του ξυλότυπου στη μονάδα παραγωγής (βλέπε σχήμα 5.6.7.1.(2)).

Σχήμα 5.6.7.1.(2)
(3) Ιδιαίτερη προσοχή πρέπει να δίνεται επίσης στις αποστάσεις των διατάξεων αγκύρωσης των τενόντων από τα άκρα της διατομής. Η συνηθισμένη ποιότητα σκυροδέματος του φορέα των γεφυρών που κατασκευάζονται με τη μέθοδο της προώθησης είναι Β 45. Η σκυροδέτηση της πάνω πλάκας γίνεται την Παρασκευή, ενώ η επιβολή της κεντρικής προέντασης τη Δευτέρα (βλέπε και παράγραφο 5.6.9). Η αναπτυσσόμενη αντοχή του σκυροδέματος στο χρονικό αυτό διάστημα κυμαίνεται, ανάλογα και με το είδος του τσιμέντου το οποίο χρησιμοποιείται, από 30 έως 35 Ν/mm2. Σημειώνεται ότι η επιτρεπόμενη αντοχή σύμφωνα με την παράγραφο 5 του DIN 4227/1988, Μέρος 1, για την επιβολή της προέντασης είναι 40 Ν/mm2. Θα πρέπει επομένως οι υπολογισμοί οι σχετικοί με την κεντρική προένταση, αποστάσεις αγκυρώσεων κ.λ.π., να γίνονται σαν η ποιότητα σκυροδέματος να είναι Β35 (Επιτρεπόμενη αντοχή σύμφωνα με την παράγραφο 5 του DIN 4227/1988,Μέρος 1 για την επιβολή της προέντασης ποιότητος Β35 είναι 32 Ν/mm2).
(4) Για το βαθμό προέντασης ισχύει επίσης:
α) Γενικά στις γέφυρες: Σύμφωνα με το εδάφιο (2) της παραγράφου 10.1.2 του DIN 4227/1988, Μέρος 1, στις γέφυρες και για την περίπτωση φόρτισης μόνιμα + προένταση + 1/2 κινητά + ερπυσμός + συστολή πήξης, δεν επιτρέπονται εφελκυστικές τάσεις.
β) Ειδικά για τους αρμούς εργασίας: Σύμφωνα με το εδάφιο (1) της παραγράφου 10.3 του DIN 4227/88, Μέρος 1, στις θέσεις των αρμών εργασίας (αρμοί μεταξύ των σπονδύλων) οι επιτρεπόμενες εφελκυστικές τάσεις ανέρχονται στο μισό των επιτρεπομένων εφελκυστικών τάσεων των παραγράφων 10.1.1 και 10.1.2 του προαναφερθέντος κανονισμού και ότι για την περίπτωση φόρτισης προένταση + μόνιμα + συστολή λόγω πήξεως + ερπυσμός δεν επιτρέπεται η ανάπτυξη εφελκυστικών τάσεων.
Σημειώνεται ότι σύμφωνα με την παράγραφο 12.2.7 του ΖΤV-K/96, εφόσον οι χαλαροί οπλισμοί οι οποίοι διασταυρώνουν τον αρμό έχουν διάμετρο dS ≥ 10 mm και μεγίστη απόσταση s = 10 cm δεν έχει ισχύ το εδάφιο (1) της παραγράφου 10.3 του DIN 4227/1988, Μέρος 1 όσον αφορά τις φάσεις κατασκευής.
6.7.2 Κεντρική προένταση
(1) Σαν κεντρική προένταση χαρακτηρίζεται το σύνολο των ευθυγράμμων τενόντων, τα οποία είναι απαραίτητα κατά τη φάση της προώθησης της γέφυρας. Επιδιώκεται η σύμπτωση του κέντρου βάρους των δυνάμεων που επιβάλλονται με τους τένοντες αυτούς με το κέντρο βάρος της διατομής, εξ ου και η προέλευση της ονομασίας της.
(2) Κατ' αναλογία του λόγου των ροπών στήριξης προς τις ροπές ανοίγματος (βλέπε σχήμα 5.6.10.2.(1)) και του λόγου των ροπών αντίστασης της διατομής, αμφοτέρων περίπου 2:1, προκύπτει για την πάνω πλάκα του κιβωτίου διπλάσια απαιτούμενη δύναμη προέντασης σε σχέση με την κάτω πλάκα. Για την ορθολογική διάταξή τους επιλέγεται άρτιος αριθμός τενόντων (βλέπε σχήμα 5.6.7.2.(2)).

Σχήμα 5.6.7.2.(2)
(3) Στο σχήμα 5.6.7.2.(3) δίνεται παράδειγμα διάταξης των τενόντων της κεντρικής προέντασης σε συσχετισμό με την όλη εξέλιξη διαδοχικών βημάτων προώθησης. Στο παράδειγμα αυτό έχουμε ένωση μόνο του 50% των τενόντων, δηλαδή σε κάθε βήμα προεντείνεται το 50% των τενόντων, ενώ το 50% διέρχεται ελεύθερα προεντεινόμενο στο επόμενο βήμα. Τα πλεονεκτήματα της διάταξης αυτής είναι:
α) Τα προκύπτοντα μήκη των τενόντων προέντασης κυμαινόμενα από 40 m - 60 m είναι ευνοϊκά.
β) Μεγαλύτερος αριθμός ενώσεων συνεπάγεται ανεπιθύμητες ενισχύσεις της διατομής του σκυροδέματος.
γ) Ευνοϊκή κατανομή των τάσεων που αναπτύσσονται στους αρμούς.
Σημειώνεται ότι η διάταξη αυτή συνεπάγεται ότι κατά το τελευταίο βήμα προώθησης μόνο οι μισοί τένοντες, σε σχέση με τα υπόλοιπα βήματα, είναι διαθέσιμοι, πράγμα το οποίο πρέπει να ληφθεί υπόψη στον όλο σχεδιασμό της μονάδας παραγωγής, θέσεως της συσκευής προώθησης κ.λ.π.

Σχήμα 5.6.7.2.(3)
6.7.3 Έκκεντρη προένταση
(1) Σε αντίθεση με τους τένοντες της κεντρικής προέντασης, οι τένοντες της έκκεντρης προέντασης λαμβάνουν τη συνήθη παραβολική μορφή των τενόντων συνεχών φορέων, δηλαδή η χάραξή τους θα ανταποκρίνεται στο διάγραμμα ροπών υπό τα φορτία λειτουργίας (βλέπε σχήμα 5.6.7.3.(1)).
Σκοπός της είναι η παραλαβή των φορτίων τα οποία επιβάλλονται στο φορέα μετά το πέρας της προώθησης, δηλαδή πλευρικές διαμορφώσεις, ασφαλτικές στρώσεις, κινητά φορτία. Η εισαγόμενη στη φάση αυτή πρόσθετη δύναμη προέντασης απαιτείται στις στηρίξεις και στα μέσα των ανοιγμάτων, καθώς οι ενδιάμεσες περιοχές έχουν ήδη καλυφθεί με την κεντρική προένταση.

Σχήμα 5.6.7.3.(1)
(2) Στη συντριπτική πλειοψηφία των γεφυρών οι οποίες έχουν κατασκευασθεί με τη μέθοδο της προώθησης οι τένοντες της έκκεντρης προέντασης τοποθετούνται μέσα στους κορμούς του κιβωτίου. Κατά κανόνα, τα περιβλήματα των τενόντων τοποθετούνται χωρίς τον οπλισμό προέντασης και απαιτείται ιδιαίτερη προσοχή για την αποφυγή εισόδου τσιμεντοκονίας, νερού κ.λ.π. Μετά την ολοκλήρωση της διαδικασίας προώθησης, γίνεται εισαγωγή εντός των περιβλημάτων του οπλισμού προέντασης (ενσυρμάτωση) από τις θέσεις τοπικών ενισχύσεων των κορμών του κιβωτίου, οι οποίες κατασκευάζονται στα τέταρτα των ανοιγμάτων (βλέπε επίσης σχήμα 5.6.7.3.(1)).
Το μέγιστο μήκος εισαγωγής του οπλισμού προέντασης είναι περίπου 150 m και καλύπτει πάνω από δύο ή τρία ανοίγματα.
Σε περίπτωση ίσων, όχι μεγάλου μήκους, ανοιγμάτων, είναι δυνατή η προένταση των τενόντων της έκκεντρης προέντασης κατά τη φάση της προώθησης (βλέπε σχήμα 5.6.7.3.(2)).

Σχήμα 5.6.7.3.(2)
(3) Η πλέον σύγχρονη τάση η οποία διαμορφώνεται, είναι η χρήση εξωτερικής προέντασης. Στην περίπτωση αυτή οι τένοντες διατάσσονται εκτός των κορμών του κιβωτίου, η αλλαγή δε της διεύθυνσής τους γίνεται με τη βοήθεια καταλλήλων νευρώσεων (βλέπε σχήμα 5.6.7.2.(3)).

Σχήμα 5.6.7.3.(3)
(4) Σημειώνεται ότι η επιβολή της έκκεντρης προέντασης γίνεται συνήθως μετά την αντικατάσταση των εφεδράνων που χρησιμοποιούνται κατά την προώθηση με τα οριστικά εφέδρανα της γέφυρας.
6.8. Προώθηση
6.8.1. Συντελεστής τριβής
(1) Ο συντελεστής τριβής, ο αναπτυσσόμενος μεταξύ του γρύλου ανύψωσης και του φύλλου ολίσθησης (βλέπε σχήμα 5.6.4.1.(1)), εξαρτάται από την ασκούμενη μέση πίεση έδρασης (μειώνεται όσο η πίεση αυξάνεται), την ποιότητα κατεργασίας (ανοχή 1 μm), την καλή λίπανση και την εξωτερική θερμοκρασία (η υψηλή θερμοκρασία μειώνει το συντελεστή, η χαμηλή τον αυξάνει).
(2) Από άποψη κανονισμού λαμβάνονται υπόψη ακραίες κανονιστικές τιμές 0% και 4%. Εύλογη τιμή με ομαλές συνθήκες 2%. Ο συντελεστής τριβής είναι αυξημένος κατά την εκκίνηση, μειούμενος αμέσως κατά την προώθηση.
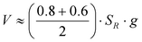
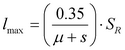
6.8.2. Δύναμη προώθησης - Μέγιστο μήκος προώθησης
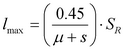
(1) Λαμβάνοντας υπόψη συντελεστή τριβής μεταξύ της πάνω πλάκας του γρύλου ανύψωσης και της κάτω επιφανείας του προς ώθηση φορέα 0,75 (βλέπε σχήμα 5.6.4.1.(1)) και συντελεστή ασφαλείας γ=1,4, η μεγίστη δυναμένη να αναπτυχθεί δύναμη προώθησης είναι:

Όπου V η κατακόρυφη δύναμη η οποία δρα στον γρύλο ανύψωσης
Λαμβάνοντας υπόψη τη διάταξη του σχήματος 5.6.8.2.(1), προκύπτει ότι:

όπου g το ανά τρέχον μέτρο βάρος του φορέα και συνεπώς ΗΠΡ = 0,35 x SR x g (1)
Για κατά μήκος κλίση της ερυθράς του φορέα s, συντελεστή τριβής στα εφέδρανα προώθησης μ, μέγιστο δυνάμενο να προωθηθεί μήκος lmax, η απαιτούμενη δύναμη προώθησης προκύπτει:
(2)
Από την εξίσωση των (1) και (2) προκύπτει ότι:
(3)
όπου SR το μήκος του τυπικού ανοίγματος.
π.χ. για SR = 40 m, μ = 2% , s = 1,5%, προκύπτει lmax = 500 m.
Εφόσον ο προωθητήρας τοποθετηθεί στο 1° μεσόβαθρο το μήκος προώθησης αυξάνεται σε:


Σχήμα 5.6.8.2.(1)
(2) Για μία γρήγορη εκτίμηση του μεγίστου μήκους προώθησης, άρα και του μήκους της γέφυρας, δίνεται στο παρακάτω διάγραμμα 5.6.8.2.(2) η γραφική παράσταση της εξίσωσης (3) του προηγουμένου εδαφίου (1) για μήκη ανοιγμάτων SR = 40, 50, 60 m και για διάφορες τιμές μ+s.
Για περιπτώσεις γεφυρών μήκους μεγαλυτέρου των 600 m, μπορεί να εφαρμοσθεί η προώθηση και από τα δύο ακρόβαθρα. Με τον τρόπο αυτό είναι δυνατή η κατασκευή γεφυρών μήκους της τάξεως των 1200 m.
Διάγραμμα 5.6.8.2.(2)
6.9. Εβδομαδιαίος κύκλος εργασιών
Ένας τυπικός εβδομαδιαίος κύκλος μπορεί να είναι ως εξής:
1η ημέρα
|
Προένταση καλωδίων κεντρικής προέντασης
Καταβιβασμός ξυλότυπου
Προώθηση φορέως κατά ένα βήμα
Καθαρισμός και επανατοποθέτηση εξωτερικού ξυλότυπου
|
2η ημέρα
|
Τοποθέτηση οπλισμού πυθμένα και κορμών
Τοποθέτηση εσωτερικού ξυλότυπου
|
3η ημέρα
|
Σκυροδέτηση κάτω πλάκας και κορμών
|
4η ημέρα
|
Απομάκρυνση εσωτερικού ξυλότυπου
Τοποθέτηση ξυλότυπου οροφής
Τοποθέτηση οπλισμού πλάκας κυκλοφορίας
|
5η ημέρα
|
Ολοκλήρωση οπλισμού πλάκας κυκλοφορίας
Σκυροδέτηση πλάκας κυκλοφορίας
|
6η & 7η ημέρα
|
Σκλήρυνση σκυροδέματος
|
Προφανώς στον παραπάνω κύκλο μπορούν να υπάρξουν αλλαγές, ανάλογα προς το διαθέσιμο εργατοτεχνικό δυναμικό.
6.10. Θέματα προδιαστασιολόγησης
6.10.1. Προδιαστασιολόγηση διατομής

Σχήμα 5.6.10.1
Ύψος διατομής
(οδικές γέφυρες)
Πάνω πλάκα 
Κάτω πλάκα 
Κορμοί: Εσωτερική Προένταση 
Εξωτερική Προένταση 
Μέσο πάχος tm = 0,25 + (SR / 110) (οδικές γέφυρες)
Χάλυβας προέντασης 40 ~ 45 kg/m3 οδικές
Χαλαρός οπλισμός 110 ~ 120 kg/m3 οδικές
6.10.2. Ιδιαιτερότητες υπολογισμού
(1) Κατά τη φάση της προώθησης σε κάθε διατομή εμφανίζονται θετικές και αρνητικές ροπές. Οι αρνητικές είναι χονδρικά διπλάσιες από τις θετικές. Για το τυπικό τμήμα της γέφυρας και για σταθερό μόνιμο φορτίο g και ίσα ανοίγματα μπορεί να λεχθεί ότι:
max M ~ g*SR2/22
min M ~ g*SR2/11

Σχήμα 5.6.10.2.(1)
(2) Στο πρόσθιο τμήμα της γέφυρας και οι δύο ροπές είναι αυξημένες. Η μεγίστη αρνητική ροπή στο φορέα παρουσιάζεται τη στιγμή που ο πρόβολος βρίσκεται μεταξύ των στηριγμάτων i και i + 1, πριν ακριβώς προσεγγίσει το i + 1 (ροπή προβόλου). Είναι προφανές ότι η ροπή αυτή συναρτάται με το βάρος και το μήκος του προβόλου.
Η κρίσιμη αρνητική ροπή κατά την προώθηση είναι: min M = λ*g*SR2/12
όπου: λ= 6*α2 + 6 γ (1 - α2), g* το ανά τρέχον μέτρο βάρος του ρύγχους και γ= g*/ g (βλέπε σχήμα 5.6.10.2.(2))

Σχήμα 5.6.10.2.(2)
(3) Αντίθετα, η μεγίστη θετική ροπή παρουσιάζεται σε μία απόσταση ~ 0,4 SR τη στιγμή δηλαδή που ο φορέας έχει ήδη καλύψει το άνοιγμα μεταξύ i+ και i+1 (που λειτουργεί προσωρινά ως ακραίο άνοιγμα συνεχούς δοκού), δεχόμενος μία ανακουφιστική αρνητική ροπή στο στήριγμα i+1 προερχόμενη από το βάρος του προβόλου. Και στις δύο περιπτώσεις, η ακαμψία του προβόλου δεν παίζει ρόλο.
Η κρίσιμη θετική ροπή κατά την προώθηση είναι: max M = λ * g * SR2 / 24
όπου λ = 1,866 - 5,92 * γ * β2. (Βλέπε σχήμα 5.6.10.2.(3))
(4) Στον πίνακα 5.6.10.2.(4) για λόγο βαρών (ανά μέτρο μήκους) ρύγχους προς φορέα γ=0,10 και για διάφορα ποσοστά β μήκους ρύγχους προς το μήκος SR του τυπικού ανοίγματος, δίνονται οι αντίστοιχες τιμές min M και max M κατά τη φάση της προώθησης.

Σχήμα 5.6.10.2.(3)
Πίνακας 5.6.10.2.(4)
γ = 0,10
|
α
|
β
|
min M
|
max M
|
50%
|
50%
|
-1,95 g SR2 / 12
|
+ 1,72 g SR2 / 24
|
40%
|
60%
|
-1,46
|
+ 1,66
|
30%
|
70%
|
-1,09
|
+ 1,58
|
20%
|
80%
|
-0,82
|
+ 1,48
|
(5) Τονίζεται ότι οι επιτρεπόμενες εφελκυστικές τάσεις κατά τη φάση της κατασκευής είναι μικρότερες των αντιστοίχων του σταδίου λειτουργίας και μάλιστα κατά 0,50 Ν/mm2 για την αντιμετώπιση θερμοκρασιακών δράσεων, καθώς και των απλοποιητικών παραδοχών για τον ερπυσμό (Βλέπε DIN 4227/1988, Μέρος 1, παράγραφος 15.1,εδάφιο (3)).
(6) Σημειώνεται ότι η ανομοιομορφία των μηκών των ανοιγμάτων μιας γέφυρας επηρεάζει κατά τρόπο δυσμενή τη διαστασιολόγηση του φορέα. Η παρεμβολή, π.χ. ενός μεσαίου ανοίγματος μήκους 58 m, σε μία σειρά ανοιγμάτων μήκους 48 m, έχει σαν αποτέλεσμα την υπερδιαστασιολόγηση όλων των διατομών οι οποίες κατά τη φάση της προώθησης διέρχονται από το άνοιγμα των 58 m.
6.11. Κατασκευαστικές ανοχές - αποκλίσεις εφεδράνων
(1) Προϋπόθεση εφαρμογής και επιτυχίας της μεθόδου είναι η εξαιρετικά αυστηρή τήρηση της γεωμετρίας.
(2) Για να ληφθούν υπόψη οι κατασκευαστικές ανακρίβειες, η γέφυρα ελέγχεται υποχρεωτικά λαμβάνοντας υπόψη αποκλίσεις του φορέα, κατά την κατακόρυφο και την οριζόντια από τη θεωρητική θέση, σε κάθε άξονα έδρασης τουλάχιστον ± 0,5 cm.
(3) Κατά την εγκάρσια διεύθυνση του φορέα θα λαμβάνεται υπόψη τουλάχιστον στροφή ± προκύπτουσα από την υψομετρική διαφορά γειτονικών εφεδράνων του αυτού άξονα έδρασης, όπως παρακάτω:
0,3 cm για απόσταση εφεδράνων ≤ 2,0 m
0,8 cm για απόσταση εφεδράνων ≤ 12,0 m
Για ενδιάμεσες αποστάσεις ισχύει γραμμική παρεμβολή
(4) Οι τιμές οι αναφερόμενες στα παραπάνω εδάφια (2) και (3) θα πρέπει να αυξηθούν ανάλογα, αν δεν μπορούν να εξασφαλισθούν κατά τρόπο άψογο ανοχές μετρήσεων ± 1,0 mm, ± 0,50 mm στην εγκάρσια διεύθυνση, καθώς και ανοχές ± 1,0 mm στη μονάδα παραγωγής από το φορτίο του νωπού σκυροδέματος.
(5) Η υψομετρική θέση των εφεδράνων προώθησης θα ελέγχεται συνεχώς. Αποκλίσεις μεγαλύτερες των 3 mm από τη θεωρητική θέση, θα αναιρούνται χωρίς καθυστέρηση.
(6) Οι προκύπτουσες από τις προαναφερθείσες κατασκευαστικές ανακρίβειες δράσεις θα συνδυάζονται με τις υπόλοιπες περιπτώσεις φόρτισης στο δυσμενέστερο συνδυασμό.
(7) Για τη ζώνη σκυροδέτησης και προώθησης και για τις προσωρινές και οριστικές στηρίξεις, ο έλεγχος γεωμετρίας ορίζεται: f < L / 500, όπου f και L το κατακόρυφο βέλος και το μήκος του ξυλότυπου αντίστοιχα (π.χ. για L = 25,00 m = 25000 mm, προκύπτει f < 5 mm). Για καμπύλους φορείς το όριο αυτό διπλασιάζεται.
(8) Ορίζονται περιορισμοί στις επιτρεπόμενες τάσεις των χαλύβων υψηλής αντοχής για τα βοηθητικά συρματόσχοινα και συγκεκριμένα στο 50% του ορίου θραύσης για τα συρματόσχοινα εφελκυσμού κατά την προώθηση και στο 30% του ορίου θραύσης για τα συρματόσχοινα συγκράτησης της κεφαλής των βάθρων (που χρησιμοποιούνται σε περιπτώσεις υψηλών βάθρων).
(9) Οι κατασκευαστικές ανακρίβειες του φορέα στην περιοχή των εφεδράνων θα λαμβάνονται υπόψη μέσω παραδοχής ιδεατής στροφής ± 1 ‰ κατά τη διαμήκη και εγκάρσια διεύθυνση της περιοχής έδρασης του φορέα έναντι της πάνω επιφανείας του εφεδράνου. Η προκύπτουσα αύξηση των τάσεων θα λαμβάνεται υπόψη κατά τη διαστασιολόγηση.
(10) Υπολογιστικά οι κατασκευαστικές ανακρίβειες θα λαμβάνονται υπόψη σαν πιθανές μετακινήσεις του εδάφους. Μείωση των φορτίων διατομής από καταναγκασμούς λόγω ερπυσμού δεν θα ληφθεί υπόψη μέχρι το τέλος της διαδικασίας προώθησης.
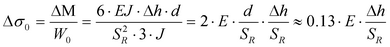
(11) Στο παρακάτω παράδειγμα φαίνεται χαρακτηριστικά η επίδραση την οποία έχει στο φορέα η υψομετρική απόκλιση 1 cm του εφεδράνου από την θεωρητική του θέση.

Σχήμα 5.6.11.(11)
Μεγίστη ροπή συνεχούς δοκού: 
(βλέπε σχήμα 5.6.11.(9))


Για SR = 40 m, Δh = 0,01 m, E = 34000 N/mm2 » Δ σ0 = 1,1 N/mm2 Δ σU = 2,2 N/mm2.
6.12. Μέτρα ασφαλείας
(1) Για την εξασφάλιση έναντι μιας χωρίς έλεγχο ολίσθησης του φορέα, θα υπάρχουν διατάξεις πέδησης σε κάθε φάση της κατασκευής. Όλως ιδιαίτερη προσοχή απαιτείται σε περίπτωση κατά μήκος κλίσεως.
(2) Θα προβλέπεται αυτόματη διακοπή προώθησης εφόσον η τριβή υπερβεί τα προκαθορισμένα όρια.
(3) Διακοπή ρεύματος δεν θα θέτει εκτός λειτουργίας τις διατάξεις ασφαλείας.
6.13. Πλεονεκτήματα - μειονεκτήματα της μεθόδου
(1) Τα πλεονεκτήματα της μεθόδου είναι:
| • | Πλήρης κατάργηση ικριωμάτων (πλην βοηθητικών βάθρων σε ανοίγματα > 60 m). Ιδιαίτερα σημαντικό σε δυσμενείς τοπογραφικές ή κυκλοφοριακές συνθήκες. |
| • | Μικρό κόστος εξοπλισμού και ξυλότυπων |
| • | Τυποποιημένη βιομηχανική παραγωγή με δυνατότητα κατασκευής 20 έως 25 m ανά εβδομάδα |
| • | Σημαντική ανεξαρτητοποίηση από καιρικές συνθήκες |
| • | Σημαντικά μειωμένο κόστος παραγωγής (4 h/m3 σκυροδέματος, μη περιλαμβανομένης της εργασίας οπλισμού και προεντάσεως) |
| • | Υψηλή ποιότητα κατασκευής χάρη στην τυποποίηση |
| • | Αυξημένη ανθεκτικότητα και ασφάλεια λόγω της ισχυρής κεντρικής προέντασης |
| • | Αυξημένη ασφάλεια σε απρόβλεπτες δράσεις |
(2) Τα μειονεκτήματα της μεθόδου είναι:
| • | Δεν εφαρμόζεται σ' όλες τις χαράξεις |
| • | Αυξημένη ανάλωση χάλυβα προέντασης |
| • | Αυστηρές απαιτήσεις γεωμετρίας |
| • | Αδυναμία επιτάχυνσης της κατασκευής |
7. Μέθοδος προκατασκευασμένων δοκών
7.1. Γενικά
(1) Είναι μέθοδος η οποία χρησιμοποιείται στην Ευρώπη από την προ του Β' παγκοσμίου πολέμου εποχή. Στη Γερμανία π.χ. η πρώτη γέφυρα με προκατασκευασμένες/ προεντεταμένες δοκούς, ανοίγματος 33 m, κατασκευάστηκε το 1938 (βλέπε σχήμα 5.7.1.(1)), η βιομηχανική όμως παραγωγή προκατασκευασμένων στοιχείων για τη γεφυροποιία είναι θέμα της δεκαετίας του 1960.
(2) Στη χώρα μας η μέθοδος αυτή χρησιμοποιείται από αρκετά χρόνια (είναι η περισσότερο εφαρμοζόμενη μέθοδος από τις περιλαμβανόμενες στο κεφάλαιο αυτό) με προβαλλόμενα επιχειρήματα τον περιορισμό χρήσης ικριωμάτων και τη συντόμευση του χρόνου κατασκευής της γέφυρας.
Στην εικόνα 5.7.1.(2) απεικονίζεται μία από τις σημαντικότερες γέφυρες που κατασκευάσθηκαν με τη μέθοδο αυτή Ελλάδα, η γέφυρα Ρυμνίου. Η επικρατούσα πρακτική συνίσταται στην προκατασκευή των δοκών στο εργοτάξιο και στην κατασκευή της πλάκας κυκλοφορίας με χρήση προπλακών. Από στατική άποψη κατασκευάζονται αποκλειστικά αμφιέρειστοι φορείς με πλάκες συνέχειας καταστρώματος για τον περιορισμό των αρμών.

Σχήμα 5.7.1.(1)

Εικόνα 5.7.1.(2)
(3) Στον πίνακα 5.7.1.(3) δίνονται οι ανηγμένες στο m2 της επιφανείας γέφυρας αναλώσεις σκυροδέματος χαλαρού οπλισμού και οπλισμού προέντασης, της οποίας ο φορέας έχει μελετηθεί και για την περίπτωση προκατασκευασμένων δοκών και για την περίπτωση έγχυτου σκυροδέματος.
Πίνακας 5.7.1.(3)

7.2. Συστήματα προκατασκευής
(1) Ανάλογα με το σύστημα δόμησης το οποίο εφαρμόζεται διακρίνονται:
α) Σύστημα αμιγούς συναρμολόγησης προκατασκευασμένων στοιχείων το οποίο συνίσταται στη σύνδεση δοκών μόνο με εγκάρσια προεντεταμένα καλώδια και με χρήση κονιάματος στους αρμούς μεταξύ των δοκών χωρίς έγχυτη πλάκα επί τόπου.
β) Μικτό σύστημα προκατασκευής το οποίο συνίσταται στη σύνδεση των προκατασκευασμένων δοκών με έγχυτο επί τόπου σκυρόδεμα. Του συστήματος αυτού, ανάλογα με την απόσταση στην οποία τοποθετούνται οι προκατασκευασμένοι δοκοί, υπάρχουν δύο παραλλαγές:
| • | Στο κλασσικό μικτό σύστημα, στο οποίο οι προκατασκευασμένοι δοκοί τοποθετούνται ο ένας δίπλα στον άλλο και ακολούθως γίνεται η σκυροδέτηση των διαδοκίδων στις θέσεις των στηρίξεων και της πλάκας αφού έχουν καλυφθεί οι αρμοί μεταξύ των προκατασκευασμένων δοκών με κατάλληλα ταινία. |
| • | Στο μικτό σύστημα, κατά το οποίο οι δοκοί τοποθετούνται σε απόσταση μεταξύ τους και στη συνέχεια με τη βοήθεια καταλλήλου ξυλότυπου γίνεται η σκυροδέτηση της πλάκας κυκλοφορίας. |
γ) Σύστημα πλήρους προκατασκευής κατά την οποία από βάθρο σε βάθρο τοποθετείται μόνο ένα προκατασκευασμένο στοιχείο.
(2) Ανάλογα με τα διατιθέμενα μέσα για την τοποθέτηση επί των βάθρων των προκατασκευασμένων δοκών διακρίνονται:
| • | Απλή προκατασκευή κατά την οποία γίνεται χρήση συνήθων γερανών |
| • | Ειδική προκατασκευή κατά την οποία η δόμηση επιτυγχάνεται με ειδικά μηχανήματα και διατάξεις |
7.2.1. Σύστημα αμιγούς συναρμολόγησης προκατασκευασμένων στοιχείων
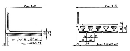
(1) Στα σχήματα 5.7.2.1(1)α, β, γ, δ, ε και στ, καθώς και στον πίνακα 5.7.2.1(1), δίνονται διάφορες μορφές φορέων και στοιχεία γεφυρών, αντιστοίχως δομημένων με το σύστημα αυτό.
(2) Η μέθοδος αυτή, λόγω των πολλών μειονεκτημάτων τα οποία σχετίζονται με την απουσία χαλαρού οπλισμού στους πολυάριθμους αρμούς και στη μη δυνατότητα αποκατάστασης της συνέχειας στην περίπτωση γεφυρών με πολλά ανοίγματα, δεν είναι δόκιμη για την κατασκευή οδικών γεφυρών.
Σχήμα 5.7.2.1.(1)α

Σχήμα 5.7.2.1.(1)β

Σχήμα 5.7.2.1.(1)γ

Σχήμα 5.7.2.1.(1)δ

Σχήμα 5.7.2.1.(1)ε

Σχήμα 5.7.2.1.(1)στ

Πίνακας 5.7.2.1.(1)

7.2.2. Μικτό σύστημα προκατασκευής
7.2.2.1 Κλασσικό μικτό σύστημα προκατασκευής
(1) Όπως προαναφέρθηκε, στο κλασσικό μικτό σύστημα οι προκατασκευασμένες δοκοί τοποθετούνται δίπλα στην άλλη και ακολούθως γίνεται η σκυροδέτηση των διαδοκίδων στις θέσεις των στηρίξεων και της πλάκας, αφού έχουν καλυφθεί οι αρμοί μεταξύ των προκατασκευασμένων δοκών με κατάλληλα ταινία.
(2) Το σύστημα αυτό παρουσιάζει τα εξής πλεονεκτήματα:
| • | Πλάκα κυκλοφορίας χωρίς αρμούς |
| • | Ακρίβεια στην τήρηση των υψομέτρων (άνεση στην κυκλοφορία) |
| • | Επιπεδότητα (εξασφάλιση καλής μόνωσης) |
| • | Εξασφάλιση ασφαλούς δαπέδου εργασίας (πυκνή διάταξη των δοκών) Απαιτούνται μόνο πλευρικά παραπέτα ασφαλείας |
| • | Απλή και εύκολη στεγανοποίηση των αρμών μεταξύ των δοκών |
(3) Στα σχήματα 5.7.2.2.1.(3)α, β, γ, δ, ε, στ, ζ, η, θ και ι, καθώς και στον πίνακα 5.7.2.2.1.(3), δίνονται διάφορες μορφές φορέων και στοιχεία γεφυρών αντιστοίχως δομημένων με το σύστημα αυτό.

Σχήμα 5.7.2.2.1.(3)α

Σχήμα 5.7.2.2.1.(3)β

Σχήμα 5.7.2.2.1.(3)γ
Σχήμα 5.7.2.2.1.(3)δ

Σχήμα 5.7.2.2.1.(3)ε


Σχήμα 5.7.2.2.1.(3)στ
Σχήμα 5.7.2.2.1.(3)ζ


Σχήμα 5.7.2.2.1.(3)η

Σχήμα 5.7.2.2.1.(3)θ

Σχήμα 5.7.2.2.1.(3)ι
Πίνακας 5.7.2.2.1.(3)

7.2.2.2 Μικτό σύστημα προκατασκευής με δοκούς σε απόσταση
(1) Κατά την παραλλαγή αυτή του μικτού συστήματος προκατασκευής, οι δοκοί τοποθετούνται σε αποστάσεις μεταξύ τους και η σκυροδέτηση της πλάκας κυκλοφορίας γίνεται με τη βοήθεια καταλλήλου ξυλότυπου (βλέπε σχήμα 5.7.2.2.2.(1)α) ή με πλάκες από ίνες τσιμέντου κ.λ.π. (βλέπε σχήμα 5.7.2.2.2.(1)β)


Σχήμα 5.7.2.2.2.(1)



Σχήμα 5.7.2.2.2.(1)β
(2) Στην Ελλάδα έχει επικρατήσει σχεδόν αποκλειστικά η κατασκευή της πλάκας κυκλοφορίας με τη χρήση προπλακών που φέρουν ενσωματωμένο τον πρωτεύοντα οπλισμό και συμπλήρωμα με επί τόπου σκυροδέτηση (βλέπε σχήμα 5.7.2.2.2.(2))

Σχήμα 5.7.2.2.2.(2)
(3) Στα σχήματα 5.7.2.2.2.(3)α, β, γ και δ καθώς, και στον πίνακα 5.7.2.2.2.(3), δίνονται διάφορες μορφές φορέων και στοιχεία γεφυρών αντιστοίχως δομημένων με το σύστημα αυτό.

Σχήμα 5.7.2.2.2.(3)α

Σχήμα 5.7.2.2.2.(3)β

Σχήμα 5.7.2.2.2.(3)γ
Σχήμα 5.7.2.2.2.(3)δ
Πίνακας 5.7.2.2.2.(3)

7.2.3. Σύστημα πλήρους προκατασκευής
(1) Το σύστημα της πλήρους προκατασκευής, όπως προαναφέρθηκε, συνίσταται στην τοποθέτηση από βάθρο σε βάθρο ενός μόνο προκατασκευασμένου στοιχείου.
(2) Λόγω της περιορισμένης δυναμικότητος (περίπου 900ΚΝ) των τρέχουσας φύσης γερανών, τα προκατασκευασμένα αυτά στοιχεία μπορούν να καλύψουν μία επιφάνεια της τάξεως των 90 m2. Εξ αυτού του λόγου είναι ιδιαίτερα κατάλληλα για φορείς περιορισμένου πλάτους, όπως π.χ. σιδηροδρομικές γέφυρες μίας γραμμής (βλέπε σχήμα 5.7.2.3.(2)α) ή πεζογέφυρες (βλέπε σχήμα 5.7.2.3.(2)β).


Σχήμα 5.7.2.3.(2)α




Σχήμα 5.7.2.3.(2)β
7.2.4. Ειδική προκατασκευή
(1) Ο όρος ειδική προκατασκευή αναφέρεται στη χρησιμοποίηση, στην κατασκευαστική διαδικασία, μέσων για την τοποθέτηση των προκατασκευασμένων δοκών τα οποία υπερβαίνουν τις δυνατότητες των συνήθων γερανών. Απαιτείται δηλαδή η χρησιμοποίηση ειδικών διατάξεων μεταφοράς και τοποθέτησης των προκατασκευασμένων στοιχείων π.χ. CARRO PONTE, πλωτών γερανών κ.λ.π.
(2) Η δυναμικότητα των συνήθων γερανών ανέρχεται περίπου στα 900 kN. Λαμβάνοντας υπόψη βάρος ανά τρέχον μέτρο προκατασκευασμένης δοκού 20 kN/m, προκύπτει ότι για ανοίγματα μεγαλύτερα των 45 m είναι απαραίτητη η χρησιμοποίηση των ειδικών διατάξεων.
(3) Συνοψίζοντας τα σχετικά με τα χρησιμοποιούμενα μέσα στην προκατασκευή, διακρίνουμε τις εξής περιπτώσεις:
| • | Για ανοίγματα μεγαλύτερα των 45 m απαιτείται η χρησιμοποίηση ειδικών διατάξεων. |
| • | Για ανοίγματα κυμαινόμενα από 30 m έως 45 m είναι δυνατή η χρησιμοποίηση είτε συνήθων γερανών είτε ειδικών διατάξεων. Για την απόφαση στην περίπτωση αυτή πρέπει να ληφθούν υπόψη και άλλοι παράγοντες, όπως είναι το συνολικό μήκος της γέφυρας, ο αριθμός των προκατασκευασμένων δοκών, το ανάγλυφο του εδάφους κ.λ.π. |
| • | Για ανοίγματα μικρότερα των 30 m χρησιμοποιούνται, στη συντριπτική πλειοψηφία των περιπτώσεων, συνήθεις γερανοί. |
7.3. Περιοχή και τρόπος εφαρμογής της μεθόδου
(1) Από άποψη μηκών ανοιγμάτων η πλέον ευνοϊκή περιοχή για την εφαρμογή της μεθόδου των προκατασκευασμένων δοκών κυμαίνεται από 18 m έως 28 m. Λιγότερο ευνοϊκές περιοχές είναι από 10 m έως 18 m και από 28 m έως 35 m. Ανοίγματα μικρότερα των 10 m και μεγαλύτερα των 35 m, εμπίπτουν στη δυσμενή περιοχή εφαρμογής της μεθόδου. Τα παραπάνω προέκυψαν από στατιστική επεξεργασία δεδομένων σειράς ετών (βλέπε και διάγραμμα 5.7.3.(1) καμπύλης αθροιστικής πιθανότητας).
Διάγραμμα 5.7.3.(1)

(2) Σύμφωνα με την εγκύκλιο ARS 23/1993 του Ομοσπονδιακού Υπουργείου Συγκοινωνιών της Γερμανίας για την περιοχή και τον τρόπο εφαρμογής της μεθόδου των προκατασκευασμένων δοκών ισχύουν οι ακόλουθες οδηγίες:
α) Μήκος ανοιγμάτων < 35 m
β) Γωνία λοξότητας γέφυρας > 60 g
γ) Οριζοντιογραφική ακτίνα καμπυλότητας R > 500 m
δ) Όχι εφαρμογή σε μεγάλες γέφυρες (κοιλαδογέφυρες ή γέφυρες υπεράνω ποταμών)
ε) Διατμητική σύνδεση / συμπλήρωση των προκατασκευασμένων δοκών με έγχυτες εγκάρσιες διαδοκίδες στους άξονες έδρασής τους και έγχυτη πλάκα (βλέπε σχήμα 5.7.3.(2)α)
στ) Αποκατάσταση της συνέχειας κατά τη διαμήκη έννοια σε γέφυρες πολλών ανοιγμάτων, με έγχυτες επί τόπου εγκάρσιες διαδοκίδες και πλάκα (βλέπε σχήματα 5.7.3.(2)β και γ)
ζ) Εφαρμογή προκατασκευασμένων προεντεταμένων δοκών διατομής Τ
η) Ελαχιστοποίηση των εφεδράνων στον απολύτως απαραίτητο αριθμό

Σχήμα 5.7.3.(2)α

Σχήμα 5.7.3.(2)β

Σχήμα 5.7.3.(2)γ
7.4. Αποκατάσταση συνέχειας κατά τη διαμήκη έννοια της γέφυρας
(1) Τονίζεται ότι η αποκατάσταση της συνέχειας στην περίπτωση γέφυρας πολλών ανοιγμάτων γίνεται με επί τόπου εγχυνόμενο σκυρόδεμα και εφαρμογή προέντασης, όπως αναλυτικά περιγράφεται στα επόμενα εδάφια.
(2) Για τη μετάβαση από το στάδιο των αμφιέρειστων προκατασκευασμένων δοκών στη συνεχή στατική λειτουργία του φορέα υπάρχουν οι εξής λύσεις οι οποίες απεικονίζονται στο σχήμα 5.7.4.(2):
α) Ενσυρμάτωση εκ των υστέρων τενόντων συνέχειας
β) Τένοντες εξερχόμενοι από τις προκατασκευασμένες δοκούς και αγκυρούμενοι στην επί τόπου σκυροδετούμενη πλάκα
γ) Πρόσθετοι τένοντες στην επί τόπου σκυροδετούμενη πλάκα
δ) Ενσυρμάτωση εκ των υστέρων τενόντων, παρά τη στήριξη, στις δοκούς του προκατασκευασμένου στοιχείου

Σχήμα 5.7.4.(2)
(3) Οι λύσεις αυτές, μεμονωμένες ή σε συνδυασμό, επιτρέπουν την αποκατάσταση της συνέχειας κατά τη διαμήκη έννοια. Στην πράξη έχουν διαμορφωθεί τα παρακάτω συστήματα συνυφασμένα με διάφορες φάσεις κατασκευής.
α) ΣΥΣΤΗΜΑ Α (Συνδυασμός λύσεων α και d)
| • | Φάση 1: Τοποθέτηση των προκατασκευασμένων δοκών επί προ-σκυροδετηθέντων εγκαρσίων δοκών μέσω καταλλήλων γρύλων |
| • | Φάση 2: Αποκατάσταση της συνέχειας με σκυροδέτηση μέχρι την πάνω στάθμη του προκατασκευασμένου στοιχείου, ενσυρμάτωση των περιβλημάτων των τενόντων και προένταση των καλωδίων. Έδραση των προ-κατασκευασθέντων δοκών στην οριστική θέση τους. |
| • | Φάση 3: Σκυροδέτηση της πλάκας κυκλοφορίας και προένταση των εκ των υστέρων ενσυρματωθέντων τενόντων συνέχειας. |
Η όλη διαδικασία εμφανίζεται στα σχήματα 5.7.4.(3).α)1 και 5.7.4.(3).α)2.

Σχήμα 5.7.4.(3).α)1

Σχήμα 5.7.4.(3).α)2
β) ΣΥΣΤΗΜΑ Β (Εφαρμογή της λύσεως b)
| • | Φάση 1: Όπως στο σύστημα Α. |
| • | Φάση 2: Αποκατάσταση της συνέχειας με επί τόπου έγχυτο σκυρόδεμα και σκυροδέτηση στην περιοχή στήριξης της πλάκας κυκλοφορίας. Προένταση των τενόντων οι οποίοι εξέρχονται από τις προκατασκευασμένες δοκούς. Απομάκρυνση των προσωρινών στηριγμάτων των δοκών - έδρασή τους στην οριστική θέση τους. |
| • | Φάση 3: Σκυροδέτηση του υπολοίπου (από τη Φάση 2) της πλάκας κυκλοφορίας (βλέπε σχήμα 5.7.4.(2).β). |

Σχήμα 5.7.4.(2).β
γ) ΣΥΣΤΗΜΑ C (Εφαρμογή της λύσεως c)
Ανάλογα με το σύστημα Β, με τη διαφορά ότι στη Φάση 2 γίνεται προένταση καλωδίων τα οποία τοποθετούνται στην πλάκα κυκλοφορίας στην περιοχή της στήριξης.
δ) ΣΥΣΤΗΜΑ D (Εφαρμογή της λύσεως d)
Ανάλογα με το σύστημα Α, χωρίς τούς τένοντες συνέχειας της φάσεως 3.
ε) ΣΥΣΤΗΜΑ Ε (Εφαρμογή της λύσεως a)
| • | Φάση 1: Όπως στο σύστημα Α. |
| • | Φάση 2: Σκυροδέτηση επί τόπου. Ενσυρμάτωση των περιβλημάτων που τοποθετήθηκαν ήδη και προένταση των καλωδίων των τενόντων συνέχειας. Απομάκρυνση των προσωρινών στηριγμάτων των δοκών - έδρασή τους στην οριστική θέση τους. |
στ) ΣΥΣΤΗΜΑ F (Εφαρμογή της λύσεως b)
Ανάλογα με το σύστημα Ε. Τα προεντεινόμενα στη φάση 2 καλώδια προέρχονται από τις προκατασκευασμένες δοκούς και αγκυρώνονται στην πλάκα κυκλοφορίας.
(4) Στο σχήμα 5.7.4.(4) δίνεται συνοπτική παραστατική εικόνα των συστημάτων που αναφέρονται στο παραπάνω εδάφιο (3).

Σχήμα 5.7.4.(4)
(5) Στον πίνακα 5.7.4.(5) δίνονται συνοπτικά τα πλεονεκτήματα και μειονεκτήματα των συστημάτων πάνω σε καθαρά τεχνικά θέματα. Από την απλή αντιπαράθεση των συστημάτων προκύπτει ότι το σύστημα Α πλεονεκτεί έναντι όλων των άλλων.
Μία οικονομική σύγκριση, λόγω των πολλών συντελεστών οι οποίοι υπεισέρχονται, χρειάζεται λεπτομερή εξέταση πέραν των ορίων του παρόντος.
Πίνακας 5.7.4.(5)
Σύστημα
|
Α
|
B
|
C
|
D
|
E
|
F
|
Λύση
|
(a)+(d)
|
(b)
|
(c)
|
(d)
|
(a)
|
(b)
|
Φάσεις
|
3
|
3
|
3
|
3
|
2
|
2
|
Πλεονεκτήματα
|
|
Έγχυτη επί τόπου πλάκα χωρίς αρμούς
|
|
|
|
|
|
|
Μικρότερα άλματα διαγράμματος ροπών από αγκύρωση τενόντων
|
|
|
|
|
|
|
Αγκύρωση τενόντων σε θλιβόμενη περιοχή της διατομής
|
|
|
|
|
|
|
Περιορισμένη δυσκολία στην τήρηση των επιτρεπομένων τάσεων θλίψεως της προ-θλιβόμενης ζώνης
|
|
|
|
|
|
|
Περιορισμένη δυσκολία στην τήρηση των επιτρεπομένων εφελκυστικών τάσεων
|
|
|
|
|
|
|
Περιορισμένη ανακατανομή λόγω χρόνιων παραμορφώσεων
|
|
|
|
|
|
|
ΜΕΙΟΝΕΚΤΗΜΑΤΑ
|
|
Έγχυτη επί τόπου πλάκα με αρμούς διακοπής
|
|
|
|
|
|
|
Μεγαλύτερα άλματα διαγράμματος ροπών από αγκύρωση τενόντων
|
|
|
|
|
|
|
Αγκύρωση τενόντων σε μη θλιβόμενη περιοχή της διατομής
|
|
|
|
|
|
|
Μεγαλύτερη δυσκολία στην τήρηση των επιτρεπομένων τάσεων θλίψεως στην προ-θλιβόμενη ζώνη
|
|
|
|
|
|
|
Μεγαλύτερη δυσκολία στην τήρηση των επιτρεπομένων εφελκυστικών τάσεων
|
|
|
|
|
|
|
Μεγαλύτερη ανακατανομή λόγω χρόνιων παραμορφώσεων
|
|
|
|
|
|
|
(6) Τονίζεται ότι για λόγους αντοχής στη διάρκεια του χρόνου, η αποκατάσταση της συνέχειας θα πρέπει να γίνεται σε δύο φάσεις, όπως στο σύστημα Α. Η πρακτική αυτή παρουσιάζει τα παρακάτω πλεονεκτήματα:
| • | Σκυροδέτηση της πλάκας κυκλοφορίας χωρίς αρμό διακοπής εργασίας |
| • | Δυνατότητα ευνοϊκού καθορισμού της υψομετρικής θέσεως των καλωδίων προέντασης στην περιοχή της στήριξης σε συσχετισμό με τον έλεγχο της εντατικής κατάστασης στην κάτω πλευρά του φορέα |
| • | Πρόκληση προέντασης στην κάτω πλευρά του φορέα λόγω καταβιβασμού των γρύλων της φάσεως 2. |
(7) Τονίζεται ότι εκτός των πλεονεκτημάτων από άποψη στατική, λειτουργική και συντήρησης, τα οποία μάλιστα έχουν αυξημένη σημασία για τη χώρα μας, η αποκατάσταση της συνέχειας έχει και σοβαρή επίδραση στην αισθητική των γεφυρών με προκατασκευασμένους φορείς με τον περιορισμό των διαστάσεων των δοκών έδρασης (δεν απαιτείται στοά επιθεώρησης κ.λ.π.) (βλέπε σχήμα 5.7.4.(7)).

Σχήμα 5.7.4.(7)
7.5. Πλάκες συνέχειας
Για τις περιπτώσεις γεφυρών πολλών ανοιγμάτων για τις οποίες προκρίνεται η λύση των αμφιέρειστων προκατασκευασμένων δοκών με παράλληλη χρήση πλακών συνέχειας θα λαμβάνονται υπόψη τα παρακάτω:
α) Το ελάχιστο πάχος της πλάκας συνέχειας θα προβλέπεται 20 cm
β) Η ελαχίστη διάσταση των πλακών συνέχειας κατά τη διαμήκη έννοια της γέφυρας θα είναι 1,50 m (βλέπε σχήμα 5.7.5.β)
γ) Σημειώνεται ότι οι αναφερόμενες στα παραπάνω εδάφια ελάχιστες διαστάσεις ισχύουν για αμφιέρειστους φορείς ανοίγματος ≤ 35 m, αξονική απόσταση των προκατασκευασμένων δοκών ≤ 2,5 m και διαφορική καθίζηση γειτονικών βάθρων 1 cm. Σε αντίθετη περίπτωση, το πάχος της πλάκας συνέχειας μπορεί να φθάσει τα 28 cm και η διάστασή τους, κατά τη διαμήκη έννοια της γέφυρας, 2,0 m.
δ) Στις πλάκες συνέχειας θα προβλέπεται ελάχιστος διαμήκης οπλισμός Φ16/10 και εγκάρσιος Φ12/10 (βλέπε σχήμα 5.7.5.δ)

Σχήμα 5.7.5.β

Σχήμα 5.7.5.δ
7.6. Ελάχιστες διαστάσεις προκατασκευασμένων δοκών
Τα πλέον συνήθη συναντώμενα πάχη είναι:
(1) Ελάχιστο πάχος έγχυτης πλάκας πάνω από προκατασκευασμένα στοιχεία 20 cm.
(2) Ελάχιστο πάχος πρόπλακας λαμβανομένης υπόψη στατικά 8 cm.
(3) Ελάχιστο πάχος κορμού προκατασκευασμένης δοκού:
| • | Για ενδιάμεσα ύψη γραμμική παρεμβολή |
| • | Για εργοστασιακά κατασκευαζόμενες δοκούς επιτρέπεται η μείωση των παραπάνω διαστάσεων κατά 5 cm |
(4) Ελάχιστο πάχος άκρου πάνω πέλματος (σε σύνδεση με έγχυτη πλάκα) προκατασκευασμένης δοκού 10 cm.
Ελάχιστο πάχος γένεσης πάνω πέλματος προκατασκευασμένης δοκού 12 cm.
Ελάχιστο πάχος άκρου κάτω πέλματος προκατασκευασμένης δοκού 20 cm (βλέπε σχήμα 5.7.6.(4)).
(5) Για την αποφυγή του φαινομένου της ύβωσης συνιστάται ο λόγος b/l ≤ 40, όπου b το πλάτος του πάνω πέλματος της δοκού και l το μήκος της.

Σχήμα 5.7.6.(4)
7.7. Έδραση προκατασκευασμένων δοκών - Θέση εφεδράνων
(1) Τονίζεται ιδιαίτερα ότι η τοποθέτηση των εφεδράνων σε σχέση με τα άκρα της προκατασκευασμένης δοκού, θα γίνεται κατά τρόπο ώστε να καλύπτεται από τον κώνο των θλιπτικών τάσεων, ο οποίος δημιουργείται στην αγκύρωση του τένοντα (βλέπε σχήμα 5.7.7.(1)α). Στην περίπτωση κατά την οποία ο παραπάνω όρος δεν πληρούται ικανοποιητικά, τότε θα προβλέπεται οπλισμός καλά αγκυρούμενος (βλέπε σχήμα 5.7.7.(1)β).
(2) Γίνεται γενικά αποδεκτό ότι η γωνία w=Arc t g(2/3).

Σχήμα 5.7.7.(1)α

Σχήμα 5.7.7.(1)β
7.8. Προένταση
7.8.1. Προένταση σε κλίνη (με άμεση συνάφεια)
(1) Σύμφωνα με την παράγραφο 3.1.2 του DIN 4227/1988, Μέρος 1, σε συνδυασμό με την παράγραφο 5.3 του DIN 1045/1988, ο τρόπος παραγωγής προκατασκευασμένων προεντεταμένων στοιχείων με τη μέθοδο της προέντασης σε κλίνη, πρέπει να είναι εργοστασιακός.
Τονίζεται πάντως ότι, ακόμη και σε δοκούς οι οποίοι κατασκευάζονται σε εργοστάσιο, οι τένοντες είναι αποκλειστικά ευθύγραμμοι.
(2) Κατά το σχεδιασμό των γεφυρών με εφαρμογή της μεθόδου της προέντασης σε κλίνη, δηλαδή καλωδίων προεντεινόμενων πριν από τη σκυροδέτηση των δοκών και ευρισκομένων σε άμεση συνάφεια με το περιβάλλον σκυρόδεμα, θα πρέπει να λαμβάνονται υπόψη τα ακόλουθα:
α) Η αγκύρωση των καλωδίων προέντασης πραγματοποιείται μέσω πρόσφυσης.
β) Απαιτείται μεγαλύτερο μήκος για την ανάπτυξη της δύναμης προέντασης, γεγονός το οποίο συνεπάγεται μεγαλύτερο απαιτούμενο μήκος έδρασης της προκατασκευασμένης δοκού.
γ) Περιορισμός της διαμέτρου των τενόντων κυκλικής διατομής σε 12 mm. Για τένοντες με μη κυκλική διατομή το όριο της ισοδύναμης κυκλικής διαμέτρου καθορίζεται σε 8 mm
δ) Πρέπει να αποφεύγεται η χρήση προσθέτων στο σκυρόδεμα.
ε) Η εφαρμογή αποκλειστικά της προέντασης σε κλίνη οδηγεί στην κατασκευή αμφιέρειστων φορέων.
στ) Η χρήση ευθυγράμμων καλωδίων προέντασης, η οποία, όπως προαναφέρθηκε, στη χώρα μας έχει αποκλειστική εφαρμογή, απαιτεί κλιμάκωση των τενόντων στην προ-θλιβόμενη εφελκυόμενη ζώνη καθώς και την ύπαρξη τενόντων στην θλιβόμενη ζώνη, με επακόλουθο τη μεγαλύτερη ανάλωση χάλυβα προέντασης. Ακόμη και στην περίπτωση πολυγωνικών καλωδίων προκύπτει μεγαλύτερη ανάλωση. Σημειώνεται ότι στην τελευταία περίπτωση οι απώλειες στις θέσεις των κορυφών της πολυγωνικής είναι πολύ σημαντικές.
ζ) Ουδεμία συνεισφορά στην ανάληψη τεμνουσών δυνάμεων στην περίπτωση ευθυγράμμων καλωδίων.
η) Απουσία ευελιξίας. Η προένταση επιβάλλεται μία φορά και για πάντα.
θ) Αποκλειστική χρήση προέντασης σε κλίνη είναι κατάλληλη μόνο για πολύ μικρά ανοίγματα.
ι) Τα μεγαλύτερα μήκη έδρασης δοκών σε συνδυασμό με αμφιέρειστους φορείς οδηγούν σε ογκώδη ζυγώματα των μεσόβαθρων. Το ευθύγραμμο των καλωδίων οδηγεί επίσης σε αυξημένες διαστάσεις των προεντεταμένων δοκών. Το συνολικό αποτέλεσμα, εκτός των άλλων, έχει σοβαρές επιπτώσεις στην αισθητική των γεφυρών.
Συμπερασματικά τονίζεται ότι για όλους τους λόγους που αναφέρθηκαν, η προένταση σε κλίνη χρησιμοποιείται ορθολογιστικά, όσον αφορά τη γεφυροποιία, κατά τις φάσεις κατασκευής και σε συνδυασμό με τένοντες προ-εντεινόμενους μετά τη σκλήρυνση του σκυροδέματος.
7.8.2. Προένταση μετά τη σκλήρυνση του σκυροδέματος
(1) Ιδιαίτερη προσοχή θα πρέπει να δίνεται κατά την προένταση των προκατασκευασμένων δοκών ώστε να μην εξαντλούνται οι επιτρεπόμενες τάσεις θλίψης στην προ-θλιβόμενη εφελκυόμενη ζώνη. Η προαναφερθείσα εξάντληση των τάσεων θλίψης, σε συνδυασμό και με τον χρόνο ο οποίος μεσολαβεί από την κατασκευή της προκατασκευασμένης δοκού μέχρι την ενσωμάτωσή της στον φορέα, μπορεί να οδηγήσει σε μη αναστρέψιμες παραμορφώσεις με άμεσες συνέπειες στη λειτουργικότητα της γέφυρας (φαινόμενο γιρλάντας) (βλέπε σχήμα 5.7.8.2.(1)).

Σχήμα 5.7.8.2.(1)
(2) Η παρατήρηση του παραπάνω εδαφίου είναι αυτονόητο ότι ισχύει και για την προένταση σε κλίνη.
7.9. Πλεονεκτήματα - Μειονεκτήματα
(1) Τα πλεονεκτήματα της μεθόδου είναι:
(2) Τα μειονεκτήματα της μεθόδου είναι:
| • | Έλλειψη μονολιθικότητας. Σοβαρό μειονέκτημα λαμβάνοντας υπόψη την επικρατούσα στη χώρα μας μεθοδολογία κατασκευής (αμφιέρειστοι δοκοί) σε συνδυασμό με το σεισμικό κίνδυνο. |
| • | Αυξημένες απαιτήσεις συντήρησης λόγω ύπαρξης μεγάλου αριθμού εφεδράνων και αρμών. Σημειώνεται ότι η αντικατάσταση των αρμών με τις λεγόμενες πλάκες συνέχειας βελτιώνει μεν την κατάσταση από την πλευρά του χρήστη (οδηγού), παραμένουν όμως τα προβλήματα στεγανότητας στην ευαίσθητη αυτή περιοχή. |
| • | Διαμόρφωση της διατομής του φορέα με σκυροδέματα διαφορετικής ηλικίας, αντοχής και ενδεχομένως ποιότητας. Σχεδόν κατ' αποκλειστικότητα, οι πλάκες κυκλοφορίας κατασκευάζονται με τη βοήθεια προπλακών που φέρουν ενσωματωμένο τον πρωτεύοντα οπλισμό και συμπλήρωμα με επί τόπου σκυροδέτηση. Οι δύο φάσεις της πλάκας συνδέονται μεταξύ τους με διατμητικούς συνδέσμους υπό μορφή καβαλέτων Φ10 ή Φ12. Έχουν εκφρασθεί κατά καιρούς σημαντικές αμφιβολίες για τον τρόπο αυτό δόμησης κυρίως ως προς τη διαχρονική συμπεριφορά του. |
| • | Συγκέντρωση οπλισμού για τη μεταβίβαση δυνάμεων στις μεταβατικές επιφάνειες γεγονός που απαιτεί αυξημένη προσοχή κατά τη σκυροδέτηση. |
| • | Αμφίβολο αισθητικό αποτέλεσμα το οποίο σημειώνεται δεν είναι συνυφασμένο με τη μέθοδο της προκατασκευής, αλλά με την ακολουθούμενη πρακτική υλοποίησής της. |
8. Μηχανοποιημένες μέθοδοι κατασκευής βάθρων
8.1. Γενικά
(1) Οι μηχανοποιημένες μέθοδοι κατασκευής βάθρων συναντώνται συνήθως όταν το ύψος τους υπερβαίνει 15 m ~ 20 m.
(2) Επισημαίνεται προκαταβολικά η όλως ιδιαίτερη σημασία των μέτρων ασφαλείας (ουσιαστικής αλλά και ψυχολογικής), τα οποία πρέπει να λαμβάνονται κατά την εκτέλεση εργασιών σε τέτοια ύψη.
(3) Λόγω της προφανούς αδυναμίας για μια κι έξω σκυροδέτηση, οι κατασκευές των υψηλών βάθρων γίνονται κατά τμήματα ύψους.
(4) Χαρακτηριστικό αυτών των μεθόδων κατασκευής είναι η ανύψωση του τύπου (καλουπιού) από μια στάθμη κατασκευής στην επόμενη.
(5) Υπάρχουν ουσιαστικά οι εξής δύο ξεχωριστές τεχνικές για την ανύψωση του καλουπιού:
α) Μέθοδος ολισθαίνοντος (ξυλότυπου) τύπου
β) Μέθοδος αναρριχώμενου (ξυλότυπου) τύπου
9. Μέθοδος ολισθαίνοντος (ξυλότυπου) τύπου
9.1. Εισαγωγή - Γενικές πληροφορίες
(1) Η μέθοδος πρωτοεμφανίστηκε στην Αμερική (1886 Texas, Carrico). Στην Ευρώπη η εφαρμογή αρχίζει περί τα 1940 και αναπτύσσεται κυρίως τη δεκαετία του '60.
(2) Κατά τη μέθοδο αυτή, η καθ' ύψος κατασκευή του βάθρου προχωρεί με μικρά αλλά συνεχή βήματα κατά τα οποία το τυπικό τμήμα του (ξυλότυπου) τύπου ανελκύεται με τη βοήθεια ανυψωτικού συστήματος που αποτελείται από:
| • | Ράβδους ανύψωσης (μεταφέρουν το φορτίο) |
Το όλο σύστημα συμπληρώνεται από:
| • | Τμήμα (ξυλότυπου) τύπου (ύψους περί το 1.20 m) |
| • | Στηθαία ασφαλείας (βλέπε σχήμα 5.9.1.(2)) |
(3) Οι εργασίες εκτελούνται χωρίς διακοπή επί 24ωρου βάσεως.

Σχήμα 5.9.1.(2)
9.2. Αρχές σχεδιασμού αναρριχώμενου ξυλότυπου
(1) To περιεχόμενο σχεδιασμού ενός αναρριχώμενου ξυλότυπου περιλαμβάνει:
α) Εκτίμηση φορτίων - Φορτίων γρύλων
β) Εκτίμηση της τριβής μεταξύ σκυροδέματος - καλουπιού
γ) Πίεση νωπού σκυροδέματος
(2) Σημειώνεται ότι η πίεση του νωπού σκυροδέματος, θέμα πολυσύνθετο ακόμη και στη σταθερή (χωρίς κίνηση του καλουπιού) μορφή, επιβαρύνεται παραπάνω από την αποκόλληση των επιφανειών του καλουπιού από το σκληρυνόμενο σκυρόδεμα και εξαρτάται από:
α) Τη σύνθεση σκυροδέματος
β) Το είδος επιφάνειας (στεγανότητα)
γ) Το πάχος του στοιχείου
δ) Το ρυθμό σκυροδέτησης
ε) Την πυκνότητα οπλισμού
(3) Το Αποτέλεσμα του ορθού σχεδιασμού είναι:
α) Η κατασκευαστική ακρίβεια
β) Η γενική βελτίωση δομήματος
γ) Το ελεγχόμενο κόστος
9.3. Σύντομη Περιγραφή
(1) Η ανέλκυση ξεκινά όταν το σκυρόδεμα που έχει ήδη χυτευθεί στο κατώτερο μισό του ύψους αποκτήσει επαρκή αντοχή. Η ταχύτητα ανέλκυσης πρέπει να διατηρείται, κατά το δυνατόν, σταθερή καθ' όλο το 24ωρο.
(2) Οι ρυθμοί προόδου της τοποθετήσεως του οπλισμού και της σκυροδετήσεως οφείλουν να ακολουθούν το ρυθμό της ανέλκυσης.
(3) Η σκυροδέτηση γίνεται ομοιόμορφα κατά μήκος της περιμέτρου του βάθρου σε πάχη 20 - 30 cm. Στο σχήμα 5.9.3.(3) δίνεται η διάταξη ολισθαινόντων ξυλότυπων σε κιβωτοειδές βάθρο.
(4) Η δόνηση γίνεται αποκλειστικά με εσωτερικούς δονητές (κατάλληλου μήκους)
(5) Η επιφάνεια του αποκαλυπτόμενου σκυροδέματος παρακολουθείται από εδικό προσωπικό και οι μικροατέλειες της επιφάνειας (που προκαλούνται από το σύρσιμο του καλουπιού) επιδιορθώνονται και τρίβονται.

Σχήμα 5.9.3.(3)
9.4. Ειδικές Απαιτήσεις
9.4.1. Γενικά
(1) Λόγω της συνεχούς προόδου των εργασιών απαιτείται η λήψη μιας σειράς ειδικών μέτρων για την εξασφάλιση της ποιότητας της κατασκευής, η οποία καλύπτει την προετοιμασία, την επίβλεψη και την εργασία.
(2) Είναι απαραίτητη η λεπτομερής εξέταση των ειδικών συνθηκών του έργου, καιρικών συνθηκών, ανέμων, προσβάσεων και της εξασφάλισης ενέργειας. Θα πρέπει να εξασφαλίζεται ο απαραίτητος ρυθμός παραγωγής και άφιξης του σκυροδέματος. Απαιτείται η λεπτομερειακή μελέτη σύνθεσης του σκυροδέματος και του ρυθμού ανάπτυξης των αντοχών του.
(3) Η παρουσία εμπείρου προσωπικού, Μηχανικών, Εργοδηγών και Τεχνιτών είναι απαραίτητη σε 24ωρη βάση.
9.4.2. Οπλισμός
(1) Απαιτείται η κατάλληλη διαμόρφωση των ράβδων οπλισμού του βάθρου ώστε να μην παρεμποδίζεται η όλη διαδικασία. Το ελεύθερο μήκος των κατακόρυφων οπλισμών του βάθρου περιορίζεται περίπου στα 2,0 m ή 150 Φ.
(2) Απαιτείται συντονισμός για την τοποθέτηση των οριζοντίων ράβδων οπλισμού και επισήμανση των θέσεών τους πάνω στις κατακόρυφες ράβδους.
(3) Τα μήκη αγκυρώσεων / επικαλύψεων υπολογίζονται για τη δυσμενή περιοχή των τάσεων συνάφειας.
9.4.3. Σκυρόδεμα
(1) Το ελάχιστο απαιτούμενο πάχος του τοιχώματος του βάθρου, για λόγους που αφορούν τη μέθοδο και μόνο, είναι 18 cm. Σημειώνεται ότι το ελάχιστο πάχος, σύμφωνα με την εγκύκλιο [Π] Ε39/1999 παράγραφος 4.3, είναι 35 cm.
(2) Οι συνήθως χρησιμοποιούμενες κατηγορίες σκυροδεμάτων είναι Β25 και Β35. Ανώτερης κατηγορίας σκυρόδεμα (σπάνια περίπτωση για βάθρα) μπορεί να χρησιμοποιηθεί αλλά μετά από λήψη ειδικών μέτρων στη σύνθεσή του για την αποφυγή ανάπτυξης μεγάλης τριβής. Η συνήθης κάθιση είναι 35 έως 45 mm. Η χρήση ρευστοποιητών δεν είναι επιθυμητή. Η σκυροδέτηση γίνεται με κάδους.
(3) Στο σχήμα 5.9.4.3.(3) δίνεται η κατάσταση στην οποία ευρίσκεται το σκυρόδεμα από άποψη εργασιμότητας, σε συσχετισμό με τη θέση του εντός του ξυλότυπου και το χρόνο σκυροδέτησης.
(4) Η ασκούμενη πίεση από το νωπό σκυρόδεμα στον ξυλότυπο και η αναπτυσσόμενη κατά την καθ' ύψος μετακίνηση του τριβή εξαρτώνται από:
| • | Την επιφάνεια του καλουπιού |
| • | Τη σύσταση και συμπύκνωση του σκυροδέματος |
| • | Διαφορές στις διαδρομές ανύψωσης του συστήματος |
Τονίζεται ότι το τελείωμα της επιφανείας του καλουπιού και η στεγανότητά του παίζουν σημαντικό ρόλο στο μέγεθος της αναπτυσσόμενης τριβής. Στα καλούπια από σανίδες στους αρμούς συγκεντρώνεται τσιμεντοπολτός με αποτέλεσμα την αύξηση της τριβής.
(5) Σε κάθε περίπτωση, το βάρος του προς διάστρωση σκυροδέματος πρέπει να είναι μεγαλύτερο από την τριβή που θα αναπτυχθεί κατά την ανέλκυση του συστήματος.

Σχήμα 5.9.4.3.(3)
(6) Στις πολυγωνικές επιφάνειες και γωνίες γενικότερα, συνιστάται να μην είναι οι γωνίες οξύτερες των 45° (ή 135° ή 225° ανάλογα με την πολυγωνική). Επίσης, ελάχιστη διάσταση εσοχών (σκοτίες) ή προεξοχών συνιστάται να είναι τουλάχιστον 4 cm και η ακτίνα R >2D, όπου R η ακτίνα του εγγεγραμμένου κύκλου και D η μεγίστη διάσταση του αδρανούς του σκυροδέματος.
(7) Ελάχιστες φορτίσεις κινητού για δάπεδα εργασίας θα λαμβάνεται 2 kN/m2.
9.4.4. Ρυθμοί ανέλκυσης - Διακοπές
(1) Οι ρυθμοί σκυροδέτησης οι οποίοι επιτυγχάνονται, συνήθως κυμαίνονται από 3 έως 5 m / ημέρα. Το βήμα ολίσθησης του ξυλότυπου είναι της τάξεως 1'' / 5 ~ 15 min
(2) Μικροδιακοπές είναι αποδεκτές. Για μεγαλύτερες διακοπές (π.χ. για μάτισμα οπλισμών) απαιτείται προσοχή να μη φρακάρει το καλούπι.
Για απρόβλεπτες διακοπές, π.χ. 24 h, απαιτείται και επεξεργασία του αρμού διακοπής.
9.5. Πλεονεκτήματα - Μειονεκτήματα
(1) Τα πλεονεκτήματα της μεθόδου είναι:
| • | Μονολιθικότητα, γεγονός ιδιαίτερης σημασίας για τη σεισμογενή χώρα μας |
| • | Οικονομία για ύψη βάθρων h > 30 m |
(2) Τα μειονεκτήματα της μεθόδου είναι:
| • | Απαιτείται υψηλό επίπεδο οργάνωσης και συντονισμού |
| • | Σημαντικός βοηθητικός εξοπλισμός |
| • | Εργασία πέρα από τις συνήθεις συνθήκες (μέρα- νύχτα, καιρός) |
| • | Εργοταξιακά προβλήματα από την παρουσία υπεργολάβου και κοινωνικά προβλήματα από τη συνεχή εργασία. |
10. Μέθοδος αναρριχώμενου ξυλότυπου
10.1 Εισαγωγή - Γενικές πληροφορίες
(1) Κατά τη μέθοδο αυτή, η σκυροδέτηση κάθε επιμέρους τμήματος γίνεται εντός προ-τοποθετημένων, σταθερών τμημάτων ξυλότυπου καταλλήλου ύψους (π.χ. 3,0 έως 6,0 m).
(2) Μετά τη σκλήρυνση του σκυροδέματος, τα τμήματα του καλουπιού αποδεσμεύονται και προωθούνται (αναρριχώνται) στην επόμενη στάθμη, επανασυνδέονται και είναι έτοιμα για τον επόμενο κύκλο.
(3) Η κίνηση ξυλότυπου εδώ είναι σημαντικά ασυνεχής (κατ' αντίθεση προς αυτόν που ολισθαίνει) και η ανύψωση γίνεται με οικοδομικούς γερανούς ή με ειδικούς μηχανισμούς προσαρτημένων στο σύστημα (αυτοαναρρίχηση).
(4) Με την ανάπτυξη των αυτοαναρριχόμενων συστημάτων, η χρήση της μεθόδου αυτής ανεξαρτητοποιήθηκε από τους περιορισμούς ύψους εξυπηρέτησης των γερανών και συναγωνίζεται τη μέθοδο του ολισθαίνοντος ξυλότυπου σε όλο το εύρος των υψών και πρακτικά τείνει να την αντικαταστήσει.
10.2. Σύντομη Περιγραφή
(1) Το σύστημα περιλαμβάνει δύο πανομοιότυπες διατάξεις για την εξωτερική και εσωτερική πλευρά του σκυροδετούμενου στοιχείου. Η διάταξη κάθε πλευράς αποτελείται από:
α) Τμήμα (ξυλότυπου) τύπου
β) Φορείο εργασίας δικτυωτής διάταξης με ρυθμιζόμενη μέλη. Προσαρτημένα στο φορείο αυτό ευρίσκονται:
| • | Δάπεδα και διάδρομοι εργασίας |
(2) Το όλο σύστημα στηρίζεται επί των ήδη σκυροδετηθέντων τμημάτων με διατάξεις αγκύρωσης που ενσωματώνονται στο σκυρόδεμα. Τέλος, με την προσθήκη ενός οδηγού αναρρίχησης και την πρόβλεψη πελμάτων ανάρτησης, το σύστημα μετατρέπεται σε αυτοαναρριχόμενο. Στο σχήμα 5.10.2.(2) απεικονίζεται η λειτουργία του συστήματος.

Σχήμα 5.10.2.(2)
10.3. Ειδικές απαιτήσεις - Ρυθμός προόδου
(1) Δεν υπάρχουν ουσιαστικά δεσμεύσεις οι οποίες να επιβάλλονται από την κατασκευαστική διαδικασία.
(2) Η χρήση ρευστοποιητών για την εξασφάλιση της εργασιμότητας δεν δημιουργεί ειδικά προβλήματα.
(3) Ένας τυπικός κύκλος εργασιών που απαιτείται για την κατασκευή τμήματος μήκους 3 έως 5 m, διαρκεί συνήθως 4-6 ημέρες. Στην εικόνα 5.10.3.(3) απεικονίζεται η χρήση αναρριχώμενου ξυλότυπου σε μια από της χαραδρογέφυρες της παράκαμψης Καβάλας στον άξονα της Εγνατίας οδού.

Εικόνα 5.10.3.(3)
Βιβλιογραφία
1. Γ. ΠΕΝΕΛΗΣ, Μαθήματα σιδηροπαγούς σκυροδέματος - Τόμος ΙV Γέφυρες,1973.
2. F.LEONHARDT, Vorlesungen uebermassivbau-Sechster Teil, Springer-Verlag,1978
3. Vorlaeufige Richtlinien feur Strassen und Wegebruecken aus Spann- und Stahlbeton - Fertigteilen, 1979
4. J. SCHLEICH - H. SCHEEF, Betonhohlkastenbruecken, Internationale Vereinigung fuer Brueckenbau und Hochbau,1982
5. H. WEIDEMANN, Brueckenbau, Werner - Verlag,1982
6. C. MENN, Stahlbetonbruecken, Springer - Verlag,1986
7. W. ROSSNER, Bruecken aus Spannbeton - Fertigteilen, Ernst & Sohn - Verlag, 1988
8. K. H. HOLST, Bruecken aus Stahlbeton und Spannbeton, Ernst & Sohn - Verlag, 1998
9. Μ. ROSIGNOLI, Launched Bridges,1998
10. B.GOEHLER, Brueckenbaumit dem Taktschiebeverfahren, Ernst & Sohn -Verlag,1999
11. Διαχείριση τεχνικών έργων, Σεμινάριο που οργανώθηκε από την Εγνατία Οδός Ανώνυμη Εταιρεία, σε συνεργασία με το Αριστοτέλειο Πανεπιστήμιο Θεσσαλονίκης και στο οποίο αναπτύχθηκαν θέματα σχετικά με τις μηχανοποιημένες μεθόδους κατασκευής γεφυρών από τους Β. Κόλια, Δ. Μπαιρακτάρη, Ι. Σιγάλα, Σ. Σταθόπουλο, Ι. Τέγο, 2000
12. DIN 4227/1988 Teil 1, Beuth Bauverlag,1989
13. Zusaetzliche Technische Vertragsbedingungen fuer Kunstbauten ZTV-K, 1996