| Συνδεθείτε στην Υπηρεσία Νομοσκόπιο | | | | | Νέοι χρήστες | | Εάν είστε νέος χρήστης, θα πρέπει να δημιουργήσετε ένα ΔΩΡΕΑΝ λογαριασμό προκειμένου να φύγει το παράθυρο αυτό και να αποκτήσετε πλήρη πρόσβαση στην υπηρεσία Νομοσκόπιο. | | Δημιουργία νέου λογαριασμού | | |
1. Επίκλιση στην ευθυγραμμία
1.1. Επίκλιση του οδοστρώματος
Η αναγκαία επίκλιση για την απορροή των ομβρίων του οδοστρώματος στην ευθυγραμμία διαμορφώνονται σύμφωνα με το Σχήμα 9-1. Στο οδόστρωμα περιλαμβάνονται οι λωρίδες κυκλοφορίας και οι λωρίδες καθοδήγησης.
Η ελάχιστη τιμή της επίκλισης του οδοστρώματος στην ευθυγραμμία για όλες τις κατηγορίες οδών είναι:
qMIN = 2,5%
Η τιμή αυτή έχει γίνει αποδεκτή στις περισσότερες χώρες που διαθέτουν κανονισμούς οδοποιίας.
Στις οδούς με ενιαία επιφάνεια κυκλοφορίας και μια λωρίδα κυκλοφορίας ανά κατεύθυνση των ομάδων Α και Β εφαρμόζεται δικλινές οδόστρωμα. Όμως συνιστάται η διαμόρφωση μονοκλινούς οδοστρώματος εφόσον επιτυγχάνεται οικονομία στα έργα αποχέτευσης.

Σχήμα 9-1: Μορφές επίκλισης στην ευθυγραμμία.
Σε οδούς της ομάδας Β με τέσσερις λωρίδες κυκλοφορίας χωρίς κεντρική νησίδα, το οδόστρωμα στην ευθυγραμμία διαμορφώνεται ως αμφικλινές.
Σε οδούς όλων των ομάδων με διαχωρισμένες επιφάνειες κυκλοφορίας, η κάθε επιφάνεια διαμορφώνεται ως μονοκλινής. Η απορροή των ομβρίων πραγματοποιείται κατά κανόνα μέσω της εξωτερικής λωρίδας (π.χ. Λωρίδα Έκτακτης Ανάγκης).
Κατά την επιλογή της τιμής της επίκλισης λαμβάνεται υπόψη και η κυκλοφορία των φορτηγών (βαρέων οχημάτων), εφόσον κρίνεται σκόπιμο. Για τη διαμόρφωση της επίκλισης σε διάφορα μέρη της διατομής ισχύουν οι κανόνες, που αναφέρονται στις Οδηγίες Μελετών Οδικών Έργων, Μέρος 2: Διατομές (ΟΜΟΕ-Δ, παράγραφος 1.5)
2. Επίκλιση στο κυκλικό τόξο
2.1. Επίκλιση του οδοστρώματος
Η επίκλιση στις καμπύλες διαμορφώνεται με κατεύθυνση προς το εσωτερικό της καμπύλης για λόγους δυναμικής της κίνησης. Η μέγιστη τιμή της επίκλισης είναι:
για οδούς της ομάδας Α:
qMAX = 8% (9%) σε πεδινά εδάφη
qMAX = 7% σε λοφώδη και ορεινά εδάφη
Για οδούς της ομάδας Β:
qMAX = 6%
Στις οδούς των ομάδων Α και Β η μέγιστη τιμή της επίκλισης είναι δυνατόν να αυξηθεί κατά 1% (τιμή παρένθεσης), όταν σε εξαιρετικές περιπτώσεις για ορισμένες ταχύτητες μελέτης VE, οι ελάχιστες ακτίνες πρέπει να μειωθούν. Προκειμένου να αποφευχθεί η ολίσθηση των οχημάτων σε συνθήκες χιονιού ή παγετού, πρέπει να ληφθεί πρόνοια, ώστε η τιμή της λοξής κλίσης να μην υπερβαίνει το 10%.
Η ελάχιστη τιμή της επίκλισης στα κυκλικά τόξα για λόγους αποχέτευσης της οδού είναι ίση με την τιμή της επίκλισης στην ευθυγραμμία:
qMIN = 2,5%
Η σχέση της ακτίνας καμπύλης, της επίκλισης και της λειτουργικής ταχύτητας V85 παρουσιάζεται στους Πίνακες 9-1 έως 9-3.
Εφόσον κρίνεται σκόπιμο κατά την επιλογή των επικλίσεων στα κυκλικά τόξα, λαμβάνεται υπόψη η κυκλοφορία των βαρέων οχημάτων σε συνδυασμό με τον ενδεχόμενο κίνδυνο εγκάρσιας ολίσθησης από μεγάλη επίκλιση, δυσανάλογη για την ταχύτητα που μπορεί να αναπτύσσουν αυτά (π.χ. λόγω ανωφέρειας).
Σε κλωθοειδείς κορυφής (που γενικά πρέπει να αποφεύγονται) και σε κυκλικά τόξα με πολύ μικρές επίκεντρες γωνίες, η μέγιστη τιμή της επίκλισης διατηρείται για μήκος ίσο με εκείνο, που διανύει όχημα κινούμενο με τη ταχύτητα μελέτης VE σε δύο δευτερόλεπτα.
2.2. Επίκλιση των άλλων στοιχείων της διατομής στο κυκλικό τόξο
Οι πρόσθετες λωρίδες και τα σταθεροποιημένα ερείσματα για λόγους κατασκευαστικούς και δυναμικής της κίνησης οχημάτων στις καμπύλες έχουν κατά μέγεθος και φορά την ίδια επίκλιση με το οδόστρωμα (βλέπε ΟΜΟΕ-Δ, παράγραφο 1.5).
Κατά παρέκκλιση από τον προαναφερόμενο κανόνα επιτρέπεται στην περιοχή του πέρατος της λωρίδας επιτάχυνσης / επιβράδυνσης σε κόμβους η δημιουργία ακμής, όταν είναι αναγκαίο για την ανάπτυξη της περιστροφής του οδοστρώματος. Σε αυτές τις περιπτώσεις η αλγεβρική διαφορά των επικλίσεων στην αιχμή της επιφάνειας αποκλεισμού, μεταξύ κύριας λωρίδας του οδοστρώματος και λωρίδας επιτάχυνσης / επιβράδυνσης, δεν πρέπει να υπερβαίνει την τιμή 5% στις οδούς της ομάδας Α, και την τιμή 8% στις οδούς της ομάδας Β. Επιτρέπεται η αύξηση του μήκους περιστροφής του οδοστρώματος, ώστε στην αρχή του τόξου προσαρμογής η επίκλιση της λωρίδας επιτάχυνσης / επιβράδυνσης να είναι q = 0%.

Σχήμα 9-2: Ομάδα οδών Α - Πεδινά εδάφη.
Διάγραμμα προσδιορισμού της επίκλισης σε καμπύλες υπεραστικών οδών.

Σχήμα 9-3: Ομάδα οδών Α - Λοφώδη και ορεινά εδάφη.
Διάγραμμα προσδιορισμού της επίκλισης σε καμπύλες υπεραστικών οδών.

Σχήμα 9-4: Ομάδα οδών Β.
Διάγραμμα προσδιορισμού της επίκλισης σε καμπύλες υπεραστικών οδών.
3. Αρνητικές επικλίσεις
Οι αρνητικές επικλίσεις (επικλίσεις προς το εξωτερικό της καμπύλης) εν γένει πρέπει να αποφεύγονται στις οδούς των ομάδων Α και Β.
Σε εξαιρετικές περιπτώσεις σε οδούς με διαχωρισμένες επιφάνειες κυκλοφορίας των ομάδων Α και Β επιτρέπεται η εφαρμογή αρνητικής επίκλισης, προκειμένου να αποφευχθούν ζώνες συρροής ομβρίων σε περιοχές με ανεπαρκή κατά μήκος κλίση ή σε περιοχές ισόπεδων κόμβων. Κατά κανόνα σε οδούς της ομάδας Α και Β η αρνητική επίκλιση είναι q = -2,0%, και σε περίπτωση υιοθέτησης μεγαλύτερων R προτιμάται q = -2,5%. Η εφαρμογή της αρνητικής επίκλισης προϋποθέτει ως ελάχιστες τιμές ακτίνων καμπυλών τις τιμές του πίνακα 9-4, προκειμένου οι τιμές συντελεστή της εγκάρσιας και της εφαπτομενικής τριβής να παραμείνουν στα επιθυμητά επίπεδα. Οι τιμές αυτές υπολογίστηκαν με βάση την εξίσωση (5-1) όμως με συντελεστή εκμετάλλευσης n=25% οπότε ο συντελεστής fRΕΠΙΤΡ υπολογίζεται από την εξίσωση (9-1):
(9-1)
Αρνητικές επικλίσεις για τιμές ακτίνων R < 2000 m κατά κανόνα πρέπει να αποφεύγονται. Όμως σε περιπτώσεις που η εφαρμογή της κανονικής απαιτούμενης επίκλισης δημιουργεί σημαντικά ή και δύσκολα έργα αποχέτευσης, επιτρέπεται εφαρμογή R μέχρι τις τιμές εντός παρένθεσης (στήλες 3 και 5) του Πίνακα 9-4. Σε οδούς με κεντρική νησίδα και ταχύτητα μελέτης VE = 120 km/h η εφαρμογή αρνητικής επίκλισης συνιστάται όταν R ≥ 8000 m ή 5000 ≤ R < 8000 m αλλά με μήκος καμπύλης (μαζί με κλωθοειδείς) < 2 km.
Πίνακας 9-4: Ελάχιστες ακτίνες καμπυλών για την εφαρμογή αρνητικής επίκλισης
V85 (km/h)
|
RMIN (m) (n = 25%) Ομάδες οδών Α και Β
|
q = -2,0%
|
q = -2,5%
|
1
|
2
|
3
|
4
|
5
|
70
|
2.000
|
(700)
|
2.000
|
(800)
|
80
|
2.000
|
(1.000)
|
2.000
|
(1.200)
|
90
|
2.000
|
(1.500)
|
2.000
|
(1.700)
|
100
|
2.000
|
|
2.300
|
|
110
|
2.700
|
|
3.200
|
|
120
|
3.500
|
|
4.200
|
|
130
|
4.500
|
|
5.400
|
|
140
|
5.600
|
|
6.800
|
|
Στην περίπτωση εφαρμογής τόξου κανίστρου δεν επιτρέπεται η μεταβολή της φοράς της επίκλισης.
4. Προσαρμογή επίκλισης και περιστροφή ου οδοστρώματος
4.1. Εφαρμογή
Η μεταβολή της επίκλισης του οδοστρώματος λαμβάνει χώρα κατά μήκος ενός τμήματος συναρμογής (τμήμα προσαρμογής επίκλισης). Κατά μήκος του τμήματος αυτού η επιφάνεια του οδοστρώματος περιστρέφεται περί καθορισμένο άξονα και οι οριογραμμές του ανέρχονται ή κατέρχονται. Σε οδούς με ενιαία επιφάνεια κυκλοφορίας η μεταβολή της επίκλισης κατά κανόνα επιτυγχάνεται με περιστροφή της επιφάνειας του οδοστρώματος περί τον άξονα του οδοστρώματος (βλέπε Σχήμα 9-2, περίπτωση 1). Σε οδούς με διαχωρισμένες επιφάνειες κυκλοφορίας η περιστροφή των επιφανειών γίνεται κατά κανόνα με άξονα το εσωτερικό άκρο του ασφαλτικού της επιφάνειας κυκλοφορίας κάθε κατεύθυνσης (π.χ. στο πόδι στηθαίου NJ βλέπε Σχήμα 9-2, περίπτωση 2). Επίσης σε οδούς με διαχωρισμένες επιφάνειες κυκλοφορίας (π.χ. περίπτωση με μικρές κεντρικές νησίδες (πλάτος < 2,00 m), περιοχές ισόπεδων κόμβων σε καμπύλες ή ανοίγματα κεντρικών νησίδων για εκτροπή κυκλοφορίας) η περιστροφή των επιφανειών μπορεί να γίνει περί τον άξονα της νησίδας (βλέπε Σχήμα 9-2, περίπτωση 3).
Σε εξαιρετικές περιπτώσεις οδών με ενιαία επιφάνεια κυκλοφορίας δύο ή τριών λωρίδων κυκλοφορίας, η περιστροφή του οδοστρώματος μπορεί να γίνει περί τη μία οριογραμμή κυκλοφορίας (βλέπε Σχήμα 9-2, περίπτωση 4).
Η περιστροφή περί τον άξονα της επιφάνειας κυκλοφορίας κάθε κατεύθυνσης σε οδούς με διαχωρισμένες επιφάνειες κυκλοφορίας, (βλέπε Σχήμα 9-2, περίπτωση 5) εφαρμόζεται ως κανόνας σε θέσεις γεφυρών, σηράγγων, ή με νησίδα πλάτους ≥ 6 m και κατ' εξαίρεση σε κάθε άλλη περίπτωση.
Σε όλες τις περιπτώσεις, το ερυθρό υψόμετρο της οδού εφαρμόζεται στον άξονα περιστροφής του οδοστρώματος.
Αν υπάρχει τόξο συναρμογής, η μεταβολή της επίκλισης λαμβάνει χώρα κατά μήκος του τόξου συναρμογής ανεξάρτητα του είδους της επίκλισης, που έχει εφαρμοσθεί για το οδόστρωμα στην ευθυγραμμία (μονοκλινής ή αμφικλινής) και ανεξάρτητα της θέσης του άξονα περιστροφής. Η επέκταση του μήκους προσαρμογής της επίκλισης στην ευθυγραμμία ή στο κυκλικό τόξο επιτρέπεται μόνο σε εξαιρετικές περιπτώσεις.
Αν δεν υπάρχει τόξο συναρμογής, η μεταβολή της επίκλισης κατά τη σειρά των στοιχείων: ευθυγραμμία - κυκλικό τόξο λαμβάνει χώρα κατά το ήμισυ στην ευθυγραμμία και κατά το ήμισυ στο κυκλικό τόξο. Σε ειδικές μόνο περιπτώσεις επιτρέπεται η προσαρμογή της επίκλισης να λάβει χώρα εξ ολοκλήρου στην ευθυγραμμία ή στο κυκλικό τόξο. Σε τόξα κανίστρου η προσαρμογή της επίκλισης γίνεται εξ ολοκλήρου στο κυκλικό τόξο με τη μεγαλύτερη ακτίνα.

* εφαρμόζεται ως κανόνας, μόνο σε θέσεις γεφυρών, σηράγγων ή με νησίδα ≥ 6,0 m (περιστροφή στο μέσο των λωρίδων κυκλοφορίας).
Σχήμα 9-2: Άξονες περιστροφής του οδοστρώματος
4.2. Οριακές και τυπικές τιμές
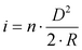
Ως πρόσθετη κλίση οριογραμμής ΔS, ορίζεται η διαφορά μεταξύ των κατά μήκος κλίσεων της οριογραμμής του οδοστρώματος και του άξονα περιστροφής του. Αυτή υπολογίζεται από τη σχέση:
(9-2)
όπου:
ΔS (%) = πρόσθετη κλίση οριογραμμής
qτ (%) = επίκλιση οδοστρώματος στο τέλος του τμήματος προσαρμογής
qα (%) = επίκλιση οδοστρώματος στην αρχή του τμήματος προσαρμογής (η qα έχει αρνητική τιμή όταν είναι αντίρροπη της qτ)
LV (%) = μήκος προσαρμογής της επίκλισης
α (m) = απόσταση του άξονα περιστροφής της επιφάνειας κυκλοφορίας από την εξωτερική οριογραμμή της απώτατης, ως προς αυτόν, λωρίδας κυκλοφορίας (δεν νοούνται οι πρόσθετες λωρίδες, Λωρίδα Έκτακτης Ανάγκης ή ΛΠΧ και λωρίδες καθοδήγησης).
Για λόγους δυναμικής της κυκλοφορίας και λόγους οπτικής η μέγιστη τιμή της πρόσθετης κλίσης των οριογραμμών ΔSMAX δεν πρέπει να υπερβαίνει τις τιμές του πίνακα 9-5 για τις ομάδες οδών Α και Β.
Πίνακας 9-5: Οριακές τιμές πρόσθετης κλίσης οριογραμμών ΔS. - Ομάδες οδών Α και Β
VE (km/h)
|
ΔSMAX (%) για
|
ΔSMIN (%)
|
α < 4,00 m
|
α ≥ 4,00 m
|
50
|
0,50 x α
|
2,0
|
0,10 x α
(≤ ΔSMAX)
|
60 έως 70
|
0,40 x α
|
1,6
|
80 έως 90
|
0,25 x α
|
1,0
|
100 έως 130
|
0,20 x α
|
0,9
|

Σχήμα 9-2)α: Ορισμός πλάτους α
Το ελάχιστο μήκος προσαρμογής της επίκλισης LVMIN προκύπτει από την εξίσωση 9-3 σε συνάρτηση με τη μέγιστη τιμή της πρόσθετης κλίσης των οριογραμμών ΔSMAX σύμφωνα με τον πίνακα 9-5 και της απόστασης α της οριογραμμής του οδοστρώματος από τον άξονα περιστροφής του.
(9-3)
όπου:
LVMIN (m) = ελάχιστο μήκος προσαρμογής της επίκλισης
ΔSMAX (%) = μέγιστη πρόσθετη κλίση οριογραμμής
qτ (%) = επίκλιση οδοστρώματος στο τέλος του τμήματος προσαρμογής
qα (%) = επίκλιση οδοστρώματος στην αρχή του τμήματος προσαρμογής (η qα έχει αρνητική τιμή όταν είναι αντίρροπη της qτ)
4.3. Αποχέτευση οδοστρώματος
Σε περιοχές προσαρμογής της επίκλισης όπου η επίκλιση μεταβάλλεται από +qMIN μέσω της τιμής 0% σε -qMIN η πρόσθετη κλίση των οριογραμμών, δεν πρέπει να είναι μικρότερη από την τιμή ΔSMIN του πίνακα 9-5. Ακόμη, η κατά μήκος κλίση και η ελάχιστη πρόσθετη κλίση των οριογραμμών πρέπει να συνδυάζονται σύμφωνα με τα όσα αναφέρονται στην παράγραφο 8.1.2.2, προκειμένου να εξασφαλίζεται η επαρκής αποχέτευση του οδοστρώματος. Στο τμήμα του τόξου συναρμογής που εναπομένει, η πρόσθετη κλίση οριογραμμών μεταβάλλεται γραμμικά έως την αρχή του κυκλικού τόξου όπου η επίκλιση λαμβάνει την προβλεπόμενη τιμή της (βλέπε σχήμα 9-3 για ΔS < ΔSMIN καθώς και σχήμα 9-4)β).

Σχήμα 9-3: Μορφές προσαρμογής της επίκλισης

Σχήμα 9-4: Προσαρμογή επίκλισης σε τόξα συναρμογής
Όταν το επιβάλλει η ανάγκη ικανοποιητικής απορροής ομβρίων, επιτρέπεται σε S-καμπύλες η μετάθεση του σημείου μηδενισμού της επίκλισης σε οδούς της ομάδας Α έως και L = 0,1 x A (Α = παράμετρος κλωθοειδούς) και σε οδούς της ομάδος Β έως και L = 0,2 x A από το σημείο καμπής της κλωθοειδούς. Η μετάθεση αυτή μπορεί να εφαρμοσθεί και για την αλληλουχία των στοιχείων: ευθυγραμμία - κλωθοειδής - κυκλικό τόξο.
4.4. Μορφές προσαρμογής επικλίσεων
Διάφορες βασικές μορφές προσαρμογής της επίκλισης απεικονίζονται στο Σχήμα 9-3.
Η προσαρμογή των επικλίσεων στα πρόσθετα σταθεροποιημένα τμήματα της διατομής του οδοστρώματος λαμβάνει χώρα στο τόξο συναρμογής ή στην περίπτωση που δεν υπάρχει τόξο συναρμογής, όπως ορίζεται στην παράγραφο 4.1. Για αυτά τα τμήματα της διατομής δεν υπάρχουν οριακές τιμές για την πρόσθετη κλίση της οριογραμμής.
Στα τμήματα της οδού, όπου εφαρμόζεται διαπλάτυνση ή διεύρυνση, ισχύουν οι οριακές τιμές της πρόσθετης κλίσης οριογραμμών για το οδόστρωμα που δεν διαπλατύνεται ή διευρύνεται.
5. Διεύρυνση του οδοστρώματος
Η διεύρυνση του οδοστρώματος είναι απαραίτητη για την κατασκευή βοηθητικών λωρίδων αλλαγής πορείας, όπως λωρίδων αναμονής για αριστερή στροφή, λωρίδων επιτάχυνσης ή επιβράδυνσης. Για προσθήκη λωρίδας αριστερής στροφής στις καμπύλες με μικρή ακτίνα η διεύρυνση γίνεται μονόπλευρα προς το εσωτερικό της καμπύλης ενώ στις ευθυγραμμίες ή σε τεταμένες χαράξεις γίνεται συμμετρικά ως προς τον άξονα της οδού.
Για διεύρυνση οδοστρώματος προς κατασκευή πρόσθετων λωρίδων, βλέπε ΟΜΟΕ-ΠΛΚ. Για διεύρυνση κεντρικής νησίδας βλέπε παράγραφο 7.
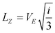
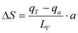
Το μήκος για τη μεταβολή του πλάτους σε όλες τις κατηγορίες οδών υπολογίζεται από τη σχέση:
(9-4)
όπου:
LZ (m) = συνολικό μήκος συναρμογής για τη διάταξη της διεύρυνσης
VE (km/h) = ταχύτητα μελέτης
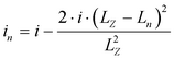
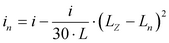
i (m) = μέγιστη τιμή διεύρυνσης του οδοστρώματος

(9-5)α)
για 
(9-5)β)
για 
όπου:
i (m) = διεύρυνση του οδοστρώματος (μέγιστη τιμή)
LΖ (m) = συνολικό μήκος συναρμογής για τη διάταξη της διεύρυνσης
in (m) = διεύρυνση του οδοστρώματος στο υπόψη σημείο
Ln (m) = μήκος συναρμογής για τη διάταξη της διεύρυνσης μέχρι το υπόψη σημείο
Σχήμα 9-5: Διάταξη της διεύρυνσης του οδοστρώματος
6. Διαπλάτυνση του οδοστρώματος σε καμπύλες
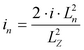
Κατά την κίνηση ενός οχήματος στις καμπύλες, οι οπίσθιοι τροχοί διαγράφουν μικρότερα τόξα από τους εμπρόσθιους τροχούς. Για αυτό το λόγο στις καμπύλες απαιτείται διαπλάτυνση i. Η απαιτούμενη διαπλάτυνση σε καμπύλες με συνολικό η πλήθος λωρίδων κυκλοφορίας της οδού, υπολογίζεται από τη σχέση:
(9-6)
Για ακτίνες R ≥ 30 m η σχέση (9-6) μπορεί να απλοποιηθεί, οπότε η απαιτούμενη διαπλάτυνση υπολογίζεται από τη σχέση:
(9-7)
i (m) = διαπλάτυνση οδοστρώματος
R (m) = ακτίνα κυκλικού τόξου
D (m) = μεταξόνιο και εμπρόσθια προεξοχή
n (-) = αριθμός λωρίδων κυκλοφορίας (δεν λαμβάνονται υπόψη τα σταθεροποιημένα ερείσματα)
Για την παράμετρο D, που εξαρτάται από τον τύπο του οχήματος, χρησιμοποιούνται οι ακόλουθες τιμές:
|
Τιμές D
|
επιβατηγό όχημα
|
4,00 m
|
φορτηγό (βαρύ όχημα)
|
8,00 m
|
φορτηγό ημιρυμουλκούμενο (επικαθήμενο)
|
10,00 m
|
λεωφορείο 1 (τυπικό λεωφορείο)
|
8,50 m
|
λεωφορείο 2 (αρθρωτό λεωφορείο)
|
9,00 m
|
λεωφορείο 3 (τύπου megaliner)
|
11,70 m
|
Συνήθως η απαιτούμενη διαπλάτυνση του οδοστρώματος για τις οδούς των ομάδων Α και Β υπολογίζεται: α) εφόσον η κύρια κυκλοφορία είναι λεωφορείων, με τυπική την περίπτωση συνάντησης λεωφορείο 2 / λεωφορείο 2. β) εφόσον η κύρια κυκλοφορία είναι φορτηγών, με τυπική την περίπτωση συνάντησης φορτηγό ημιρυμουλκούμενο / φορτηγό ημιρυμουλκούμενο.
Πίνακας 9-6: Διαπλάτυνση οδοστρώματος σε καμπύλες.
Κυκλοφορία λεωφορείων
|
Επιλεγόμενος τύπος
αντίθετα κινούμενων οχημάτων
|
Διαπλάτυνση οδοστρώματος (για n = 2) για
|
i (m)
|
b < 6,0 m
|
b > 6,0 m
|
1
|
2
|
3
|
4
|
5
|
ναι
|
λεωφορείο 2 / λεωφορείο 2
|
40 x η /R
|
30<R≤320
|
30<R≤160
|
όχι
|
Φορτηγό ημιρυμουλκούμενο / Φορτηγό ημιρυμουλκούμενο
|
50 x n /R
|
30<R≤400
|
30<R≤200
|
Σημείωση: Για την περίπτωση συνάντησης άλλων τύπων οχημάτων χρησιμοποιούνται οι τιμές D των οχημάτων αυτών.
Διαπλάτυνση οδοστρώματος υλοποιείται μόνον όταν η υπολογιζόμενη τιμή είναι ≥0,25 m και ≥0,50 m αντιστοίχως για πλάτος οδοστρώματος b≤6,0 m, και b > 6,0 m. Οι υπολογισμοί για τον προσδιορισμό της διαπλάτυνσης του οδοστρώματος αναφέρονται στον άξονα του οδοστρώματος. Η διαπλάτυνση i εφαρμόζεται στην εσωτερική οριογραμμή του οδοστρώματος, δηλαδή στην εσωτερική λωρίδα κυκλοφορίας, με εξαίρεση τον ανακάμπτοντα ελιγμό.
Η μετάβαση από διατομή με κανονικό πλάτος οδοστρώματος σε διατομή διαπλατυσμένη κατά i πραγματοποιείται κατά μήκος και των τριών στοιχείων δηλαδή ευθυγραμμίας, κλωθοειδούς και κυκλικού τόξου και υπολογίζεται από τις εξισώσεις (9-8)α) έως (9-8)γ), (9-9) και (9-10) (βλέπε Σχήματα 9-6 έως 9-8).
7. Διεύρυνση κεντρικής νησίδας
Όπου απαιτείται διεύρυνση κεντρικής νησίδας (π.χ. σε τμήμα αλλαγής πλάτους κεντρικής νησίδας, ή στα στόμια των σηράγγων αυτοκινητόδρομου όπου απομακρύνονται περισσότερο οι διαχωρισμένες επιφάνειες κυκλοφορίας) αυτή υλοποιείται ανάλογα με την περίπτωση:
α. Σε τμήμα ευθυγραμμίας με κυβική παραβολή

όπου:
y (m): διεύρυνση σε απόσταση x από το σημείο έναρξης της διεύρυνσης
Δ (m): μέγιστη διεύρυνση
x (m): απόσταση από το σημείο έναρξης της διεύρυνσης
L (m): μήκος όπου συντελείται η διεύρυνση και το οποίο υπολογίζεται από τον τύπο: L = 0,75 - (VE - 20) x Δ
β. Σε τμήμα καμπύλης
με ανεξάρτητη χάραξη των οριογραμμών κυκλοφορίας (που ορίζουν και το πλάτος της κεντρικής νησίδας) η οποία υπόκειται στους κανόνες και απαιτήσεις που εφαρμόζονται για τη χάραξη του ίδιου του αυτοκινητόδρομου (κυκλικά τόξα και κλωθοειδείς κ.λ.π.). Η διεύρυνση γίνεται είτε μονόπλευρα είτε αμφίπλευρα ως προς τον άξονα της αρχικής χάραξης.

Σχήμα 9-6: Διάταξη της διαπλάτυνσης του οδοστρώματος
για την περιοχή 1 (9-8)α)
για την περιοχή 1 (9-8)β)
για την περιοχή 1 (9-8)γ)
όπου:
i (m) = διαπλάτυνση του οδοστρώματος (βλέπε εξισώσεις (9-6) και (9-7))
L (m) = μήκος τόξου συναρμογής
LZ (m) = συνολικό μήκος της διάταξης της διαπλάτυνσης = L + 15 m
in (m) = διαπλάτυνση του οδοστρώματος στη θέση n
Αν το μήκος του κυκλικού τόξου είναι μικρότερο από 15 m, τα τμήματα συναρμογής αρχίζουν και τελειώνουν στη διχοτόμο της επίκεντρης γωνίας του κυκλικού τόξου. Αν ισχύει ο λόγος L/i ≥ 20, τότε η συναρμογή εφαρμόζεται γραμμικά στην περιοχή του τόξου συναρμογής:
(9-9)
όπου:
i (m) = διαπλάτυνση του οδοστρώματος
L (m) = μήκος τόξου συναρμογής = μήκος διάταξης της διαπλάτυνσης του οδοστρώματος
in (m) = διαπλάτυνση του οδοστρώματος στη θέση n
Ln = μήκος διάταξης της διαπλάτυνσης του οδοστρώματος μέχρι τη θέση n

Σχήμα 9-7: Διαπλάτυνση οδοστρώματος σε S-καμπύλη (υπολογισμός με βάση το σχήμα 9-6)
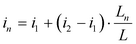
Σε ωοειδείς καμπύλες η μεταβολή της διαπλάτυνσης λαμβάνει χώρα στην κλωθοειδή:
(9-10)
όπου:
i1 (m) = διαπλάτυνση του οδοστρώματος στην αρχή της ωοειδούς καμπύλης
i2 (m) = διαπλάτυνση του οδοστρώματος στο τέλος της ωοειδούς καμπύλης
L (m) = μήκος της ωοειδούς καμπύλης
in (m) = διαπλάτυνση του οδοστρώματος στη θέση n
Ln (m) = μήκος διάταξης της διαπλάτυνσης του οδοστρώματος έως τη θέση n

Σχήμα 9-8: Διαπλάτυνση οδοστρώματος σε ωοειδή καμπύλη