| Συνδεθείτε στην Υπηρεσία Νομοσκόπιο | | | | | Νέοι χρήστες | | Εάν είστε νέος χρήστης, θα πρέπει να δημιουργήσετε ένα ΔΩΡΕΑΝ λογαριασμό προκειμένου να φύγει το παράθυρο αυτό και να αποκτήσετε πλήρη πρόσβαση στην υπηρεσία Νομοσκόπιο. | | Δημιουργία νέου λογαριασμού | | |
1. Κατά μήκος κλίση
1.1. Εφαρμογή
Οι κατά μήκος κλίσεις πρέπει για λόγους κυκλοφοριακής ασφάλειας, λειτουργικού κόστους, εξοικονόμησης ενέργειας, μειωμένης ρύπανσης και κυκλοφοριακής ποιότητας να διατηρούνται κατά το δυνατόν μικρές. Ακόμη, οι κλίσεις της οδού πρέπει κατά το δυνατό να προσαρμόζονται στο ανάγλυφο του εδάφους, προκειμένου να προστατευθούν το περιβάλλον και οι οικιστικές περιοχές και να μειωθεί το κόστος κατασκευής.
1.2. Οριακές και τυπικές τιμές
1.2.1 Μέγιστες κατά μήκος κλίσεις
Για λόγους ασφαλείας οι μέγιστες κατά μήκος κλίσεις δεν πρέπει να υπερβαίνουν τις τιμές του Πίνακα 8-1. Οι μικρότερες τιμές, που ισχύουν για τις οδούς της ομάδας Β, αποβλέπουν στην ικανοποίηση των ειδικών απαιτήσεων και περιορισμών στις δομημένες περιοχές (υψηλό ποσοστό μη μηχανοκίνητης κυκλοφορίας, στάση και στάθμευση). Ειδικά για οδούς κατηγορίας ΒΙ (αστικοί αυτοκινητόδρομοι), η τιμή της επιτρεπόμενης μέγιστης κατά μήκος κλίσης προσδιορίζεται σε σχέση με το μήκος εφαρμογής της, από τον Πίνακα 8-1)α.
Οι τιμές που βρίσκονται μέσα σε παρένθεση στον Πίνακα 8-1, εφαρμόζονται σε εξαιρετικές περιπτώσεις για οδούς της ομάδας Α και Β. Επίσης εφαρμόζονται στις περιπτώσεις ειδικών τοπογραφικών ή πολεοδομικών περιορισμών και εφόσον η αλλαγή των στοιχείων μελέτης της διατομής ή της χάραξης της οδού είναι αδύνατη ή το εναπομένον ευθύγραμμο τμήμα μεταξύ κοίλης και κυρτής κατακόρυφης καμπύλης είναι ιδιαίτερα μικρό.
Στις περιοχές ισόπεδων κόμβων πρέπει να αποφεύγονται κατά μήκος κλίσεις μεγαλύτερες από 4% για λόγους σωστής μελέτης των συμβολών/διασταυρώσεων και της κυκλοφοριακής τεχνικής (περιορισμός μήκους ορατότητας για στάση).
Εντός σηράγγων σε οδούς της ομάδας Α οι κατά μήκος κλίσεις δεν πρέπει να υπερβαίνουν τη τιμή 4%. Ιδιαίτερα σε σήραγγες μεγάλου μήκους, πρέπει να επιδιώκεται η τιμή της μέγιστης κατά μήκος κλίσης να είναι SMAX = 2,5%. Εντονότερες κατά μήκος κλίσεις έχουν τα εξής μειονεκτήματα:
| • | μεγαλύτερη πιθανότητα ατυχημάτων, |
| • | διασπορά εύφλεκτων υλικών με μεγάλη ταχύτητα και |
| • | μείωση της ταχύτητας των βαρέων οχημάτων. |
Αν δεν είναι δυνατόν να αναπτυχθούν οι αναμενόμενες λειτουργικές ταχύτητες σε ορισμένα ανωφερικά τμήματα στις οδούς της ομάδας Α, πρέπει να διερευνάται η πιθανότητα διάταξης μίας επιπλέον λωρίδας για τα βαρέα οχήματα (πρόσθετη λωρίδα) ή αλλαγής της χάραξης της οδού.
Πίνακας 8-1: Μέγιστες κατά μήκος κλίσεις
VE (km/h)
|
SMAX (%) για τις οδούς της ομάδας
|
Α
|
Β (πλην ΒΙ)
|
πεδινά εδάφη
|
λοφώδη εδάφη
|
ορεινά εδάφη
|
όλες οι κατηγορίες εδαφών
|
50
|
7 (8)
|
8 (9)
|
10 (11)
|
8 (12)
|
60
|
6 (8)
|
7 (9)
|
9 (10)
|
7 (10)
|
70
|
5 (7)
|
6 (8)
|
8 (9)
|
6 (9)
|
80
|
4 (6)
|
5 (7)
|
7 (9)
|
5 (7)
|
90
|
4 (5)
|
5 (6)
|
7 (8)
|
-
|
100
|
3 (5)
|
4 (6)
|
6 (8)
|
-
|
110
|
3 (5)
|
4 (6)
|
5 (6)
|
-
|
120
|
3 (5)
|
4 (6)
|
-
|
-
|
130
|
3 (4)
|
-
|
-
|
-
|
Οι τιμές σε ( ) εφαρμόζονται σε εξαιρετικές περιπτώσεις
Επιπλέον ως εξαίρεση επιτρέπεται κλίση μέχρι και 20% για οδούς κατηγορίας AV εφόσον αφορούν προσβάσεις μήκους < 50 m.
Το αποδεκτό μήκος εφαρμογής των κλίσεων εξετάζεται σε σχέση με τις απαιτήσεις πρόσθετων λωρίδων (βλέπε OMOE-ΠΛΚ).
Πίνακας 8-1)α: Μέγιστες κατά μήκος κλίσεις οδών κατηγορίας ΒΙ (αστικών αυτοκινητόδρομων)
VE
|
SMAX
|
Μέγιστο μήκος LMAX
|
(km/h)
|
(%)
|
(m)
|
50
|
8 (12)
|
100
|
60
|
7
|
200
|
70
|
6
|
300
|
80
|
5
|
600
|
1.2.2. Ελάχιστες κατά μήκος κλίσεις σε περιοχές συναρμογής αντίρροπων επικλίσεων
Σε οδούς των ομάδων Α και Β, που δε διαθέτουν κράσπεδα, στις περιοχές συναρμογής των αντίρροπων επικλίσεων, πρέπει να επιλέγεται ελάχιστη κατά μήκος κλίση SMIN > 0,7%, ή καλύτερα SMIN > 1,0%, ώστε να αποφεύγονται ζώνες κακής απορροής των ομβρίων. Σε κάθε περίπτωση η κατά μήκος κλίση της οδού δεν πρέπει να είναι μικρότερη από την πρόσθετη κλίση των οριογραμμών (διαφορά κατά μήκος κλίσεων οριογραμμών και άξονα περιστροφής, βλέπε παράγραφο 9.4.2). Για την πλήρη εξασφάλιση της απορροής των ομβρίων της οδού η διαφορά μεταξύ της κατά μήκος κλίσης και της πρόσθετης κλίσης των οριογραμμών πρέπει να είναι 0,2% (καλύτερα 0,5%):
s - ΔS ≥ 0,0 ... 0,2% (καλύτερα 0,5%) (8-1)
όπου:
s (%) = κατά μήκος κλίση της οδού
ΔS (%) = πρόσθετη κλίση των οριογραμμών
Εφόσον πληρούνται οι προηγούμενοι περιορισμοί, εξασφαλίζεται ότι καμία από τις δύο οριογραμμές του οδοστρώματος δεν εμφανίζει αντίθετη κλίση από αυτή του άξονα περιστροφής της οδού. Η τιμή 0,5% είναι επιθυμητή εξαιτίας των κατασκευαστικών ανοχών του οδοστρώματος.
Σε οδούς με κράσπεδα η κατά μήκος κλίση πρέπει να είναι τουλάχιστον 0,5% στις περιοχές όπου υπάρχουν κρασπεδόρειθρα. Γι' αυτό το λόγο η κατά μήκος κλίση του άξονα της οδού στην περιοχή της προσαρμογής της επίκλισης πρέπει να είναι μεγαλύτερη κατά 0,5% από την πρόσθετη κλίση των οριογραμμών, εφόσον η απαγωγή των επιφανειακών υδάτων δεν είναι δυνατόν να εξασφαλισθεί με ιδιαίτερα αποχετευτικά μέτρα, όπως π.χ. με την κατασκευή ρείθρων τριγωνικής διατομής:
s - ΔS ≥ 0,5% (8-2)
όπου:
s (%) = κατά μήκος κλίση της οδού
ΔS (%) = πρόσθετη κλίση των οριογραμμών
2. Κοίλες και κυρτές κατακόρυφες καμπύλες συναρμογής
2.1. Εφαρμογή
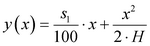
Συνήθως τα τόξα συναρμογής που διατάσσονται στα κυρτώματα και τα κοιλώματα είναι τετραγωνικές παραβολές ως προσέγγιση κυκλικών τόξων, δεδομένου ότι για τις κατά κανόνα εφαρμοζόμενες μεγάλες ακτίνες και την επιδιωκόμενη ακρίβεια το κυκλικό τόξο και η τετραγωνική παραβολή συμπίπτουν. Καθοριστικό γεωμετρικό μέγεθος της κατακόρυφης καμπύλης είναι η ακτίνα καμπυλότητας Η στη θέση αλλαγής πρόσημου της κατά μήκος κλίσης (s = 0%). Οι βασικές σχέσεις υπολογισμού μίας κατακόρυφης καμπύλης δίδονται στο Σχήμα 8-1.

(8-3)
(8-4)
(8-5)
(8-6)
(8-7)
Κανόνες προσήμων:
Ανωφέρεια: θετική (+s1, +s2)
Κατωφέρεια: αρνητική (-s1,-s2)
Ακτίνα κοίλης κατακόρυφης καμπύλης συναρμογής (HW): θετική (+H )
Ακτίνα κυρτής κατακόρυφης καμπύλης συναρμογής (HK): αρνητική (-H )
H (m) = παράμετρος της τετραγωνικής παραβολής (ακτίνα καμπυλότητας στη θέση αλλαγής πρόσημου της κατά μήκος κλίσης)
T (m) = μήκος εφαπτομένης s1, s2 (%) = κατά μήκος κλίσεις εφαπτόμενων
s (x) (%) = κατά μήκος κλίση σε οποιοδήποτε σημείο της κατακόρυφης καμπύλης συναρμογής
y (x) (m) = τεταγμένη σε τυχαίο σημείο
xS (m) = τετμημένη θέση αλλαγής πρόσημου της κατά μήκος κλίσης (s = 0%)
f (m) = βέλος καμπύλης
Μ = μέσον κατακόρυφης καμπύλης συναρμογής
S = θέση αλλαγής πρόσημου της κατά μήκος κλίσης
TS = σημείο τομής εφαπτόμενων
Σχήμα 8-1: Σχέσεις υπολογισμού κατακόρυφων καμπυλών.
Οι κυρτές και οι κοίλες καμπύλες συνδέονται κατά κανόνα με ευθυγραμμίες. Είναι προτιμότερη η άμεση επαφή των κατακόρυφων καμπυλών χωρίς παρεμβολή ευθυγραμμίας. Η σύνδεση δύο κυρτών ή δύο κοίλων κατακόρυφων καμπυλών συναρμογής με ένα μικρό ενδιάμεσο ευθύγραμμο τμήμα υπόκειται στους κανόνες μελέτης της οδού στον χώρο.
Η επιλογή των ακτίνων των κυρτών και των κοίλων κατακόρυφων καμπυλών πρέπει να γίνεται έτσι, ώστε σε συνδυασμό με τα στοιχεία μελέτης της οριζοντιογραφίας:
| • | να προκύπτει μία αρμονική χάραξη στο χώρο, |
| • | να εξασφαλίζεται το ελάχιστο επίπεδο ασφαλείας με τα απαραίτητα μήκη ορατότητας σε όσο το δυνατόν μεγαλύτερο μήκος της οδού, |
| • | να προστατεύεται το περιβάλλον και |
| • | να προσαρμόζεται η οδός όσο το δυνατόν καλύτερα στο ανάγλυφο του εδάφους, ώστε το κόστος κατασκευής της οδού να διατηρείται σε χαμηλά επίπεδα. |
Οι απαιτήσεις αυτές έχουν μεγαλύτερη σημασία στις οδούς της ομάδας Α και μικρότερη σημασία στις οδούς της ομάδας Β, όπου προέχει η διατήρηση του οικιστικού ιστού.
Αν σε βελτιώσεις και ανακατασκευές υφισταμένων οδών της ομάδας Β, οι ακτίνες των κυρτών κατακόρυφων καμπυλών είναι μικρότερες από την ελάχιστη επιτρεπόμενη τιμή και δεν υπάρχει δυνατότητα αλλαγής τους λόγω πολεοδομικών περιορισμών, τότε πρέπει να εξετάζεται για λόγους ασφαλείας, η επιβολή κατάλληλου ορίου ταχύτητας (με ισχύ ενδεχομένως μόνο σε υγρό οδόστρωμα) με ή χωρίς πρόσθετη προειδοποιητική σήμανση.
2.2. Τυπικές και Οριακές τιμές
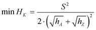
Οι ελάχιστες ακτίνες κυρτών κατακόρυφων καμπυλών του Πίνακα 8-2 παρέχουν επαρκή περιθώρια ασφαλείας. Με την εφαρμογή αυτών των ακτίνων δεν προκύπτουν μεγάλα ορύγματα, η δε μηκοτομή μπορεί να προσαρμοστεί σε μεγάλο βαθμό στο ανάγλυφο του εδάφους. Ιδιαίτερη σημασία για τα κυρτώματα έχει η ορατότητα. Μεταξύ της ελάχιστης ακτίνας της κυρτής κατακόρυφης καμπύλης Η Κ, του απαιτούμενου μήκους ορατότητας για στάση Sh ή για προσπέραση SU, του ύψους των οφθαλμών του οδηγού hA και του ύψους του εμποδίου hZ ισχύει η σχέση (βλέπε Σχήμα 8-2).
(8-8)
όπου:
min HΚ (m) = ελάχιστη ακτίνα κυρτής κατακόρυφης καμπύλης
S (m) = απαιτούμενο μήκος ορατότητας: για στάση Sh, για προσπέραση SU
hA (m) = ύψος οφθαλμού
hZ (m) = ύψος εμποδίου (βλέπε Πίνακα 10-4).

Σχήμα 8-2: Σχέση μεταξύ ελάχιστης ακτίνας κυρτής κατακόρυφης καμπύλης και μήκους ορατότητας για στάση.
Πίνακας 8-2: Οριακές τιμές ακτίνων κυρτών κατακόρυφων καμπυλών συναρμογής για οδούς των ομάδων Α και Β.
VE
(km/h)
|
Ορατότητα για στάση
|
Ορατότητα για προσπέραση
|
Επιτρεπόμενη περιοχή HΚ
Διατίθεται το απαραίτητο
μήκος ορατότητας για στάση (m)
|
Αποφευκτέα περιοχή HΚ
Δεν διατίθεται το απαραίτητο μήκος ορατότητας για προσπέραση (m)
|
Επιτρεπόμενη περιοχή HΚ Διατίθεται το απαραίτητο
μήκος ορατότητας για προσπέραση (m)
|
1
|
2
|
3
|
4
|
Οδοί ενιαίας επιφάνειας κυκλοφορίας και διαχωρισμένης με
|
50
|
800 έως 7.000
|
7.000 έως 27.000
|
> 27.000
|
60
|
2.000 έως 7.600
|
7.600 έως 30.000
|
> 30.000
|
70
|
3.000 έως 8.400
|
8.400 έως 34.000
|
> 34.000
|
80
|
4.500 έως 10.000
|
10.000 έως 40.000
|
> 40.000
|
90
|
6.200 έως 12.000
|
12.000 έως 48.000
|
> 48.000
|
100
|
8.500 έως 14.000
|
14.000 έως 55.000
|
> 55.000
|
Οδοί διαχωρισμένων επιφανειών κυκλοφορίας με Ανισόπεδο Κόμβο
|
60
|
3.000 έως ∞
|
—
|
—
|
70
|
4.500 έως ∞
|
—
|
—
|
80
|
6.200 έως ∞
|
—
|
—
|
90
|
8.500 έως ∞
|
—
|
—
|
100
|
11.000 έως ∞
|
—
|
—
|
110 έως 130
|
15.000 έως ∞
|
—
|
—
|
Προσοχή: Μετά από την επιλογή τιμών από τον πίνακα και πριν από την οριστική υιοθέτηση τους, πρέπει οπωσδήποτε να επαληθεύεται ότι αυτές ικανοποιούν όλες τις απαιτήσεις ορατότητας όπως αυτές διατυπώνονται στην παράγραφο 10.3.
Για οδούς με διαχωρισμένες επιφάνειες κυκλοφορίας με ισόπεδους κόμβους πρέπει να τηρούνται μόνο οι ελάχιστες τιμές της στήλης 2, παράλληλα όμως με τις απαιτήσεις ορατότητας στις περιοχές ισόπεδων κόμβων. Τα θέματα που αφορούν τους κόμβους είναι αντικείμενο των [Π] ΟΜΟΕ-ΙΚ, όταν αυτές εκπονηθούν. Με εφαρμογή των τιμών της στήλης 3 του πίνακα 8-2 εξασφαλίζεται ένα μέρος μόνο του απαιτούμενου μήκους ορατότητας για προσπέραση, και γιαυτό οι τιμές αυτές πρέπει να αποφεύγονται. Στην περίπτωση αυτή το μήκος ορατότητας για προσπέραση που διατίθεται είναι μεγαλύτερο από το ήμισυ αλλά και μικρότερο από το συνολικά απαιτούμενο, έτσι η διαδικασία προσπέρασης είναι κρίσιμη. Εάν οι τοπογραφικές συνθήκες επιβάλλουν την εφαρμογή αυτών των τιμών τότε πρέπει να απαγορεύεται η προσπέραση με τοποθέτηση κατάλληλης σήμανσης.
Το απαιτούμενο μήκος ορατότητας για προσπέραση εξασφαλίζεται με την εφαρμογή των τιμών της στήλης 4 του πίνακα 8-2.
Οι ελάχιστες τιμές των ακτίνων των κοίλων καμπυλών του Πίνακα 8-3 παρέχουν επαρκή μήκη ορατότητας:
| • | σε κάτω διαβάσεις (ελάχιστο ελεύθερο ύψος = 4,50 m και ύψος οφθαλμών οδηγού φορτηγού οχήματος = 2,50 m) |
| • | κατά τη νυκτερινή οδήγηση. |
Ειδικά στις κατηγορίες οδών BIV επιτρέπεται η εφαρμογή μικρότερων τιμών από εκείνες του Πίνακα 8-3, εάν πρόκειται για ανακατασκευή ή βελτίωση οδού ή όταν υφίστανται πολεοδομικοί περιορισμοί, εφόσον για την επιλεγείσα καμπύλη αποδειχθεί ότι έχει εξασφαλισθεί το απαιτούμενο μήκος ορατότητας για στάση.
Πίνακας 8-3: Ελάχιστες τιμές ακτίνων κοίλων κατακόρυφων καμπυλών συναρμογής για οδούς των ομάδων Α και Β
VE (km/h)
|
HW min (m)
|
50
|
1.350
|
60
|
1.900
|
70
|
2.500
|
80
|
3.300
|
90
|
4.200
|
100
|
5.200
|
110
|
6.300
|
120
|
7.500
|
130
|
10.000
|
Προκειμένου να αποφεύγεται η οπτική εικόνα θλάσης της χάραξης της μηκοτομής στα κυρτώματα ή κοιλώματα, το μήκος της εφαπτόμενης Τ (βλέπε Σχήμα 8-1) πρέπει να είναι:
| • | για οδούς της ομάδας Α: TMIN = VE (8-9) |
| • | για οδούς της ομάδας Β: TMIN = 0,75 x VE (8-10) |
όπου:
TMIN (m) = ελάχιστο μήκος εφαπτομένης
VE (km/h) = ταχύτητα μελέτης
Σε περιοχές με μικρές μεταβολές της κατά μήκος κλίσης επιτρέπεται η παράλειψη καμπύλης συναρμογής όταν η μέγιστη διαφορά των διαδοχικών κατά μήκος κλίσεων είναι:
(8-11)
όπου DSMAX (m/m) = η διαφορά κλίσεων.
Η ελάχιστη επιτρεπόμενη απόσταση μεταξύ διαδοχικών θλάσεων της χάραξης της μηκοτομής χωρίς καμπύλη συναρμογής είναι:
Όταν η αλλαγή της κλίσης γίνεται χωρίς καμπύλη συναρμογής στην πραγματικότητα στο σημείο θλάσης γίνεται στρογγύλευση από τον κατασκευαστή. Η παράλειψη της καμπύλης συναρμογής συνιστάται να αποφεύγεται στις εξής περιπτώσεις:
| • | σε θέσεις γεφυρών (περιλαμβάνονται και τα άκρα των γεφυρών), |
| • | σε θέσεις ιρλανδικών ρείθρων (ροή επάνω στην οδό), |
| • | σε άλλες θέσεις όπου απαιτείται προσεκτική διαμόρφωση των κλίσεων. |
Τέλος, πρέπει να δίδεται προσοχή στον κατάλληλο συνδυασμό των στοιχείων μελέτης της μηκοτομής με εκείνα της οριζοντιογραφίας, έτσι ώστε να πληρούνται οι κανόνες χάραξης της οδού στο χώρο.
2.3. Κρίσιμες κατά μήκος κλίσεις
Σε περιοχές εκατέρωθεν του σημείου αλλαγής του πρόσημου της κατά μήκος κλίσης στις κυρτές ή στις κοίλες κατακόρυφες καμπύλες και για μήκος:
L = H/100 (8-12)
όπου:
L (m) = μήκος καμπύλης στην περιοχή με μικρή κατά μήκος κλίση εκατέρωθεν του σημείου αλλαγής του πρόσημου της κατά μήκος κλίσης
H (m) = ακτίνα κοίλης / κυρτής κατακόρυφης καμπύλης συναρμογής
μπορεί να εμφανίζονται κατά μήκος κλίσεις s < 0,5%. Σε αυτές τις περιπτώσεις όταν η οδός έχει κράσπεδα, πρέπει να λαμβάνεται πρόνοια ώστε τα ρείθρα (π.χ. με εφαρμογή μεταβλητής εγκάρσιας κλίσης) να διατηρούν την ελάχιστη αποδεκτή κατά μήκος κλίση. Διαφορετικά είναι απαραίτητα δύσκολα πρόσθετα μέτρα για την αποχέτευση της οδού.